Scott LaFoy (@wslafoy) 's Twitter Profile
Scott LaFoy

@wslafoy

Open Source Analysis of ballistic missiles, nuclear weapons, BMD, DPRK, & PRC.

All opinions my own.

ID: 124512450

linkhttp://armscontrolwonk.com/podcast calendar_today19-03-2010 16:52:16

18,18K Tweet

9,9K Takipçi

1,1K Takip Edilen

Casillic (@casillic) 's Twitter Profile Photo

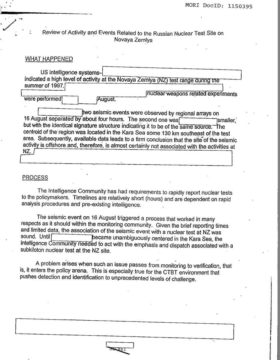
US intelligence on Russian and Chinese Nuclear Testing activities 1990-2000. Some concerns arose and a special panel established to determine if they were testing nukes during CTBT early years. They apparently were not testing nukes. Interesting reads! nsarchive2.gwu.edu/NSAEBB/NSAEBB2…

US intelligence on Russian and Chinese Nuclear Testing activities 1990-2000.
Some concerns arose and a special panel established to determine if they were testing nukes during CTBT early years. They apparently were not testing nukes.
Interesting reads!
nsarchive2.gwu.edu/NSAEBB/NSAEBB2…
Dr. Jeffrey Lewis (@armscontrolwonk) 's Twitter Profile Photo

I am old enough to remember when very serious people™️ said we couldn't save money by putting the D5 in silos because it would require expensive new silos and other infrastructure.

I am old enough to remember when very serious people™️ said we couldn't save money by putting the D5 in silos because it would require expensive new silos and other infrastructure.
NK NEWS (@nknewsorg) 's Twitter Profile Photo

VIDEO: North Korea unveils three new Hwasong-20 ICBMs at the finale of its Oct. 10 parade in Pyongyang — the biggest reveal of a rain-soaked show attended by top officials from Russia and China. Previously teased but never tested. Colin Zwirko breaks down what the spectacle says

Geoff Brumfiel (@gbrumfiel) 's Twitter Profile Photo

So rather than write up MY thoughts on A House of Dynamite, I'm actually planning on doing a little write-up of the nuke community's thoughts. So if you're a wonk, and you've seen it, and you want to share a take, please do! I might not use everything but I want to hear!

So rather than write up MY thoughts on A House of Dynamite, I'm actually planning on doing a little write-up of the nuke community's thoughts. 
 
So if you're a wonk, and you've seen it, and you want to share a take, please do!   I might not use everything but I want to hear!
SkyFi® (@skyfiapp) 's Twitter Profile Photo

Your next mission starts here. Join SkyFi and help make Earth intelligence simple, fast, and accessible. 🌍 Check our open roles today:

Your next mission starts here. 

Join SkyFi and help make Earth intelligence simple, fast, and accessible. 🌍

Check our open roles today:
Geoff Brumfiel (@gbrumfiel) 's Twitter Profile Photo

A House of Dynamite is a gripping nuclear thriller... that makes no sense? Here, finally, is my piece about what experts have to say about the movie (short 🧵 and then I'll do another 🧵 on what I think about it).... npr.org/2025/10/24/nx-…

38 North (@38northnk) 's Twitter Profile Photo

While North Korea's phishing and IT workers are studied closely, there is a critical cyber vulnerability for the US-ROK alliance that's not being talked about: HWP files. Perry Choi discusses how format hardening can address this operational vulnerability. bit.ly/3JpnKgE

Scott LaFoy (@wslafoy) 's Twitter Profile Photo

I remember, when writing North Korea's Cyber Operations, the .HWP being repeatedly brought up by multiple technical security experts we spoke to in the ROK and US. Glad to see this bringing it up and combining both the vulnerability side & it's ubiquity across ROK targets.

Dr. Jeffrey Lewis (@armscontrolwonk) 's Twitter Profile Photo

The Department of State 2021 "compliance report" is the most detailed unclassified statement on Russian, Chinese nuclear testing. DIA said something similar in 2019. Russia is directly accused of low-yield testing, while there are only concerns about Chinese transparency.

The <a href="/StateDept/">Department of State</a> 2021 "compliance report" is the most detailed unclassified statement on Russian, Chinese nuclear testing. <a href="/DefenseIntel/">DIA</a> said something similar in 2019. Russia is directly accused of low-yield testing, while there are only concerns about Chinese transparency.
Aalo Atomics (@aaloatomics) 's Twitter Profile Photo

Willy Wonka and the Nuclear Reactor Factory 🏭⚛️ Retweet for a chance to win a golden ticket to come get a tour. Happy Aaloween!! 🎃

Willy Wonka and the Nuclear Reactor Factory 🏭⚛️

Retweet for a chance to win a golden ticket to come get a tour.

Happy Aaloween!! 🎃
Scott LaFoy (@wslafoy) 's Twitter Profile Photo

I can't believe I never knew that Demis Hassabis was so important to two of my favorite games of all time, Black and White & Evil Genius. Absolutely wild

The Nonproliferation Review (NPR) (@thenonproreview) 's Twitter Profile Photo

1/2 A recent NPR article was featured in The New York Times coverage of US-China nuclear tensions. Check out Renny Babiarz, PhD & Jason Wang using geospatial data & other info to chronicle nuclear testing preparations at the Lop Nur site: tandfonline.com/doi/full/10.10…

Scott LaFoy (@wslafoy) 's Twitter Profile Photo

Oh look someone is BACK after many months of not podding. Come listen to Dr. Jeffrey Lewis and I talk about House of Dynamite. I actually really love this discussion and how we disagree in ways I find very interesting. armscontrolwonk.com/archive/122106…