Jorge Nuno Silva (@jorgenunosilva) 's Twitter Profile
Jorge Nuno Silva

@jorgenunosilva

Mathematician. History of Board games freak.

ID: 26232460

linkhttp://jnsilva.ludicum.org/ calendar_today24-03-2009 13:08:30

5,5K Tweet

438 Followers

1,1K Following

Jorge Nuno Silva (@jorgenunosilva) 's Twitter Profile Photo

A must-visit if you are in the Northern Hemisphere! Une visite incontournable si vous êtes dans l’hémisphère Nord ! Uma visita obrigatória se estiver no Hemisfério Norte!

A must-visit if you are in the Northern Hemisphere!
Une visite incontournable si vous êtes dans l’hémisphère Nord !
Uma visita obrigatória se estiver no Hemisfério Norte!
The Vigilant Fox 🦊 (@vigilantfox) 's Twitter Profile Photo

Bill Maher drops a reality bomb on Zohram Mamdani voters with a brutal history lesson on socialism. “We’ve run this experiment many times, and the results are always obvious,” Maher said. He looked straight into the camera and delivered a blunt warning about Mamdani.

A Voz do Povo (@vozdopovopt) 's Twitter Profile Photo

🇵🇹 Teresa Nogueira Pinto defende André Ventura com enorme classe, contra os jornaleiros do sistema. 👌🏻👂🏻👂🏻

Riccardo Marchi (@ric_marchi) 's Twitter Profile Photo

É belo ver como, nas direitas, o regresso da política veja mulheres de armas na linha da frente...em Portugal como em toda a Europa.

Tony de Direita (@mortony13) 's Twitter Profile Photo

Excelente !! A Polónia que saiu pobre do socialismo/comunismo e agora tem uma economia pujante, em contraste com a Venezuela que era a Suíça das Américas, optou pelo socialismo/comunismo e agora comem os cães na rua. Tipo Coreia do Norte e Coreia do Sul

Overton (@overton_news) 's Twitter Profile Photo

This is Bill Maher at his best. Maher dragged Patton Oswalt out of his bubble and forced him to confront the brutal reality of the UK’s immigration crisis. He exposed the horrifying details of Muslim grooming gangs, while Oswalt tried to play dumb. Maher didn’t let him.

Chris (@chris_juravich) 's Twitter Profile Photo

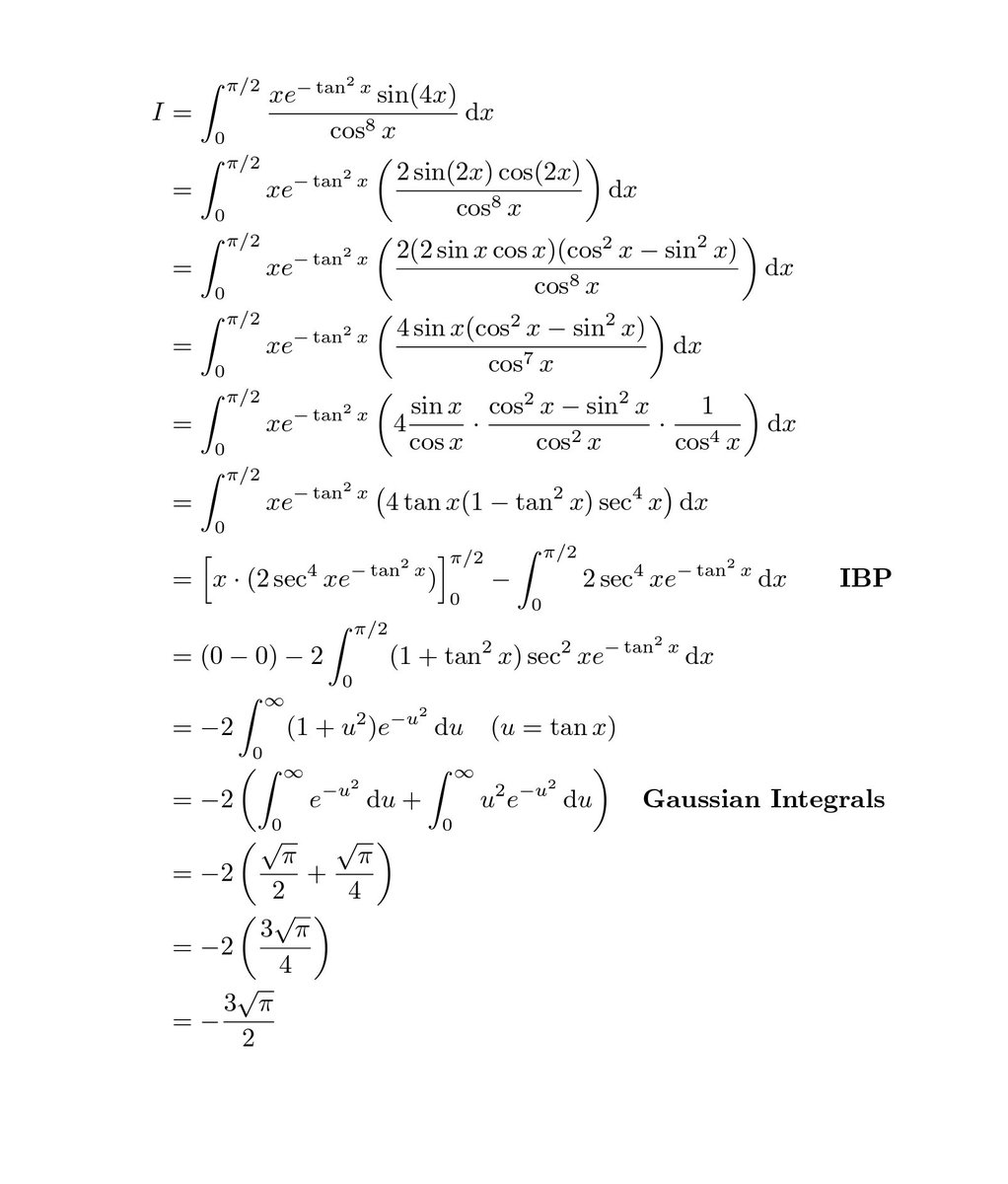
As suggested by a reader, here is the same integral evaluated using integration by parts. For me, the endpoint evaluation is not trivial. I show it in full.

As suggested by a reader, here is the same integral evaluated using integration by parts. For me, the endpoint evaluation is not trivial. I show it in full.
Erin Molan (@erin_molan) 's Twitter Profile Photo

Why does the former First Lady continue to treat Americans - the same ones who put her husband into office mind you - like racist, sexist, idiotic fools? Michelle Obama 🤷‍♀️ This episode of The Erin Molan Show… drops 6am ET… linked…

Rita Maria Matias (@ritamariamatias) 's Twitter Profile Photo

Este lixo ideológico foi transmitido em horário nobre, ontem na RTP2, pago pelos nossos impostos. É tempo de nos fazermos ouvir. Encham a caixa de mensagens da Provedora do Telespectador. 17 de Novembro. RTP 2. 19h25. É preciso apurar responsabilidades de quem permitiu este