Sijing Tu (@sijingtu) 's Twitter Profile
Sijing Tu

@sijingtu

Algorithm, Data Mining, Graph, opinion dynamics in social networks
#WomenInSTEM phd student in #KTH #pride

ID: 2697577267

calendar_today01-08-2014 06:56:20

75 Tweet

94 Followers

390 Following

Andrew Akbashev (@andrew_akbashev) 's Twitter Profile Photo

This week, scientists have been STUNNED by the possible discovery of room-temperature superconductivity. IF it is true, humanity might have passed a HUGE milestone. The impact will be WAY bigger than the combined impact by ChatGPT, artificial AI and anything else you’ve heard

This week, scientists have been STUNNED by the possible discovery of room-temperature superconductivity. 

IF it is true, humanity might have passed a HUGE milestone. 

The impact will be WAY bigger than the combined impact by ChatGPT, artificial AI and anything else you’ve heard
Stefan Neumann | @stefanresearch.bsky.social (@stefanresearch) 's Twitter Profile Photo

Tomorrow we will present another paper at #KDD2023: "Adversaries with Limited Information in the Friedkin–Johnsen Model" led by Sijing Tu & joint with Aris Aris Gionis. This is part of a bigger agenda to develop a theory for what is going in online social networks. Read on.⬇️⬇️⬇️

Tomorrow we will present another paper at #KDD2023:

"Adversaries with Limited Information in the Friedkin–Johnsen Model"
led by <a href="/SijingTu/">Sijing Tu</a> &amp; joint with Aris <a href="/gionis/">Aris Gionis</a>.

This is part of a bigger agenda to develop a theory for what is going in online social networks.

Read on.⬇️⬇️⬇️
Jonas L. Juul (@jonassjuul) 's Twitter Profile Photo

Talk title, David Lazer: "The emergent logic of the Online Information Ecosystem" Talk title, Jon Kleinberg: "The Challenge of Understanding What Users Want: Inconsistent Preferences and Engagement Optimization"

Johan Ugander (@jugander) 's Twitter Profile Photo

First week of fall classes at Stanford. I'm teaching a new MS-level class, Social Algorithms, w/ detailed syllabus here: msande231.github.io/syllabus Draws on syllabi by @5harad Matthew Salganik | @msalganik.bsky.social Ashton Anderson & others. Input appreciated! Also, I'm now on the other place as jugander.

Almost Sure (@almost_sure) 's Twitter Profile Photo

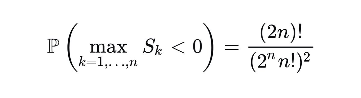
A random walk is Sₙ = X₁+⋯+Xₙ for IID sequence Xₙ. What is the probability that the first n terms are all negative? Interestingly, if Xₙ has a continuous and symmetric distribution, there is a simple answer which does not further depend on the distribution.

A random walk is

Sₙ = X₁+⋯+Xₙ

for IID sequence Xₙ. What is the probability that the first n terms are all negative?

Interestingly, if Xₙ has a continuous and symmetric distribution, there is a simple answer which does not further depend on the distribution.
Kiran Garimella (@gvrkiran) 's Twitter Profile Photo

I'm looking for research assistants this semester to work on projects incl. data collection, analysis & running experiments to mitigate misinformation Ideal for third/final yr undergrads or masters students If you are interested please email me your CV or DM more below 👇

Aris Gionis (@gionis) 's Twitter Profile Photo

Join my group in @KTHresearch! One PhD position funded by WASP Research. Application deadline Feb 29, 2024. More details at kth.se/lediga-jobb/69… #DataScience #MachineLearning #AI #AlgorithmsResearch

Tommaso Lanciano (@tommasolanciano) 's Twitter Profile Photo

Just accepted for publication at ACM CSUR our deep-dive into Densest Subgraph problem! 🎉 Funny project realized with a very cool team! 👨‍👨‍👦‍👦 It is a comprehensive source for those interested in graph optimization problems where the objective function is a notion of density 🕸️

Kasper Green Larsen (@kasperglarsen) 's Twitter Profile Photo

Trying again - two post docs in learning theory under my supervision at Aarhus University are available deadline April 25th. Please share. au.dk/om/stillinger/…

Aris Gionis (@gionis) 's Twitter Profile Photo

Assistant professor position on algorithms and data analysis in KTH Royal Institute of Technology KTH Royal Institute of Technology, funded by WASP Research. More details and online application: kth.varbi.com/en/what:job/jo… Deadline: May 3, 2024

Math Cafe (@riazi_cafe_en) 's Twitter Profile Photo

MIT's lecture notes for "Probabilistic Methods in Combinatorics" A graduate-level introduction to the probabilistic method, a powerful technique in combinatorics and CS. ocw.mit.edu/courses/18-226…

MIT's lecture notes for "Probabilistic Methods in Combinatorics"

A graduate-level introduction to the probabilistic method, a powerful technique in combinatorics and CS. 

ocw.mit.edu/courses/18-226…
Stefan Neumann | @stefanresearch.bsky.social (@stefanresearch) 's Twitter Profile Photo

I am hiring for a student assistant (BSc/MSc student) to perform research & implementation tasks. The project is about data structures for data science algorithms. See the job ad below & please contact me if you have any questions. Deadline: August 29 jobs.tuwien.ac.at/Job/237423

Tim van Erven (@tverven) 's Twitter Profile Photo

The final draft of Francis Bach's excellent new learning theory book is available: di.ens.fr/~fbach/ He doesn't cover VC dimension, but builds up from regression to general smooth losses, which is heresy of course, but actually fills a much-needed niche. Highly recommended!