Yoonsu Kim (@yoons__u) 's Twitter Profile
Yoonsu Kim

@yoons__u

PhD student in @kixlab_kaist, SoC, KAIST. Interested in HAI, Human-AI symbiosis, Generative AI and Education, and tech with Good influence on the world๐ŸŒโค๏ธ!

ID: 1497801115961757701

linkhttps://yoonsu0816.github.io/ calendar_today27-02-2022 05:11:37

79 Tweet

250 Followers

368 Following

Sunnie S. Y. Kim (@sunniesuhyoung) 's Twitter Profile Photo

Appropriate reliance is key to safe and successful user interactions with LLMs. But what shapes user reliance on LLMs, and how can we foster appropriate reliance? In our #CHI2025 paper, we explore these questions through two user studies. 1/7

Appropriate reliance is key to safe and successful user interactions with LLMs. But what shapes user reliance on LLMs, and how can we foster appropriate reliance?

In our #CHI2025 paper, we explore these questions through two user studies.

1/7
Yoonseo Choi (@yoon0u0) 's Twitter Profile Photo

Exciting news ๐Ÿชฉ I'll present our upcoming paper Proxona: Supporting Creators' Sensemaking and Ideation with LLM-Powered Audience Personas at #CHI2025 in Yokohama! ๐Ÿ‡ฏ๐Ÿ‡ต Can we simulate virtual yet plausible and meaningful audience personas for content creators?

Exciting news ๐Ÿชฉ
I'll present our upcoming paper Proxona: Supporting Creators' Sensemaking and Ideation with LLM-Powered Audience Personas at #CHI2025 in Yokohama! ๐Ÿ‡ฏ๐Ÿ‡ต

Can we simulate virtual yet plausible and meaningful audience personas for content creators?
Bryan Min (@bryandmin) 's Twitter Profile Photo

Malleable Overview-Detail Interfaces at #CHI2025 How do we design malleable interfaces in the age of GenAI? How can we pull information instead of navigating to find it? How can we create our own abstractions of information? Check out our preprint: arxiv.org/abs/2503.07782

Saelyne Yang (@saelyne_yang) 's Twitter Profile Photo

When learning new skills, people often watch *multiple* how-to videos to understand different approaches and details. In our #IUI2025 paper, we introduce VideoMix โ€” a system that uses vision-language models to aggregate videos into one organized, easy-to-digest experience.

When learning new skills, people often watch *multiple* how-to videos to understand different approaches and details. 
In our #IUI2025 paper, we introduce VideoMix โ€” a system that uses vision-language models to aggregate videos into one organized, easy-to-digest experience.
HyoungWook Jin (@hyoungwookjin) 's Twitter Profile Photo

๐ŸŒธNew #CHI2025 paper alert!! ๐Ÿค–๐Ÿ‘ฉโ€๐Ÿซ How can teachers ensure that AI tutors work for every student? Our team envisions a future where teachers build chatbots (e.g., AI tutors) tailored to their curriculum and students. ๐Ÿ“„ Paper: arxiv.org/abs/2410.04078

Joseph Seering (@josephseering) 's Twitter Profile Photo

I've been quiet for a while on the social media front -- it's been a very busy two years with an international move and setting up a new lab at KAIST, but I wanted to take a moment to highlight some of my students' fantastic new work in the domain of online safety.

Rock Pang (@rockpang6) 's Twitter Profile Photo

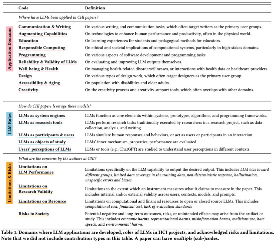
I'll be presenting "Understanding the LLM-ification of CHI" **Wed, 30 Apr, 2:10 PM - 3:40 PM** at ๐Ÿ“G401๐Ÿ“ Come to the #CHI2025 paper session "Future of HCI and Research Practices" for all the wonderful papers! Let's connect and chat in Japan!! ๐Ÿ˜€

I'll be presenting "Understanding the LLM-ification of CHI" **Wed, 30 Apr, 2:10 PM - 3:40 PM** at ๐Ÿ“G401๐Ÿ“ Come to the #CHI2025 paper session "Future of HCI and Research Practices" for all the wonderful papers! Let's connect and chat in Japan!! ๐Ÿ˜€
Yoonseo Choi (@yoon0u0) 's Twitter Profile Photo

I'm in Yokohama for #CHI2025 to present my work #Proxona! ๐Ÿ˜Š I'll be presenting at 9:12 AM in Room G314+G315. If you're interested in user simulation & prototyping, data-driven personas, conversational interactions, or supporting sensemaking and ideation, please come!

DaEun Choi (@daeun_choi_) 's Twitter Profile Photo

Are you interested in expanding your design ideas with generative AI? ๐ŸŽจ๐Ÿš€ Come check out our LBW poster on Expandora at #CHI2025 on Wed. We explored how structured input and a mindmap-style interface can enable broader exploration. Love to chat about #GenAI #Creativity #Design

Are you interested in expanding your design ideas with generative AI? ๐ŸŽจ๐Ÿš€
Come check out our LBW poster on Expandora at #CHI2025 on Wed. We explored how structured input and a mindmap-style interface can enable broader exploration. Love to chat about #GenAI #Creativity #Design
Kevin Pu (@kevpjk) 's Twitter Profile Photo

I am presenting IdeaSynth in the last paper session at #CHI2025 right now! Feel free to come by G314-315 to learn about how we utilize LLM to provide literature-grounded assistance for research idea development! The talk is happening at around 10:12 AM.

Yoonseo Choi (@yoon0u0) 's Twitter Profile Photo

์•ˆ๋…•ํ•˜์„ธ์š”, KIXLAB ์—์„œ ๋งŒ๋“  ๐Ÿ“ข ๊ณต์•ฝ์™์™ ์‹œ์Šคํ…œ๐Ÿ“ข์„ ์†Œ๊ฐœํ•ฉ๋‹ˆ๋‹ค! (promisescope.com) ๐Ÿค”๊ณต์•ฝ์™์™? #๋Œ€์„ 2025 ๊ณต์•ฝ์„ ๋ฐ”ํƒ•์œผ๋กœ ๊ณต์•ฝ์ด ๊ฐ€์ ธ์˜ฌ ์ˆ˜ ์žˆ๋Š” ์‚ฌํšŒ์  ์˜ํ–ฅ, ๊ทธ๋ฆฌ๊ณ  '๋‚˜'์—๊ฒŒ ์–ด๋–ค ๋ณ€ํ™”๊ฐ€ ์ƒ๊ธธ ์ˆ˜ ์žˆ์„์ง€ LLM (GPT-4o) ์„ ํ™œ์šฉํ•ด ์ž๋™์œผ๋กœ ๋ณด์—ฌ์ฃผ๋Š” ์‹œ์Šคํ…œ์ž…๋‹ˆ๋‹ค. (1/3)

Kevin Pu (@kevpjk) 's Twitter Profile Photo

New paper at #UIST25! ๐Ÿง  Wearable AI assistants can support our daily tasks, but poorly timed interventions often hurt more than help. ๐Ÿ•ถ๏ธ ProMemAssist is a wearable AI assistant that delivers proactive task supportโ€”at the right timeโ€”by modeling your working memory in real time.

Tae Soo Kim (@tae_skim) 's Twitter Profile Photo

You ask ChatGPT to write a message for: ๐Ÿ’ผ Credit-stealing colleague โ†’ โ€œBuilding on *my* ideaโ€ฆโ€ ๐Ÿ  Messy roommate โ†’ โ€œbabe wake up new mold just droppedโ€ Same you. Same task. Different context. Can LLMs learn this? ๐Ÿค” We built CUPID ๐Ÿน to find out. ๐Ÿ”— cupid.kixlab.org

You ask ChatGPT to write a message for:
๐Ÿ’ผ Credit-stealing colleague โ†’ โ€œBuilding on *my* ideaโ€ฆโ€
๐Ÿ  Messy roommate โ†’ โ€œbabe wake up new mold just droppedโ€

Same you. Same task. Different context.
Can LLMs learn this? ๐Ÿค”

We built CUPID ๐Ÿน to find out.
๐Ÿ”— cupid.kixlab.org
Yoonjoo Lee (@yoonjoo_le2) 's Twitter Profile Photo

๐ŸŽ“I officially defended my PhD! Huge thanks to my amazing advisor Juho Kim and committee Eytan Adar Alice Oh Sherry Tongshuang Wu Minjoon Seo. This fall, I'm excited to join Computer Science and Engineering at Michigan as a postdoc with Vera Liao to continue my research in human-centered AI and cognitive alignment!๐Ÿ’™

๐ŸŽ“I officially defended my PhD! Huge thanks to my amazing advisor <a href="/juhokim/">Juho Kim</a> and committee <a href="/eytanadar/">Eytan Adar</a> <a href="/aliceoh/">Alice Oh</a> <a href="/tongshuangwu/">Sherry Tongshuang Wu</a> <a href="/seo_minjoon/">Minjoon Seo</a>.

This fall, I'm excited to join <a href="/UMichCSE/">Computer Science and Engineering at Michigan</a> as a postdoc with <a href="/QVeraLiao/">Vera Liao</a> to continue my research in human-centered AI and cognitive alignment!๐Ÿ’™
Yoonseo Choi (@yoon0u0) 's Twitter Profile Photo

Are you heading to Busan? ๐Ÿ„โ€โ™€๏ธ๐ŸŒด๐Ÿ‡ฐ๐Ÿ‡ท I'll present our paper ๐ŸชทBloomIntent: Automating Search Evaluation with LLM-Generated Fine-Grained User Intents at #UIST2025! ๐Ÿ“Oct 1 ยท 11:12โ€“11:24 AM (Miami Room)

Are you heading to Busan? ๐Ÿ„โ€โ™€๏ธ๐ŸŒด๐Ÿ‡ฐ๐Ÿ‡ท
I'll present our paper ๐ŸชทBloomIntent: Automating Search Evaluation with LLM-Generated Fine-Grained User Intents at #UIST2025! 

๐Ÿ“Oct 1 ยท 11:12โ€“11:24 AM (Miami Room)
Kihoon Son (@kihoon_son) 's Twitter Profile Photo

Are you interested in capturing professionals' tacit knowledgeโ€”like implicit decisionsโ€”and reusing it in generative agents ๐Ÿค– to better support creative work ๐Ÿ‘จ๐Ÿปโ€๐ŸŽจ? ๐Ÿ‘‰ I will present my thesis work at UIST25 Doctoral Symposium (Poster: Tue evening). See you in Busan! ๐Ÿ‡ฐ๐Ÿ‡ท #UIST2025

Kevin Pu (@kevpjk) 's Twitter Profile Photo

I am presenting ProMemAssist at #UIST2025! The demo is funny -- check out how my AI assistant on smart glasses helps me pack ๐ŸŽ’๐Ÿ‘“ ๐Ÿ“Sept 30 Tue | 12:12 PM | Grand Ballroom