Shauna Mcleod (@shauna506) 's Twitter Profile
Shauna Mcleod

@shauna506

ID: 364017291

calendar_today29-08-2011 02:10:35

2,2K Tweet

116 Followers

476 Following

Bob Garvin (@bgpvideo) 's Twitter Profile Photo

Fruit juice may increase death risk as much as sugary drinks, say researchers at Emory University School of Medicine in Atlanta. tinyurl.com/y3pad4b7

Harjinder Singh Kukreja (@singhlions) 's Twitter Profile Photo

A British Sikh teen was racially attacked & beaten up in Telford by white schoolmates & sadly only Sikhs have to, like always, speak up about the bullying & injustices meted out to them for looking different. Let’s not turn a blind eye. Speak out 💔🙏

Martha's Table (@marthastableon) 's Twitter Profile Photo

Thanks, again, for another donation of takeout containers from Queen's VLC. Queens students have rallied for Martha's Table and arranged several donation drives over the past few weeks. We wish you all a safe holiday! Queen's University

Adam Grant (@adammgrant) 's Twitter Profile Photo

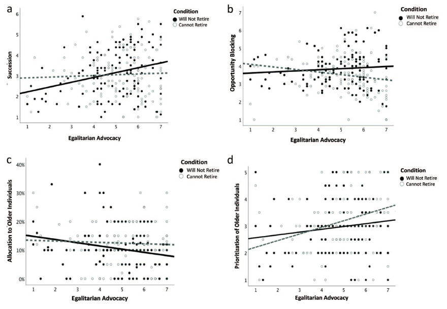
A form of prejudice we don’t discuss enough: ageism. New data: people who believe in equality are less sexist and racist—but more ageist. They see older adults who choose not to retire as blocking opportunities. If you support equality, shouldn't it extend to all groups?

A form of prejudice we don’t discuss enough: ageism.

New data: people who believe in equality are less sexist and racist—but more ageist. They see older adults who choose not to retire as blocking opportunities.

If you support equality, shouldn't it extend to all groups?
Adam Grant (@adammgrant) 's Twitter Profile Photo

When people let you down, you owe it to them to let them know. Hiding disappointment breeds resentment—and sets them up to keep disappointing you. Explaining how their actions fell short of your expectations isn't unkind. It's an investment in improving the relationship.

Dr Julia Shaw (@drjuliashaw) 's Twitter Profile Photo

The stereotype that swearing is related to lower IQ is based on the "poverty-of-vocabulary theory" & is exacerbated for women Research has also found that women who swear are seen as less competent but MORE attractive by men So what do you think? Should I occasionally swear?

Adam Grant (@adammgrant) 's Twitter Profile Photo

The hallmark of a productive debate is not persuasion, but insight. In a good argument, you're as motivated to learn as to convince. You can declare victory when everyone involved has deepened their understanding, broadened their knowledge, or evolved their thinking.

Adam Grant (@adammgrant) 's Twitter Profile Photo

Leadership is not boasting about what you know. It's having the confidence to admit what you don't know. You don't need to assure people that you have all the answers. They just want to know that you're committed to finding a solution—and capable of guiding a group toward it.

Leadership is not boasting about what you know. It's having the confidence to admit what you don't know.

You don't need to assure people that you have all the answers. They just want to know that you're committed to finding a solution—and capable of guiding a group toward it.
Adam Grant (@adammgrant) 's Twitter Profile Photo

Being afraid to give someone honest feedback doesn’t mean you lack courage. It means they haven’t created psychological safety. Even if they haven’t silenced you in the past, they haven't given you a voice. If they want the truth, they have to prove they can handle the truth.

Adam Grant (@adammgrant) 's Twitter Profile Photo

When other people are suffering, a common barrier to compassion is the fear of overstepping our bounds. It's better to give too much and risk some awkwardness than to give too little and leave people without care and support. When in doubt, err on the side of kindness.

Peter Krykant (@petekrykant_opc) 's Twitter Profile Photo

Spent day in West-Midlands, taken aback seeing the desperate need for Overdose Prevention Sites, such pain & unnecessary suffering inflicted on so many Simple question we should all ask, where would you rather a loved one was if they were dealing with drug dependency 👇

Spent day in West-Midlands, taken aback seeing the desperate need for Overdose Prevention Sites, such pain & unnecessary suffering inflicted on so many

Simple question we should all ask, where would you rather a loved one was if they were dealing with drug dependency 👇
Nav Persaud (@navpersaud) 's Twitter Profile Photo

If you get disconnected from a hearing to decide whether you will be evicted, you can always spend your days in coffee shops that are open. But Tribunals Ontario does not conduct in-person hearings although they can help level the pitch for tentants. maphealth.ca/tribunals-onta…

Toronto Star (@torontostar) 's Twitter Profile Photo

As the number of deaths rises in Canada from a toxic drug supply, advocates say it is “unconscionable” that the federal government has yet to decide on requests to decriminalize drug possession in some parts of the country. torstar.co/2QSx50J8b7g

Western Health Sciences (@westernufhs) 's Twitter Profile Photo

New 📄 by @cannemarshall, Julia Holmes in CAOT_ACE's CJOT/RCE: ‘Meaningful Activity, Psychosocial Wellbeing, and Poverty During COVID-19: A Longitudinal Study’ Centre for Health Equity and Social Inclusion #westernuOT @VPRWesternU Western University 🔓 doi.org/10.1177/000841…