Robert Ho (@robertlho) 's Twitter Profile
Robert Ho

@robertlho

MBBS HKU / UCL▫️ Student Ambassador @hkumed ▫️ Director @ Asian Medical Students' Association Hong Kong ▫️ Neuroscience & public health 🧠⚕

ID: 744828394869710848

calendar_today20-06-2016 09:45:02

535 Tweet

88 Followers

845 Following

Kialo Edu (@kialoedu) 's Twitter Profile Photo

Welcome to Kialo Edu, the tool used by educators world-wide to teach critical thinking and facilitate thoughtful classroom debate. Kialo Edu is a free version of Kialo, the world's most popular argument mapping site, customized for classroom use. Try it! kialo-edu.com

Brett Bigham -I go by Mr B-the PhD is honorary. (@2014ortoy) 's Twitter Profile Photo

In 2014, after being named Teacher of the Year, my supervisor told me if I said I was gay in public I would be "shot in the head." I was told I would be fired if I did not bring her all of my private mail from home to read. (more)

Pervaiz Shallwani (@pervaizistan) 's Twitter Profile Photo

NEW: Martin Gugino, the 75-year-old protester who was pushed by two Buffalo police officers, has a fractured skull and is not able to walk, according to a statement his lawyer sent CNN today.

Aidan Smith (@aidan_smx) 's Twitter Profile Photo

Cute propaganda. In reality Bezos's mommy and daddy gave him $245,573 to stop Amazon from failing in 1995, but you'd never know it from listening to our right-wing mainstream media that blames poverty on personal failure and attributes wealth to personal virtue.

ABC News (@abc) 's Twitter Profile Photo

Navy vet who clashed with federal officers in Portland says he wants to use attention on him "to refocus this whole discussion back to Black Lives Matter." “If I had been a black veteran...do you think I would have gotten as much attention as I did?” abcn.ws/39rIu16

Billy Quilty (@bquilty) 's Twitter Profile Photo

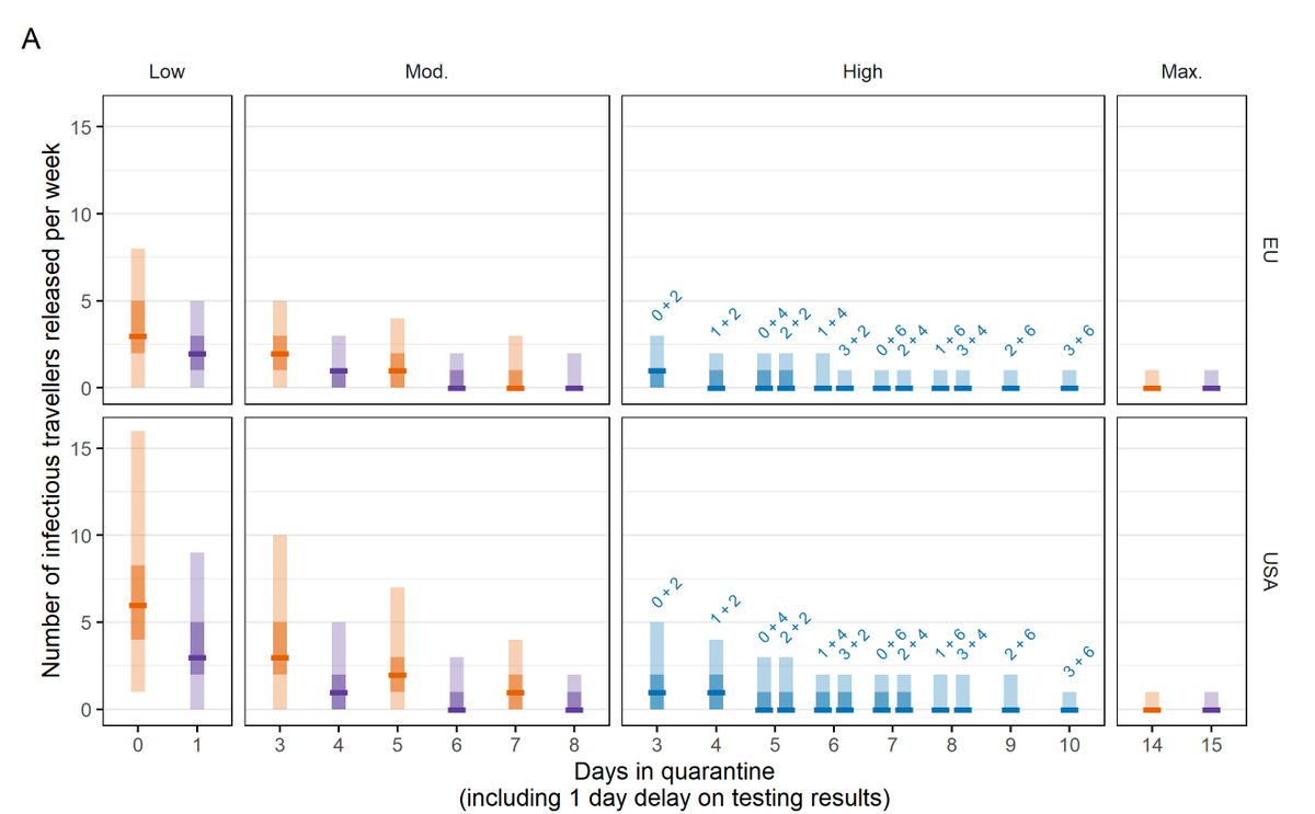
An 8-day quarantine combined with a PCR test on day 7 can reduce the number of infectious persons entering a country by 94%, similar to the 99% reduction provided by a 14-day quarantine: Our new pre-print (led by Sam Clifford and myself) is now available: cmmid.github.io/topics/covid19…

An 8-day quarantine combined with a PCR test on day 7 can reduce the number of infectious persons entering a country by 94%, similar to the 99% reduction provided by a 14-day quarantine: Our new pre-print (led by <a href="/samclifford/">Sam Clifford</a> and myself) is now available: cmmid.github.io/topics/covid19…
Dr. Karen Grépin (@karengrepin) 's Twitter Profile Photo

Many jurisdictions have implemented intra-country travel bans (i.e. between states or provinces) to fight #COVID-19. But are they legal? cc Kelley Lee @adamkams @CatWorsnop Summer Marion

HKU Medicine (@hkumed) 's Twitter Profile Photo

"The #reinfection didn't cause disease, so that's the first point. The second thing is ... whether the patient mounted a neutralizing #antibody response to the first infection," said Prof Malik Peiris HKU Public Health on HKU Medicine Microbiology's findings. #COVID19 statnews.com/2020/08/24/fir…

Gabriel Leung (@gmleunghku) 's Twitter Profile Photo

Just out: COVID-19 vaccine trials primarily assess prevention of virologically confirmed disease; NOT infection or transmission. An “effective” vax confers protection from disease but might not reduce spread...1/5

HKU Medicine (@hkumed) 's Twitter Profile Photo

How can a #mobileapp help #stroke patients and their caregivers? Dr Gary Lau Kui-kai, Director of #HKUStroke, explains how this one-stop platform "can holistically manage a range of problems that our #stroke patients and their caregivers encounter."

HKU Medicine (@hkumed) 's Twitter Profile Photo

In the early months of #COVID19, Dr. Gary Lau, and a team of researchers from #HKUStroke found that patients were presenting to the hospital with symptoms of a #stroke on average 60 minutes later. medium.com/hkumed/a-covid…

The Lancet (@thelancet) 's Twitter Profile Photo

NEW—Interim analysis of Russian #COVID19 #vaccine phase 3 trial involving nearly 20,000 participants suggests a two-dose regimen has an efficacy of 91.6% against symptomatic #COVID19. No serious adverse events were deemed to be associated with vaccination. hubs.li/H0FQWFS0

NEW—Interim analysis of Russian #COVID19 #vaccine phase 3 trial involving nearly 20,000 participants suggests a two-dose regimen has an efficacy of 91.6% against symptomatic #COVID19. No serious adverse events were deemed to be associated with vaccination. hubs.li/H0FQWFS0
Robert Ho (@robertlho) 's Twitter Profile Photo

Privileged and humbled to receive my first dose #COVID19Vaccination today. And to think this is a mere 14 months after #SARSCoV2 genome publication.. Bravo science!! Kudos to HKU Medicine for the arrangement.

Privileged and humbled to receive my first dose #COVID19Vaccination today. And to think this is a mere 14 months after #SARSCoV2 genome publication.. Bravo science!!
Kudos to <a href="/hkumed/">HKU Medicine</a> for the arrangement.
Robert Ho (@robertlho) 's Twitter Profile Photo

How did travel measures affect the early spread of #COVID19? We compile the evidence. Our Pandemics and Borders Project systematic review on the effectiveness of #COVID19 travel-related measures, published in BMJ Global Health: gh.bmj.com/content/bmjgh/… Thank you Dr. Karen Grépin for mentoring!

Dr Siddharth Sridhar (@sid8998) 's Twitter Profile Photo

Whenever people tell me they are reluctant to get jabbed, I ask them what they are worried about. Often, we already have fairly good answers to many queries/ concerns. Here's a summary of common reasons for 'waiting & seeing' and my responses to them. #COVID19Vaccine

Whenever people tell me they are reluctant to get jabbed, I ask them what they are worried about. Often, we already have fairly good answers to many queries/ concerns. Here's a summary of common reasons for 'waiting &amp; seeing'  and my responses to them. 
#COVID19Vaccine
HKU Medicine (@hkumed) 's Twitter Profile Photo

#Meningitis is a medical emergency which can quickly become fatal within hours and result in lifelong disability. Every year, millions of new cases are reported worldwide. We could help #DefeatMeningitis even by simply learning more about it. #WorldMeningitisDay

#Meningitis is a medical emergency which can quickly become fatal within hours and result in lifelong disability. 

Every year, millions of new cases are reported worldwide.

We could help #DefeatMeningitis even by simply learning more about it. 

#WorldMeningitisDay