Pharos (@pharosplatforms) 's Twitter Profile
Pharos

@pharosplatforms

Geospatial data for the modern stack

ID: 1569373419518435330

linkhttps://linktr.ee/pharosplatforms calendar_today12-09-2022 17:12:51

50 Tweet

102 Followers

345 Following

Pharos (@pharosplatforms) 's Twitter Profile Photo

Influence of topography on local humidity, #Colombia #dataviz #matplotlib #climate #python Made with ERA5 data, available on the Pharos API. Signup, join our Discord, get free data, and learn how to make these nice plots here: discord.com/invite/gctbDhE…

Peter Fettes (@peter_fettes) 's Twitter Profile Photo

Wiiild seasonal variability in #Japan - influence of topography on local temperature, precipitation, and humidity #dataviz #matplotlib #climate #Python #geospatial Made with GEBCO Bathymetry & ERA5 data from the Pharos API Pharos

Pharos (@pharosplatforms) 's Twitter Profile Photo

Global, hourly sea surface temperature (ERA5) now available on the Pharos API. Here's a quick timelapse we whipped up of Greenland's coast (2021-2022) with #matplotlib #python Join our Discord community to learn more: discord.com/invite/gctbDhE…!

Pharos (@pharosplatforms) 's Twitter Profile Photo

Can ERA5 reanalysis data detect #hurricanes? We revisited Hurricane Sandy (2012) to see for ourselves. Data available on the Pharos API. Visualization made with #matplotlib #Python Learn more: linktr.ee/pharosplatforms

Peter Fettes (@peter_fettes) 's Twitter Profile Photo

The 2021 heat dome, a 1000-year weather event made 150x more likely because of #climatechange & highest recorded temp in #Canada - 49.6C Made with maximum temperature ERA5 data from the Pharos API Pharos #dataviz #matplotlib #Python #geospatial

Pharos (@pharosplatforms) 's Twitter Profile Photo

We used #ChatGPT from OpenAI to make an app that can generate coordinates based on city names. The results were pretty amazing, and you can use it with Pharos API to generate #geospatial time-series for any city!

Pharos (@pharosplatforms) 's Twitter Profile Photo

Generate climate time-series data for any point on the globe with Pharos and Streamlit 😎 Try it here: …arosclimateapp.bardiamonavari.repl.co GitHub repo: github.com/pharos-code/cl…

Christoph Rieke (@chrieke) 's Twitter Profile Photo

Think my recent favourite is Pharos, 3 people, an API for direct access to json geodata. Still early days I guess, but solid & tangible offering, nice docs and demos.

Gilberto Camara (@gcamara) 's Twitter Profile Photo

Two cases of big Earth observation (E0) data analysis with image time series: (a) retrieving time series from a collection one-by-one and then analysing them; (b) building a DL/ML model and applying it to classify an entire multi-temporal collection. Every pixel. (+)

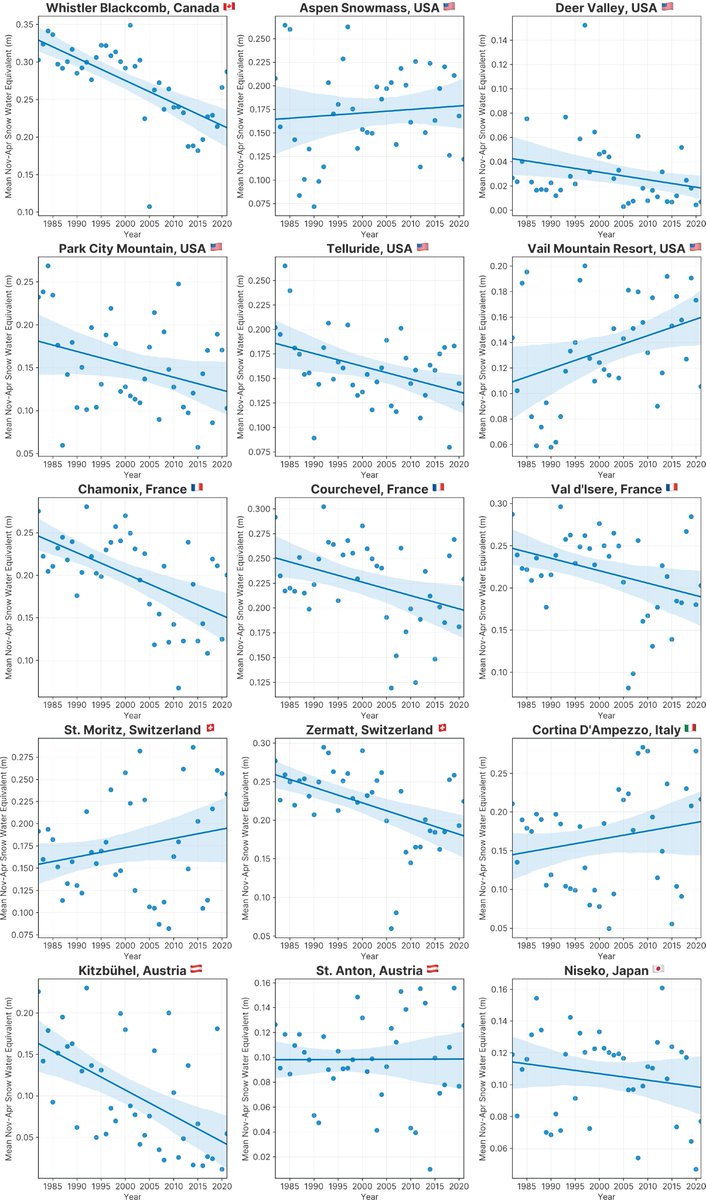
Peter Fettes (@peter_fettes) 's Twitter Profile Photo

If you're coming back from a ski trip wondering if it's been a lot less snowy than the past, you're not hallucinating..this is a trend we're seeing across the world's top ski resorts Pharos

If you're coming back from a ski trip wondering if it's been a lot less snowy than the past, you're not hallucinating..this is a trend we're seeing across the world's top ski resorts <a href="/pharosplatforms/">Pharos</a>
Radiant Earth (@ourradiantearth) 's Twitter Profile Photo

If you've heard of Cloud Optimized GeoTIFF (a.k.a COG), the standard for storing data optimized for processing in a cloud computing env, Jed Sundwall's reflections on its emergence & how cloud-optimized data can create a more diverse Earth science community is a must-read! radiant.earth/blog/2023/03/t…

If you've heard of <a href="/cogeotiff/">Cloud Optimized GeoTIFF (a.k.a COG)</a>, the standard for storing data optimized for processing in a cloud computing env, <a href="/jedsundwall/">Jed Sundwall</a>'s reflections on its emergence &amp; how cloud-optimized data can create a more diverse Earth science community is a must-read! radiant.earth/blog/2023/03/t…