Nishikant Dubey (@nishikantdubey) 's Twitter Profile
Nishikant Dubey

@nishikantdubey

ID: 169964029

calendar_today23-07-2010 16:20:38

243 Tweet

85 Takipçi

176 Takip Edilen

Patrick McKenzie (@patio11) 's Twitter Profile Photo

In honor of someone’s bad bug today, I will retell a story of my worst bug: Once upon a time I was the CEO and entire engineering team of a company which sent appointment reminders. Each reminder was sent by a cron job draining a queue. That queue was filled by another cron job

Shridhar V (@iimcomic) 's Twitter Profile Photo

Won’t be surprised if BCCI now sends Lovely Professional University XI next to play a series in Sri Lanka. #INDvsSL2021

Neelesh Misra (@neeleshmisra) 's Twitter Profile Photo

Your kid can be an icon like Neeraj Chopra or Rani Rampal or Saikhom Mirabai Chanu if they pursue their dreams. Don’t force your kids to do coding because some company’s multimillion dollar campaign trues to brainwash you. I am not against coding. I am against selling fear.

Your kid can be an icon like <a href="/Neeraj_chopra1/">Neeraj Chopra</a> or <a href="/imranirampal/">Rani Rampal</a> or <a href="/mirabai_chanu/">Saikhom Mirabai Chanu</a> if they pursue their dreams.
Don’t force your kids to do coding because some company’s multimillion dollar campaign trues to brainwash you.
I am not against coding. I am against selling fear.
Fermat's Library (@fermatslibrary) 's Twitter Profile Photo

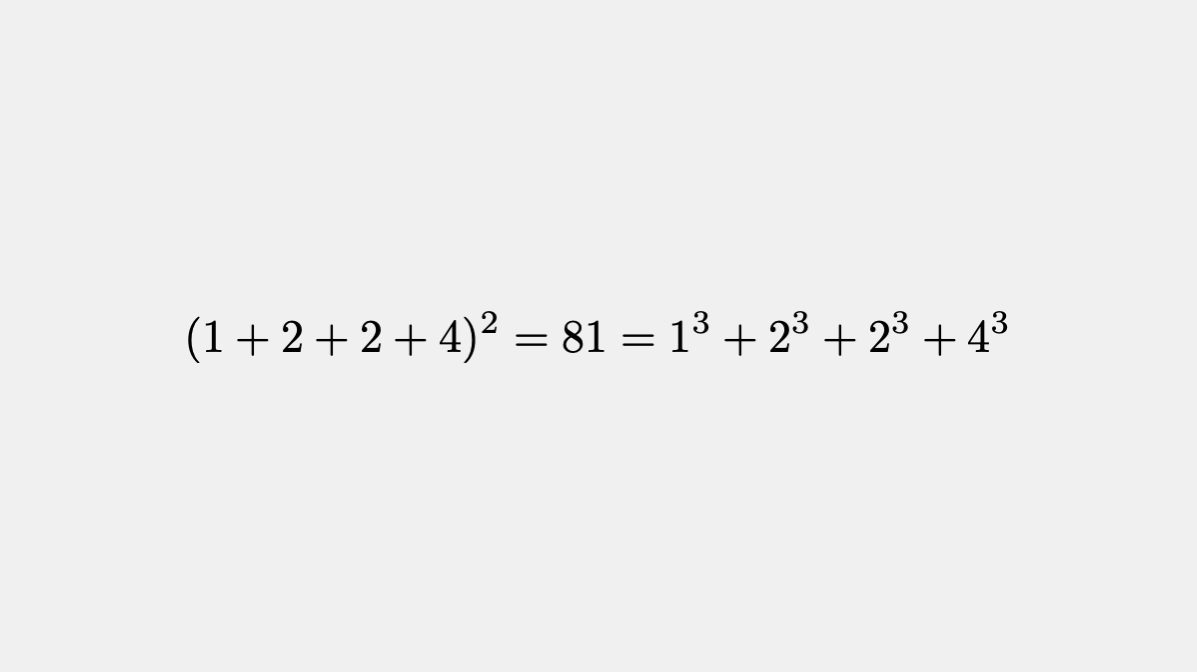
Liouville proved the following property of the divisors of the divisors of a number: 1) Start with a number (e.g. 10) 2) Write down its divisors (1,2,5,10) 3) Write down the number of divisors of each divisor (1,2,2,4) 4) (1+2+2+4)²=81=1³+2³+2³+4³

Liouville proved the following property of the divisors of the divisors of a number:
1) Start with a number (e.g. 10)
2) Write down its divisors (1,2,5,10)
3) Write down the number of divisors of each divisor (1,2,2,4)
4) (1+2+2+4)²=81=1³+2³+2³+4³
Hardik Rajgor (@hardism) 's Twitter Profile Photo

Modi has delivered on tangible measurable metrics - roads, airports, water, gas, electricity, toilets. Too much talk is about immeasurable abstracts - idea of India, institutional credibility, democratic slide. Don't blame a poor country for choosing the former over the latter.

Nattha (@thefirsthandle) 's Twitter Profile Photo

राजनीतिक झुकाव से ऊपर उठकर अच्छे काम की प्रशंसा होनी चाहिए. दिल्ली सरकार का ये कदम काबिल-ए-तारीफ़ है. योगी जी को इससे सीख लेते हुए उत्तर प्रदेश के समुद्रतटीय इलाक़ों के मछुआरों को मुआवज़ा देना चाहिए.

Jayvijay Sachan (@jayvijaysachan) 's Twitter Profile Photo

Is this really comedy ? Your political views may differ but making fun of people who were seeking help for oxygen cylinders during the major covid-19 crisis is not something to laugh about. These wanna be 'cool' people are ruining the name of comedy.

THE SKIN DOCTOR (@theskindoctor13) 's Twitter Profile Photo

Tendulkar played in an era without DRS, falling victim to numerous wrong dismissals in his career. Grounds had longer boundaries. Pitches were very fast outside the subcontinent, as there was little emphasis on balanced pitches that helped both teams. Except for the latter

Eminent Intellectual (@total_woke_) 's Twitter Profile Photo

🚨 You will never celebrate Diwali again! This Delhi girl's dog suffered during #Diwali and Hindustan Times posted about her nightmare. It's going viral. Foreign publications are picking it up. You Hindus should be ashamed of #DiwaliCelebration ! But wait a second ✋! 1/6

🚨 You will never celebrate Diwali again!

This Delhi girl's dog suffered during #Diwali and Hindustan Times posted about her nightmare. It's going viral. Foreign publications are picking it up. You Hindus should be ashamed of #DiwaliCelebration !

But wait a second ✋! 1/6