Nikki Rommers
@nikkirommers
ID: 995609635313905664
13-05-2018 10:20:09
58 Tweet
205 Takipçi
152 Takip Edilen
Health for Performance - youth sports in need of a new model to preserve health and promote sustainable all-around "performance". By 𝘿𝙧 𝘽𝙤𝙧𝙞𝙨 𝙂𝙤𝙟𝙖𝙣𝙤𝙫𝙞𝙘 and Dr Stéphane Tercier sems-journal.ch/8021
That's cool ⚽️#injury #soccer #football Roland Rössler PhD @EvertVerhagen erik witvrouw & the Team Medicine & Science in Sports & Exercise journals.lww.com/acsm-msse/Full…
Thanks footballscience for this nice infographic of our latest paper! Growth velocity is causally related to injury risk in elite-level youth football players, but motor performance does not mediate this relation.
.Football Australia today released a suite of free Injury Prevention, Warm Up and Performance resources designed to assist players at all levels of the sport to reduce their risk of injury, perform better on the field and to be available to play more football, more often.
❗New article online ❗ Does the timing of biological maturation have an effect on executive functions? Find out here 👉 frontiersin.org/articles/10.33… Thanks to everyone who was involved! Frederik Deconinck Matthieu Lenoir Eline Coppens Silke De Waelle Nikki Rommers Mireille Mostaert
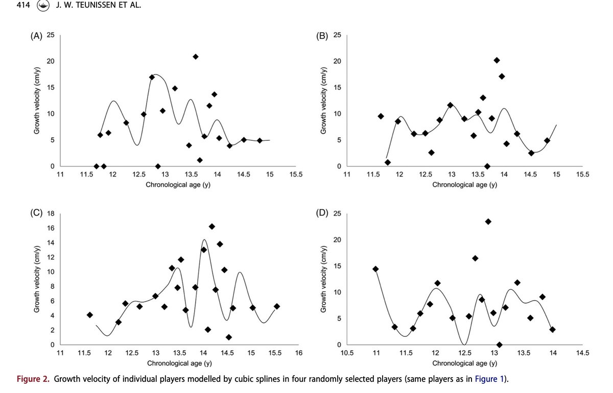
@jay_salter Xabi Monasterio These individual plots based upon monthly height assessments in Dutch academy players from Jan Willem Teunnisen and Nikki Rommers also give some much needed insight as to the saltatory nature of growth tandfonline.com/doi/pdf/10.108…
Dear JAMA Pediatrics, So jumping rope, climbing trees and gymnastics are safe for kids, but weight lifting is "not appropriate" because the strain is too high?
Two year post-doctoral research associate position with myself, Sean Williams Podium Analytics CHi2PS at University of Bath looking to mitigate injury risk in schools sports through the adolescent growth spurt, deadline 9th August, please RT #biobanding bath.ac.uk/jobs/Vacancy.a…
Patience During Puberty by Trent Stellingwerff, PhD / CSEP-CEP / FACSM / ChPC: it's normal and healthy for female athletes to undergo changes in their bodies as they hit puberty and begin menstruating. Our FASTR team loved Trent's article so much 👏 we created an infographic for it! fastr.su.domains/news/patience-…
#OpenAccess article in the Journal of #Neurology: "Timed up-and-go performance is associated w/ objectively measured life space in patients 3 months after #ischemicstroke: a cross-sectional observational study" ✍️Coauthored by LISER's Eun-Kyeong Kim, et al. 🔗link.springer.com/article/10.100…