Mikołaj Stańczak (@mstanczako) 's Twitter Profile
Mikołaj Stańczak

@mstanczako

▪️Motor Control and Cell Biology hothead

▪️Doctor of Medicine student (MD)

▪️Sports Rehabilitation

ID: 1195936052428582912

calendar_today17-11-2019 05:26:07

3,3K Tweet

63 Followers

368 Following

Ege (@egeberkina) 's Twitter Profile Photo

Inside the sound { "scene": { "type": "single_object_studio_render", "background": { "color": "pure_black", "texture": "none", "lighting": "no_environment_reflections" } }, "subject": { "object_type": "wireless_earbud", "model_hint":

Inside the sound

{
  "scene": {
    "type": "single_object_studio_render",
    "background": {
      "color": "pure_black",
      "texture": "none",
      "lighting": "no_environment_reflections"
    }
  },
  "subject": {
    "object_type": "wireless_earbud",
    "model_hint":
Manning Publications (@manningbooks) 's Twitter Profile Photo

"DeepSeek model" sounds like it's going to be math-heavy, but this one isn’t. Build a DeepSeek Model (From Scratch) breaks the whole process into something accessible, walking you through the design in a way that actually clicks. Alain Airom's review lays out who'll get the

"DeepSeek model" sounds like it's going to be math-heavy, but this one isn’t.

Build a DeepSeek Model (From Scratch) breaks the whole process into something accessible, walking you through the design in a way that actually clicks.

Alain Airom's review lays out who'll get the
Iñigo San Millán (@doctorinigo) 's Twitter Profile Photo

Among the many effects of lactate in metabolism, Lactate has important endocrine and autocrine roles in fat metabolism Endocrine: Lactate leaves the muscle and acts as a hormone. It reaches adipose tissue, binds to the GPR81 receptor, and tells fat cells to slow lipolysis. This

Among the many effects of lactate in metabolism, Lactate has important endocrine and autocrine roles in fat metabolism 

Endocrine: Lactate leaves the muscle and acts as a hormone. It reaches adipose tissue, binds to the GPR81 receptor, and tells fat cells to slow lipolysis. This
Machine learning for protein engineering seminar (@ml4proteins) 's Twitter Profile Photo

Next Tues (12/9) at 4PM ET, Jasper Butcher will present "De novo Design of All-atom Biomolecular Interactions with RFdiffusion3" Paper: biorxiv.org/content/10.110… Sign up on our website for zoom links!

Waggoner Lab (@labwaggoner) 's Twitter Profile Photo

SOX2Hi tumor-initiating stem cells reprogram neutrophils that block IFN-induced reprogramming after immunotherapy, maintaining their pro-tumor phenotype at the tumor-stroma interface Cancer Cell Yuxuan (Phoenix) Miao The University of Chicago cell.com/cancer-cell/fu… cell.com/cancer-cell/fu…

SOX2Hi tumor-initiating stem cells reprogram neutrophils that block IFN-induced reprogramming after immunotherapy, maintaining their pro-tumor phenotype at the tumor-stroma interface <a href="/Cancer_Cell/">Cancer Cell</a> <a href="/YMphoenix/">Yuxuan (Phoenix) Miao</a> <a href="/UChicago/">The University of Chicago</a> 
cell.com/cancer-cell/fu…
cell.com/cancer-cell/fu…
Biology+AI Daily (@biologyaidaily) 's Twitter Profile Photo

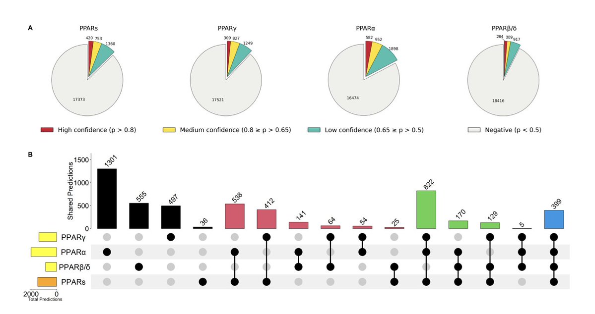
PPARgene 2.0: Leveraging Large Language Models and Multi-Oomics Data for Enhanced Identification and Prediction of PPAR Target Genes 1. PPARgene 2.0 is a major update to the PPARgene database, integrating large language models and multi-omics data to identify and predict PPAR

PPARgene 2.0: Leveraging Large Language Models and Multi-Oomics Data for Enhanced Identification and Prediction of PPAR Target Genes  

1. PPARgene 2.0 is a major update to the PPARgene database, integrating large language models and multi-omics data to identify and predict PPAR
Biology+AI Daily (@biologyaidaily) 's Twitter Profile Photo

BioMedGPT-Mol: Multi-task Learning for Molecular Understanding and Generation 1. This groundbreaking work introduces BioMedGPT-Mol, a specialized molecular language model designed to advance molecular discovery in biomedicine. The model leverages multi-task learning to excel

BioMedGPT-Mol: Multi-task Learning for Molecular Understanding and Generation  

1. This groundbreaking work introduces BioMedGPT-Mol, a specialized molecular language model designed to advance molecular discovery in biomedicine. The model leverages multi-task learning to excel
Psychiatry Excellence (@psycheureka) 's Twitter Profile Photo

Autism isn’t “just genetic”.  The gut–brain–immune axis can shape how symptoms show up—especially when GI problems are in the mix.  Here’s what clinicians needs to know about the Gut Microbiome and Autism Spectrum Disorder (ASD) 👇🧵

Autism isn’t “just genetic”. 

The gut–brain–immune axis can shape how symptoms show up—especially when GI problems are in the mix. 

Here’s what clinicians needs to know about the Gut Microbiome and Autism Spectrum Disorder (ASD) 👇🧵
Physical Review Letters (@physrevlett) 's Twitter Profile Photo

Specific preparation and thermal history lock oligomeric glasses into distinct regions of the potential energy landscape, giving rise to fundamentally different dynamics go.aps.org/3MkPwfB

Specific preparation and thermal history lock oligomeric glasses into distinct regions of the potential energy landscape, giving rise to fundamentally different dynamics go.aps.org/3MkPwfB
Mustafa (@mustafa_kh4n) 's Twitter Profile Photo

common patterns in the lives of the greats exist. you see them everywhere once you know what to look for. name them. track them. copy them. • the monastic block long, uninterrupted stretches of isolation where they think, build, write, design, solve. deep work as a lifestyle,

common patterns in the lives of the greats exist. 

you see them everywhere once you know what to look for. name them. track them. copy them.

• the monastic block
long, uninterrupted stretches of isolation where they think, build, write, design, solve. deep work as a lifestyle,
Shanaka Anslem Perera ⚡ (@shanaka86) 's Twitter Profile Photo

THE COGNITIVE COLLAPSE We are witnessing the first documented case of mutual intelligence degradation between humans and machines. This is not theory. This is peer-reviewed science. Texas A&M, UT Austin, and Purdue just proved that AI systems trained on viral content lose

THE COGNITIVE COLLAPSE

We are witnessing the first documented case of mutual intelligence degradation between humans and machines.

This is not theory. This is peer-reviewed science.

Texas A&amp;M, UT Austin, and Purdue just proved that AI systems trained on viral content lose
Shining Science (@shiningscience) 's Twitter Profile Photo

⚡ Nikola Tesla was right. The universe isn’t solid — it vibrates. Quantum physics now shows reality is built not from matter, but from vibration and waves. Nikola Tesla once said, “If you want to find the secrets of the universe, think in terms of energy, frequency and

⚡ Nikola Tesla was right. The universe isn’t solid — it vibrates.

Quantum physics now shows reality is built not from matter, but from vibration and waves.

Nikola Tesla once said, “If you want to find the secrets of the universe, think in terms of energy, frequency and
Alex Imas (@alexolegimas) 's Twitter Profile Photo

Read Wolfram's excellent "What is ChatGPT Doing..." (h/t Daniel Rock). He writes that we learned a lot about how language works from fact that GPT3, with only 175 billion weights, is able to emulate it so well. This implies it's computationally a lot simpler than we may have

Read Wolfram's excellent "What is ChatGPT Doing..." (h/t <a href="/danielrock/">Daniel Rock</a>). 

He writes that we learned a lot about how language works from fact that GPT3, with only 175 billion weights, is able to emulate it so well. This implies it's computationally a lot simpler than we may have
LomvardasLab (@lomvardaslab) 's Twitter Profile Photo

This is how science should be: we were notified that we may have made an error; we invested time and money on investigating the error; we concluded that indeed there was an error; we let the world know. Respect for Neville and the team!

Luiz Pessoa (@pessoabrain) 's Twitter Profile Photo

𝗕𝗲𝘆𝗼𝗻𝗱 𝗻𝗲𝘁𝘄𝗼𝗿𝗸𝘀: 𝗧𝗼𝘄𝗮𝗿𝗱 𝗮𝗱𝗮𝗽𝘁𝗶𝘃𝗲 𝗺𝗼𝗱𝗲𝗹𝘀 𝗼𝗳 𝗯𝗶𝗼𝗹𝗼𝗴𝗶𝗰𝗮𝗹 𝗰𝗼𝗺𝗽𝗹𝗲𝘅𝗶𝘁𝘆 Paper out discussing how more standard network models miss key points of brain complexity. And some more radical points at the end. doi.org/10.1016/j.plre…

𝗕𝗲𝘆𝗼𝗻𝗱 𝗻𝗲𝘁𝘄𝗼𝗿𝗸𝘀: 𝗧𝗼𝘄𝗮𝗿𝗱 𝗮𝗱𝗮𝗽𝘁𝗶𝘃𝗲 𝗺𝗼𝗱𝗲𝗹𝘀 𝗼𝗳 𝗯𝗶𝗼𝗹𝗼𝗴𝗶𝗰𝗮𝗹 𝗰𝗼𝗺𝗽𝗹𝗲𝘅𝗶𝘁𝘆
Paper out discussing how more standard network models miss key points of brain complexity. And some more radical points at the end.
doi.org/10.1016/j.plre…
Stephen Turner 🦋 @stephenturner.us (@strnr) 's Twitter Profile Photo

gffutilsAI: An AI-Agent for Interactive Genomic Feature Exploration in GFF files biorxiv.org/content/10.648… 🧬🖥️🧪 github.com/ToyokoLabs/gff…

gffutilsAI: An AI-Agent for Interactive Genomic Feature Exploration in GFF files biorxiv.org/content/10.648… 🧬🖥️🧪 github.com/ToyokoLabs/gff…
Luiz Pessoa (@pessoabrain) 's Twitter Profile Photo

𝗪𝗵𝗲𝗻 𝗮𝗿𝗲 𝗯𝗿𝗮𝗶𝗻 𝘄𝗮𝘃𝗲𝘀 𝗰𝗮𝘂𝘀𝗮𝗹?? This one is likely to generate some discussion... arxiv.org/html/2511.0660…

𝗪𝗵𝗲𝗻 𝗮𝗿𝗲 𝗯𝗿𝗮𝗶𝗻 𝘄𝗮𝘃𝗲𝘀 𝗰𝗮𝘂𝘀𝗮𝗹??
This one is likely to generate some discussion...
arxiv.org/html/2511.0660…
Kasra Jalaldoust (@causalkasra) 's Twitter Profile Photo

Neuroscientists record two main data modalities: electromagnetic waves and Spiking activities. A longstanding debate in neuroscience is whether the brain waves are essential for understanding how the brain works, or are they merely epiphenomenal. In more scientific terms, do the