Michael A Bocchino (@mikeboch60) 's Twitter Profile
Michael A Bocchino

@mikeboch60

ID: 1703746286384508929

calendar_today18-09-2023 12:22:42

2,2K Tweet

167 Takipçi

233 Takip Edilen

Michael A Bocchino (@mikeboch60) 's Twitter Profile Photo

.Recent Developments (2024-2026)More recently, discussions about Dr. Ruwe and workers' comp have surfaced in online posts, particularly related to individual claims in Connecticut. For instance:In a Compensation Review Board (CRB) opinion from January 24, 2025, Dr. Ruwe conducted

.Recent Developments (2024-2026)More recently, discussions about Dr. Ruwe and workers' comp have surfaced in online posts, particularly related to individual claims in Connecticut. For instance:In a Compensation Review Board (CRB) opinion from January 24, 2025, Dr. Ruwe conducted
Jon Root (@jonnyroot_) 's Twitter Profile Photo

In a world full of Megan Rapinoes, Colin Kaepernicks, & LeBron James, be a Jack Hughes 🇺🇸🇺🇸🇺🇸🇺🇸🇺🇸🇺🇸🇺🇸🇺🇸🇺🇸🇺🇸🇺🇸

In a world full of Megan Rapinoes, Colin Kaepernicks, & LeBron James, be a Jack Hughes 

🇺🇸🇺🇸🇺🇸🇺🇸🇺🇸🇺🇸🇺🇸🇺🇸🇺🇸🇺🇸🇺🇸
Michael A Bocchino (@mikeboch60) 's Twitter Profile Photo

President Trump, please help!This is how Gov Lamont and Utica Ins rip off WC claimants. They had me arrested. I had to wait a week to get the warrant and a copy of the police report. Meriden PD made me do a FOIR to get them. I believe Attorney Dominick Secondo wrote all this up

President Trump, please help!This is how Gov Lamont and Utica Ins rip off WC claimants. They had me arrested. I had to wait a week to get the warrant and a copy of the police report. Meriden PD made me do a FOIR to get them. I believe Attorney Dominick Secondo wrote all this up
Michael A Bocchino (@mikeboch60) 's Twitter Profile Photo

Please send help. This is how Gov Lamont and Utica Ins rip off WC claimants. This is the response from my former attorney William Wynn to Dr. Connair who requested what exams he wanted done. Instead of telling Dr. Connair to do all applicable exams, he refers him to Utica

Please send help. This is how Gov Lamont and Utica Ins rip off WC claimants. This is the response from my former attorney William Wynn to Dr. Connair who requested what exams he wanted done. Instead of telling Dr. Connair to do all applicable exams, he refers him to Utica
Leafs Nation (@ourleafsnation) 's Twitter Profile Photo

This platform is overflowing with bitter, ignorant morons trying to twist Team USA’s gold medal and celebrations into something political. Yes, I wish Canada won. Yes, I thought we outplayed them. No, we didn’t win. That’s sports. And no — I’m not mad about these kids

Michael A Bocchino (@mikeboch60) 's Twitter Profile Photo

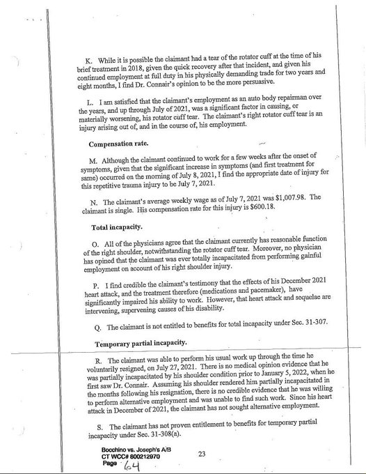
Lamont robs his injured workers. Morelli, Mlynarczyk, Schoolcraft, don't these lawyers make enough money? This is how Gov Lamont and Utica Ins rip off WC claimants. This is the response from my former attorney William Wynn to Dr. Connair who requested what exams he wanted done.

Lamont robs his injured workers. Morelli, Mlynarczyk, Schoolcraft, don't these lawyers make enough money? This is how Gov Lamont and Utica Ins rip off WC claimants. This is the response from my former attorney William Wynn to Dr. Connair who requested what exams he wanted done.
Michael A Bocchino (@mikeboch60) 's Twitter Profile Photo

This is how Gov Lamont and Utica Ins rip off WC claimants. This is the response from my former attorney William Wynn to Dr. Connair who requested what exams he wanted done. Instead of telling Dr. Connair to do all applicable exams, he refers him to Utica adjuster Robert Carrol

This is how Gov Lamont and Utica Ins rip off WC claimants. This is the response from my former attorney William Wynn to Dr. Connair who requested what exams he wanted done. Instead of telling Dr. Connair to do all applicable exams, he refers him to Utica adjuster Robert Carrol
Michael A Bocchino (@mikeboch60) 's Twitter Profile Photo

This is how Gov Lamont and Utica Ins rip off WC claimants. This is the response from my former attorney William Wynn to Dr. Connair who requested what exams he wanted done. Instead of telling Dr. Connair to do all applicable exams, he refers him to Utica adjuster Robert Carrol

This is how Gov Lamont and Utica Ins rip off WC claimants. This is the response from my former attorney William Wynn to Dr. Connair who requested what exams he wanted done. Instead of telling Dr. Connair to do all applicable exams, he refers him to Utica adjuster Robert Carrol
Wayne Ferris (@waynebferris) 's Twitter Profile Photo

Kristi L. Talmadge Harmeet K. Dhillon Election fraud is rampant in Connecticut! Release Connecticut’s Voter Rolls and SNAP Data now Governor Ned Lamont! Our citizens have a right to know how many Illegal aliens and dead people are on the rolls! How did CT have 143,000 more votes than registered voters? AAGHarmeetDhillon

Michael A Bocchino (@mikeboch60) 's Twitter Profile Photo

This is how Gov Lamont and Utica Ins rip off WC claimants. His appointed lawyers and WC drs used don't make enough money, so they rip off WC claimants. What they do is keep you from getting the necessary exams done instead of everyone doing the same exams. The "judge " was the

This is how Gov Lamont and Utica Ins rip off WC claimants. His appointed lawyers and WC drs used don't make enough money, so they rip off WC claimants. What they do is keep you from getting the necessary exams done instead of everyone doing the same exams. The "judge " was the
Michael A Bocchino (@mikeboch60) 's Twitter Profile Photo

his is how Gov Lamont and Utica Ins rip off WC claimants. His appointed lawyers and WC drs used don't make enough money, so they rip off WC claimants. What they do is keep you from getting the necessary exams done instead of everyone doing the same exams. The "judge " was the

his is how Gov Lamont and Utica Ins rip off WC claimants. His appointed lawyers and WC drs used don't make enough money, so they rip off WC claimants. What they do is keep you from getting the necessary exams done instead of everyone doing the same exams. The "judge " was the
Michael A Bocchino (@mikeboch60) 's Twitter Profile Photo

This is a small recap of Governor Lamont' s Worker Comp Commission. 22 hearings in 44 months. For $6,600.00. Let’s show how he rips off his injured workers. At least one way. How does a NY insurance company run the WCC and not have a single CT agency that has jurisdiction over