Middleton of Rora (@middletonofrora) 's Twitter Profile
Middleton of Rora

@middletonofrora

Magnificent new dairy with 200 milking cows milked by 4 robots. Cosy cottages available for holiday accommodation, great for farm stay.

ID: 2301813997

linkhttp://www.middletonofrora.com calendar_today20-01-2014 18:07:36

159 Tweet

254 Takipçi

353 Takip Edilen

Middleton of Rora (@middletonofrora) 's Twitter Profile Photo

A delight to have had NORVITE scholar Kerry here on farm doing her SRUC dissertation on #sustainable replacements for #soya in #cownutrition - her cheerful enthusiasm will stand her in good stead! #thisisdairyfarming

A delight to have had <a href="/NorviteFeeds/">NORVITE</a> scholar Kerry here on farm doing her <a href="/SRUC/">SRUC</a> dissertation on #sustainable replacements for #soya in #cownutrition - her cheerful enthusiasm will stand her in good stead! #thisisdairyfarming
Journal of Dairy Science | JDS Communications (@jdairyscience) 's Twitter Profile Photo

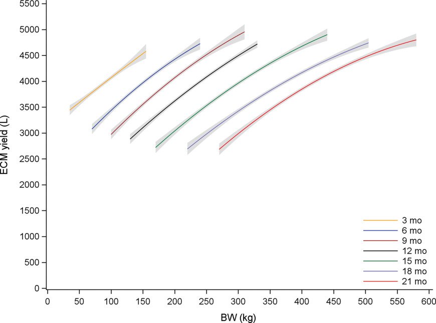
Positive relationships between body weight of dairy heifers and their first-lactation and accumulated three-parity lactation production dlvr.it/QzyqsQ

Positive relationships between body weight of dairy heifers and their first-lactation and accumulated three-parity lactation production dlvr.it/QzyqsQ
Middleton of Rora (@middletonofrora) 's Twitter Profile Photo

Enjoyed the most wonderful guided walk with the ranger at #longhavencliffs our local Scottish Wildlife Trust reserve - the #worldsnarrowestnaturereserve with the broadest of discussions #birds #butterflies #geology #socialhistory #environment thank you Benedict Scottish Wildlife Trust Aberdeen and Aberdeenshire #Aberdeenshire

Enjoyed the most wonderful guided walk with the ranger at #longhavencliffs our local <a href="/ScotWildlife/">Scottish Wildlife Trust</a> reserve - the #worldsnarrowestnaturereserve with the broadest of discussions #birds #butterflies #geology #socialhistory #environment thank you Benedict <a href="/SWTAberdeen/">Scottish Wildlife Trust Aberdeen and Aberdeenshire</a> #Aberdeenshire
Middleton of Rora (@middletonofrora) 's Twitter Profile Photo

A delight to have Hefin Richards Hefin Richards of rumenation.co.uk on our farm challenging us and other #dairy farmers to go from good to better. Focusing on the fundamentals of #transitioncowmanagement Many thanks to Lorna @ConsultingSAC for organising a great meeting.

A delight to have Hefin Richards <a href="/HefinR/">Hefin Richards</a> of rumenation.co.uk on our farm challenging us and other #dairy farmers to go from good to better. Focusing on the fundamentals of #transitioncowmanagement Many thanks to Lorna @ConsultingSAC for organising a great meeting.
Joe Stanley (@joewstanley) 's Twitter Profile Photo

Listening to BBC Radio 4 - a meat wholesaler trumpeting the low price of Brazilian 🇧🇷 beef over British 🇬🇧 - “It’s 1/3 cheaper! Great value for money”. No; it isn’t.

Listening to <a href="/BBCRadio4/">BBC Radio 4</a> - a meat wholesaler trumpeting the low price of Brazilian 🇧🇷 beef over British 🇬🇧 - “It’s 1/3 cheaper! Great value for money”.

No; it isn’t.
Middleton of Rora (@middletonofrora) 's Twitter Profile Photo

At Oosterbeek for The Battle of Arnhem memorial service. Humbled by the courage and selflessness not only of the soldiers who fought but also of the local Dutch population. #Arnhem75 #letsbuildbridges 🇬🇧🇵🇱🇱🇺

At Oosterbeek for The Battle of Arnhem memorial service. Humbled by the courage and selflessness not only of the soldiers who fought but also of the local Dutch population. #Arnhem75 #letsbuildbridges 🇬🇧🇵🇱🇱🇺
rora dairy (@roradairy) 's Twitter Profile Photo

What a week! The excitement of the support of Morrisons in placing our yogurts in more stores #supportlocal with this devastating news for us and many other local farms that Muller have given notice to Aberdeenshire dairy farmers… pressandjournal.co.uk/fp/business/fa… via The Press and Journal

OpenFarmSunday (@openfarmsunday) 's Twitter Profile Photo

❓POLL TIME❓ Do you believe it is more important than ever to invite the public on-farm? We would welcome any comments on your choice, we are keen to learn how important on-farm engagement is to both farmers and the public.

Middleton of Rora (@middletonofrora) 's Twitter Profile Photo

#milk - a drink for #heroes! 🥛🚒 🇦🇺🐄 Australia bushfires: 'We owe you milk' say firefighters who saved man's house bbc.co.uk/news/world-aus…

rora dairy (@roradairy) 's Twitter Profile Photo

Happy retirement to Jack Stephen who started working for my father in 1969 - a mere 50 years ago! Always a straight furrow behind the plough and an immaculate tractor as well as being very good with livestock . We will miss him and wish him well 🚜 #farming #thisisdairy

Happy retirement to Jack Stephen who started working for my father in 1969 - a mere 50 years ago! Always a straight furrow behind the plough and an immaculate tractor as well as being very good with livestock . We will miss him and wish him well 🚜 #farming #thisisdairy
Middleton of Rora (@middletonofrora) 's Twitter Profile Photo

A surprising bit of balance from the BBC - Why this cattle farmer moves his cows every day - carbon footprint and cattle. Maybe not in the US but grass based is how UK has always done it. “It’s not the cow, it’s the how!” Couldn’t put it better myself. bbc.co.uk/news/world-us-…

James Rebanks (@herdyshepherd1) 's Twitter Profile Photo

Spent the last hour judging the online sheep show And I have to tell you that the young handlers under 8 class was the cutest thing I have ever seen

Middleton of Rora (@middletonofrora) 's Twitter Profile Photo

Very good article by Judith Evans in the FT on the challenges facing farming - worth a read! What sort of agriculture and environment do we want - not only in the UK but globally? With Brexit & agriculture subsidy reform now is a good time to decide!