Michael Chaloupka (@m_chaloupka) 's Twitter Profile
Michael Chaloupka

@m_chaloupka

Assoc Professor of Urology | Ludwig-Maximilians-University Munich | Fishing Enthusiast...Trout and Kidney Stones #endouro

ID: 1065568830364295168

calendar_today22-11-2018 11:33:01

20 Tweet

128 Takipçi

286 Takip Edilen

European Urology (@euplatinum) 's Twitter Profile Photo

Comparative Effectiveness of Radical Prostatectomy Versus External Beam Radiation Therapy Plus Brachytherapy in Patients with High-risk Localized #prostatecancer #visualabstract Brigham and Women's Hospital europeanurology.com/article/S0302-…

Comparative Effectiveness of Radical Prostatectomy Versus External Beam Radiation Therapy Plus Brachytherapy in Patients with High-risk Localized #prostatecancer #visualabstract 
<a href="/BrighamWomens/">Brigham and Women's Hospital</a> 
europeanurology.com/article/S0302-…
The Lancet Oncology (@thelancetoncol) 's Twitter Profile Photo

New Article online: Use of #prostate systematic and targeted #biopsy on the basis of multiparametric #MRI in biopsy-naive patients—the paired #diagnostic MRI-FIRST study thelancet.com/journals/lanon…

NEJM (@nejm) 's Twitter Profile Photo

In cases in which the “bystander effect” seems to be at play in medicine, inaction by a group of clinicians usually takes the form of tacit acceptance of the status quo when the status quo isn’t working. What can social psychology teach us about such group failures?

Michael Chaloupka (@m_chaloupka) 's Twitter Profile Photo

#TFL #Soltive 9mm upper ureter stone @LMU_Uniklinikum Christian Stief. 80% Ca-Ox-Mono 20% Carb-Apa. ⚡️0.2J 40Hz à la Etienne Xavier Keller ➡️Form a bowl, then work the edges. No retropulsion, perfect dust. Just like a snow globe❄️😆#endourology

Michael Chaloupka (@m_chaloupka) 's Twitter Profile Photo

#TFL #Soltive 2.5x1.7cm kidney stone (ineligible for PCNL)@LMU_Uniklinikum Christian Stief.100% Ca-Ox-Mono💎.⚡️0.4J 20Hz à la Etienne Xavier Keller. ➡️Form a bowl, then work the edges. Compl dust in 70min👍🏼 watch out for obstruction of work channel tho☝🏻.2nd👀 for lower pole soon #endourology

Michael Chaloupka (@m_chaloupka) 's Twitter Profile Photo

‘Nother big stone by #TFL #Soltive @LMU_Uniklinikum Urologie LMU 3x1.5cm.fairly soft 750 HU.⚡️0.2J 40Hz à la Etienne Xavier Keller. Complete dusting💪🏻Hard to vacuum tho, due to obstruction of work channel☝🏻➡️Would you perform CT scan for check of possible fragments?If so, when?🧐#endourology

Michael Chaloupka (@m_chaloupka) 's Twitter Profile Photo

Best wishes from the headquarter of the urologic „Winterforum Großhadern“ ❄️ Bringing you the best of Urology since 2005. This year completely digital, but working perfectly smooth 🙏🏻 now live online Maria Apfelbeck, expert on MRI n Focal Tx. Join in!

Best wishes from the headquarter of the urologic „Winterforum Großhadern“ ❄️ Bringing you the best of Urology since 2005. This year completely digital, but working perfectly smooth 🙏🏻 now live online <a href="/ApfelbeckMaria/">Maria Apfelbeck</a>, expert on MRI n Focal Tx. Join in!
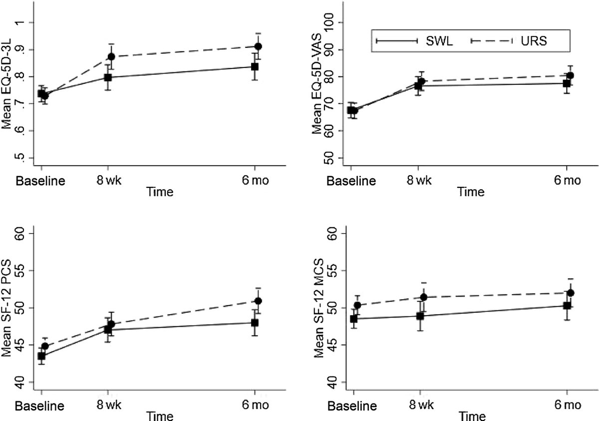
European Urology (@euplatinum) 's Twitter Profile Photo

Shockwave Lithotripsy Versus Ureteroscopic Treatment as Therapeutic Interventions for Stones of the Ureter (TISU): A Multicentre Randomised Controlled Non-inferiority Trial buff.ly/2PH7VG2 @McclintonSam James N'Dow

Shockwave Lithotripsy Versus Ureteroscopic Treatment as Therapeutic Interventions for Stones of the Ureter (TISU): A Multicentre Randomised Controlled Non-inferiority Trial
buff.ly/2PH7VG2
@McclintonSam <a href="/NDowJames/">James N'Dow</a>
BJU International (@bjuijournal) 's Twitter Profile Photo

As party season gets into full swing, please be careful this Christmas! #PenileFracture bjui-journals.onlinelibrary.wiley.com/doi/10.1111/bj…

As party season gets into full swing, please be careful this Christmas!

#PenileFracture

bjui-journals.onlinelibrary.wiley.com/doi/10.1111/bj…
BJU International (@bjuijournal) 's Twitter Profile Photo

Online now: Added value of randomised biopsy to multiparametric MRI-targeted biopsy of the prostate in a contemporary cohort Michael Chaloupka Nikolaos (Nikos) Pyrgidis Maria Apfelbeck #OpenAccess #ProstateCancer doi.org/10.1111/bju.16…

Online now: Added value of randomised biopsy to  multiparametric MRI-targeted biopsy of the prostate in a contemporary cohort
<a href="/m_chaloupka/">Michael Chaloupka</a> <a href="/pyrgidis/">Nikolaos (Nikos) Pyrgidis</a> <a href="/ApfelbeckMaria/">Maria Apfelbeck</a> 
#OpenAccess #ProstateCancer 

doi.org/10.1111/bju.16…
Eur Urol Focus (@eururolfocus) 's Twitter Profile Photo

Evolution of robotic urology in Germany: 🖥️ 150,432 robot-assisted vs 733,416 open surgeries 📉less ICU admissions, transfusions, and length of hospital stay 📊increasing uptake across all procedures Universität München Nikolaos (Nikos) Pyrgidis geraldschulz doi.org/10.1016/j.euf.…