Isabel Alonso Ledesma (@isabelalonso28) 's Twitter Profile
Isabel Alonso Ledesma

@isabelalonso28

Dietista-Nutricionista+ Tecnico Laboratorio diagnostico Clinico, a por nuevos retos

ID: 459570180

calendar_today09-01-2012 20:30:58

10,10K Tweet

486 Takipçi

1,1K Takip Edilen

Transportes e Infraestructura▪️Comunidad de Madrid (@transportes_cm) 's Twitter Profile Photo

🚇 “El sur siempre ha sido una prioridad para la Comunidad de Madrid. MetroSur ya cuenta con una nueva conexión en El Casar (Getafe) y la ampliación sur de la L11 de Metro de Madrid unirá Leganés con Cuatro Vientos”. ➡️ El consejero Jorge Rodrigo Dominguez, desde la Asamblea de Madrid.

Isabel Alonso Ledesma (@isabelalonso28) 's Twitter Profile Photo

X eso no se aumenta frecuencia linea bus 511 Alcorcón- Madrid y tenemos frecuencias de 20 min, xq nos quieren tanto y se acuerdan tanto q ha empeorado todavía más desde las obras A5. x cierto no hay conexión de la Fortuna con Leganés central Transición Ecológica, Movilidad y Medio Ambiente @Transpor

Gorka Orive (@gorka_orive) 's Twitter Profile Photo

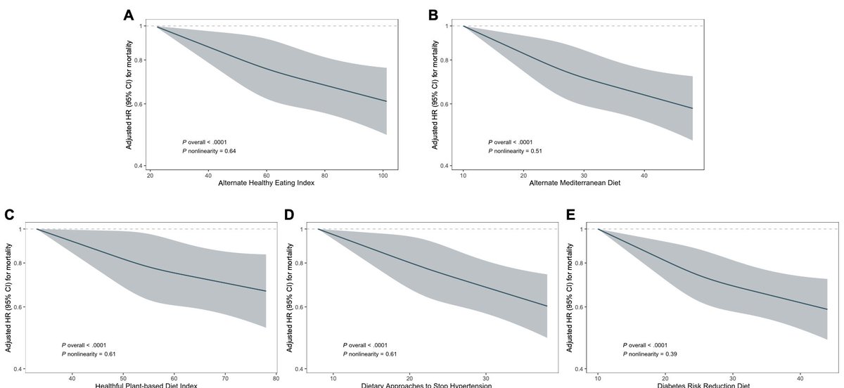
Una dieta saludable (es especial una dieta modificada Mediterránea para mujeres y de reducción de diabetes para hombres) se asocia con menor probabilidad de muerte y mayor expectativa de vida (1,9 a 3 años en hombres de 45 años y 1,5 a 2,3 en mujeres). science.org/doi/epdf/10.11…

Una dieta saludable (es especial una dieta modificada Mediterránea para mujeres y de reducción de diabetes para hombres) se asocia con menor probabilidad de muerte y mayor expectativa de vida (1,9 a 3 años en hombres de 45 años y 1,5 a 2,3 en mujeres).
science.org/doi/epdf/10.11…
Isabel Alonso Ledesma (@isabelalonso28) 's Twitter Profile Photo

Desde las diferentes entes públicos podrían reunirse y hacer plan refuerzo tte real, desde suroeste Alcorcón, tenemos Cercanías Madrid con frecuencia paso 20 min, buses q dejan C.Vientos x obra A5 Transportes e Infraestructura▪️Comunidad de Madrid.

EL PAÍS (@el_pais) 's Twitter Profile Photo

Joaquín Reyes, Ernesto Sevilla y Carlos Areces revolucionaron el humor español con ‘La hora chanante’ y ‘Muchachada Nui’. Ahora vuelven para dirigir y protagonizar una serie creada por Aníbal Gómez: "Es una vuelta a la chorrada directa” elpais.com/eps/2026-02-14…

A vivir (@avivir) 's Twitter Profile Photo

"Cuando entro a clase guardan los chrome books y sacan un boli y un papel", Carlos Javier González (Carlos Javier González Serrano) sobre cómo fomentar la escritura a mano en las aulas.

A vivir (@avivir) 's Twitter Profile Photo

"Todo se ha politizado tanto que vamos todos a una o los incentivos de los que quieren a hacer algo son insignificantes", Pere Estupinyà explica la realidad ingobernable de las iniciativas relacionadas con el cambio climático que se encuentra con los negacionistas en frente.

Alberto Garzón🔻 (@agarzon) 's Twitter Profile Photo

Queda claro que no es una cuestión de falta de evidencia ni de apoyo social, sino de voluntad política por parte del PSOE. La ciencia respalda la medida y el 80% de la población quiere prohibir la publicidad de comida no saludable dirigida a menores. publico.es/sociedad/80-po…

SER Madrid Oeste (@ser_madridoeste) 's Twitter Profile Photo

Vecinos del PAU-4 de Móstoles cargan contra la Comunidad por aplazar la ampliación de la Línea 10 y por el caos en la A-5 cadenaser.com/cmadrid/2026/0… a través de SER Madrid Oeste

CSIC Divulga (@csicdivulga) 's Twitter Profile Photo

🍰 Puede que hayas escuchado que los alimentos caseros son siempre más sanos que los comerciales o industriales. Jara Pérez, investigadora del ICTAN-CSIC, explica qué debemos tener en cuenta al elegir un alimento, en este vídeo de #Cazabulos cc CSIC Big Van Ciencia

Isabel Alonso Ledesma (@isabelalonso28) 's Twitter Profile Photo

Q es un caos el Tte público en todo el corredor de la A5 es una realidad q la sufrimos los q usamos a diario ya sea bus, metro y cercanías, xro desde las distintas concejalías, ayto NO Quieren ver Consorcio Regional de Transportes de Madrid Transportes e Infraestructura▪️Comunidad de Madrid xq no lo usan

Óscar H. 🎯🧐 (@ciudadano_o2) 's Twitter Profile Photo

Entre enero de 2019 y enero de 2026 - La población asignada al SERMAS ha crecido un 7% - La entrada en lista de espera para primera consulta (por habitante) ha crecido un 37% - Y la demora promedio ha crecido un 59% Ejemplo de MALA PLANIFICACIÓN y MALA GESTIÓN sanitaria

Hora 25 (@hora25) 's Twitter Profile Photo

🗣️ Emilio Delgado: "Cuando ves repetirse el mismo patrón en todos los servicios públicos, te das cuenta de que es sistemático. Están vendiendo Madrid con la gente dentro" "Esto no es un Madrid para madrileños, es un Madrid para ricos" 👉 youtube.com/watch?v=eqnUW1…