Hans Juergen Boehmer (@hjboehmer) 's Twitter Profile
Hans Juergen Boehmer

@hjboehmer

vegetation ecologist, forests & grasslands, prof @UniHannover, editor @ESR_IR, South Pacific coordinator @Tree_Mortality, deputy @iufro WP 4.02.01

ID: 1349653153365553152

linkhttps://hans-juergen-boehmer.com/ calendar_today14-01-2021 09:43:02

157 Tweet

153 Takipçi

151 Takip Edilen

Martin Dovciak🌱🌻🌳 (@dovciaklab) 's Twitter Profile Photo

🔔New paper❗️ Treelines in the U.S. Northeast shifted upslope by 3 m/decade on average w/climate warming. Treeline form, topography, & mesoclimate affected the magnitude of the shift! Kudos to @JordonTourville for this PhD work SUNY ESF w/Appalachian Mtn Club! onlinelibrary.wiley.com/doi/abs/10.111…

🔔New paper❗️ Treelines in the U.S. Northeast shifted upslope by 3 m/decade on average w/climate warming. Treeline form, topography, &amp; mesoclimate affected the magnitude of the shift! Kudos to @JordonTourville for this PhD work <a href="/sunyesf/">SUNY ESF</a> w/<a href="/AppMtnClub/">Appalachian Mtn Club</a>!

onlinelibrary.wiley.com/doi/abs/10.111…
Justine Karst (@karst_justine) 's Twitter Profile Photo

This article was a lot to take in. I needed a few days to reflect. 1/9 The ‘Mother Tree’ idea is everywhere — but how much of it is real? nature.com/articles/d4158…

Peter Holmgren (@pholmgren) 's Twitter Profile Photo

Plowing (sic) taxpayers money into colonial-style feelgood but ineffective schemes to reduce #deforestation is a long-standing addiction of European politicians. Millions of smallholders around the world have to pay even more for the vanity. Stop #EUDR. reuters.com/sustainability…

IAVS Young Scientists (@iavsyoung) 's Twitter Profile Photo

Professional growth opportunity offered by the IAVS Early Career Supporting (ECS) #Grant The application Procedure is available at: iavs.org/page/CareerSup… 🔴Deadline: 6/06/2024 ⚠️Please note that the IAVS ECS Grant CAN NOT be used to attend the IAVS annual symposium⚠️

Hans Juergen Boehmer (@hjboehmer) 's Twitter Profile Photo

"We’ve got to start embracing slow science, where we value quality over quantity." The state of academic publishing in 3 graphs, 6 trends, and 4 thoughts dynamicecology.wordpress.com/2024/04/29/the… via Dynamic Ecology

Hans Juergen Boehmer (@hjboehmer) 's Twitter Profile Photo

Letter to a young ecologist: "Take time each day to witness something wild." esajournals.onlinelibrary.wiley.com/doi/10.1002/be…

Gunnar Keppel (@gunnarkeppel) 's Twitter Profile Photo

The taxon cycle suggests that today's #invasive species may evolve into tomorrow's #endemic species on #Islands. Find out more and how work with Francis Nge and @Thomas_P_Ibanez suggests that this is less likely on older islands. biodiversityoceania.com/2024/05/22/the…

Milan Chytrý (@milanchytry) 's Twitter Profile Photo

Super interesting discovery and ultimate proof of the existence of the refugia of temperate trees in Central Europe during the Last Glacial Maximum! Quercus, Tilia & Fraxinus leaves were found in the sediments near former hot springs in SE Czechia. science.org/doi/full/10.11…

Super interesting discovery and ultimate proof of the existence of the refugia of temperate trees in Central Europe during the Last Glacial Maximum! Quercus, Tilia &amp; Fraxinus leaves were found in the sediments near former hot springs in SE Czechia.
science.org/doi/full/10.11…
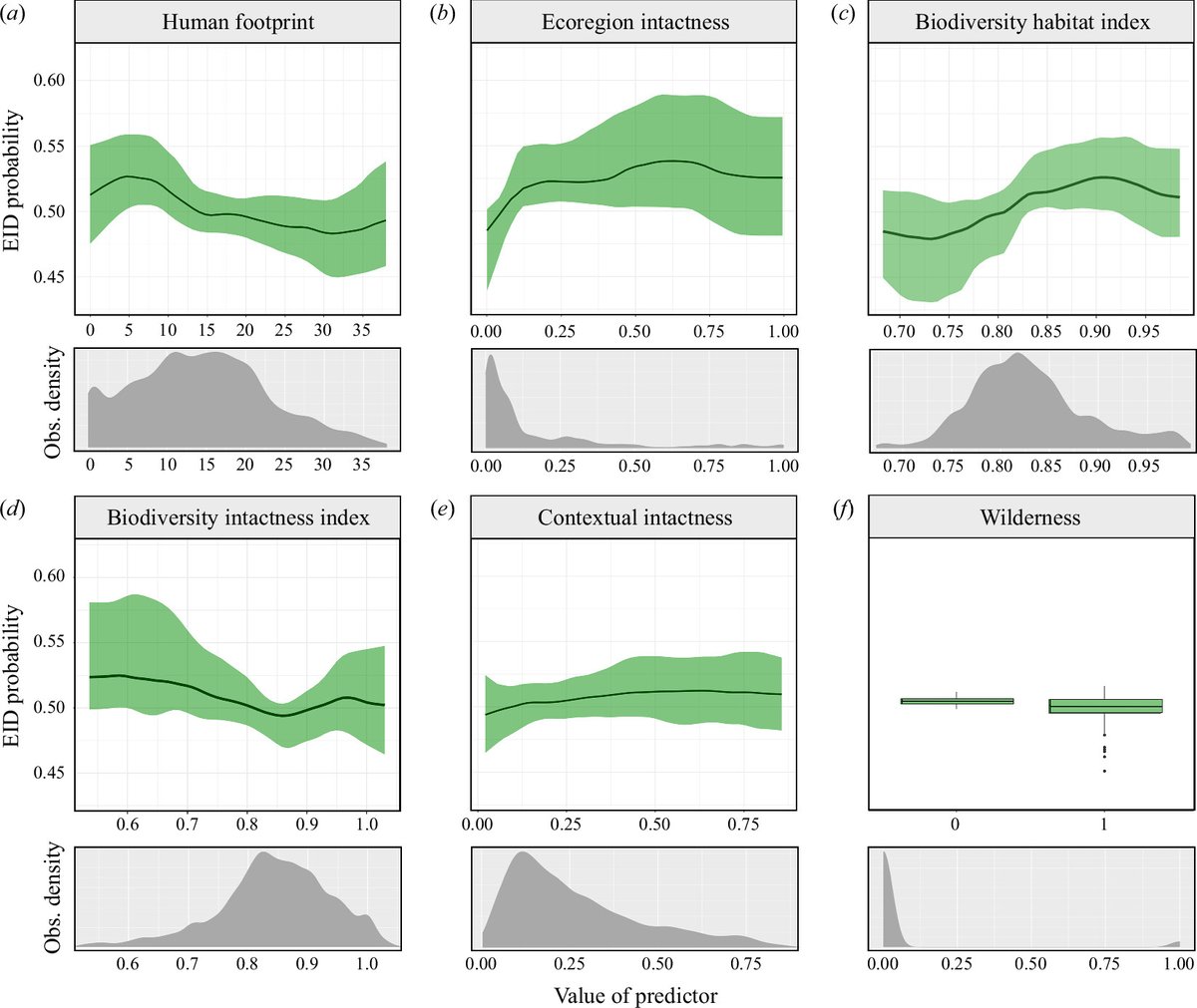
Moreno Di Marco (m-dimarco.bsky.social) (@m_dimarco) 's Twitter Profile Photo

📢Our The Royal Society paper is now out! Early-stage loss of ecological integrity drives the risk of zoonotic disease emergence, by L Marcolin We show that maintaining high #ecologicalintegrity is key to reduce the risk of emergence of zoonotic diseases doi.org/10.1098/rsif.2…

📢Our <a href="/royalsociety/">The Royal Society</a>  paper is now out!

Early-stage loss of ecological integrity drives the risk of zoonotic disease emergence, by L Marcolin

We show that maintaining high #ecologicalintegrity is key to reduce the risk of emergence of zoonotic diseases

doi.org/10.1098/rsif.2…
Katherine Drotos (infrequently checking this acct) (@spiritofcavalia) 's Twitter Profile Photo

Super excited that our (Doug Larson and Troy McMullin) paper on the supposed global dominance of #lichen is out! And yes, there's a story here. academic.oup.com/bioscience/adv…

Milan Chytrý (@milanchytry) 's Twitter Profile Photo

We have just published a detailed description of the content of FloraVeg.EU - an online database of European vegetation, habitat types and flora. This database contains updated official versions of the standard classification of European vegetation, governed by the

We have just published a detailed description of the content of FloraVeg.EU - an online database of European vegetation, habitat types and flora. This database contains updated official versions of the standard classification of European vegetation, governed by the
Fritz Kleinschroth (@fritzkln) 's Twitter Profile Photo

Happy to announce a tenure track senior scientist position for an applied plant ecologist in my new group Planning for Biodiversity and Vegetation Development Leibniz Uni Hannover. Find more details in German here: uni-hannover.de/de/jobs/id/740…

Frontiers - Sustainability (@frontsustain) 's Twitter Profile Photo

"Dynamics of Asia's and Australasia's forests in a changing world" led by Nophea Sasaki, Ling Zhang, John Meadows, Jeong-Wook Seo & Hans Juergen Boehmer has published an Ebook! The Ebook is available for download below & contains all 22 articles and the teams own editorial!

Hanno Seebens (@hannoseebens) 's Twitter Profile Photo

A new #toolkit to support developing and implementing indicators of #biological #invasions to meet target 6 of the #CBD Kunming-Montreal Global Biodiversity Framework. #IAStoolkit #invasivespecies #KMGBF

Henrique Pereira (@hmlfpereira) 's Twitter Profile Photo

I am increasingly convinced we have a reproducibility crisis in Ecology because of the abuse of statistics and its explanatory power, particularly of complex models and analysis that many researchers do not fully understand. This paper should be an alarm call.

I am increasingly convinced we have a reproducibility crisis in Ecology because of the abuse of statistics and its explanatory power, particularly of complex models and analysis that many researchers do not fully understand. This paper should be an alarm call.
Hans Juergen Boehmer (@hjboehmer) 's Twitter Profile Photo

I will keep my profile on Twitter, but will no longer check it. Please follow me on @hjboehmer.bsky.social or Linkedin: linkedin.com/in/hans-juerge…