Historia de la Ciencia y la Tecnología (@histociencia1) 's Twitter Profile
Historia de la Ciencia y la Tecnología

@histociencia1

Pequeñas pastillas donde se combinan lo humanístico y lo científico. Cuenta administrada por @dgrufino.

ID: 1499580636318814235

calendar_today04-03-2022 03:01:18

321 Tweet

310 Takipçi

392 Takip Edilen

Prof. Feynman (@proffeynman) 's Twitter Profile Photo

“The task is not to see what has never been seen before, but to think what has never been thought before about what you see every day.“ -- Erwin Schrödinger (1887 - 1961)

“The task is not to see what has never been seen before, but to think what has never been thought before about what you see every day.“

-- Erwin Schrödinger (1887 - 1961)
Julio (@juliofdez79) 's Twitter Profile Photo

Producidos naturalmente por una amplia gama de especies, incluidos los humanos, fueron descubiertos por primera vez a finales de la década de 1950. En concreto en 1957 suponiendo un pilar básico en el conocimiento de las citocinas. INTERFERÓN

Producidos naturalmente por una amplia gama de especies, incluidos los humanos, fueron descubiertos por primera vez a finales de la década de 1950. En concreto en 1957 suponiendo un pilar básico en el conocimiento de las citocinas.

INTERFERÓN
Past Medical History (@pastmedhistory) 's Twitter Profile Photo

Portrait of the French physician and surgeon Guy de Chaulhac, who wrote a lengthy and influential treatise on surgery in Latin, titled Chirurgia Magna. It was translated into many other languages and widely read by physicians in late medieval Europe. #histmed #histsurg

Portrait of the French physician and surgeon Guy de Chaulhac, who wrote a lengthy and influential treatise on surgery in Latin, titled Chirurgia Magna. It was translated into many other languages and widely read by physicians in late medieval Europe. #histmed #histsurg
Physics In History (@physinhistory) 's Twitter Profile Photo

Voyager 1 is the most distant human-made object in existence, currently more than 15 billion miles (24 billion kilometers) away from Earth. It is also the longest continuously operating spacecraft in history, marking an incredible milestone in space exploration. The spacecraft,

Voyager 1 is the most distant human-made object in existence, currently more than 15 billion miles (24 billion kilometers) away from Earth. It is also the longest continuously operating spacecraft in history, marking an incredible milestone in space exploration. The spacecraft,
The Royal Society (@royalsociety) 's Twitter Profile Photo

#OnThisDay in 1831, the HMS Beagle departs on its second voyage with an unknown young naturalist aboard. The ship will eventually visit the Galapagos Islands where the scientist, Charles Darwin, will begin to formulate his theories on evolution. #HistoryOfScience

#OnThisDay in 1831, the HMS Beagle departs on its second voyage with an unknown young naturalist aboard. The ship will eventually visit the Galapagos Islands where the scientist, Charles Darwin, will begin to formulate his theories on evolution. #HistoryOfScience
Historia de la Ciencia y la Tecnología (@histociencia1) 's Twitter Profile Photo

When I consider the small span of my life absorbed in the eternity of all time, or the small part of space which I can touch or see engulfed by the infinite immensity of spaces that I know not, I'm astonished to see myself here instead of there... now instead of then. (B. Pascal)

History of Science in CESEE (@hpscesee) 's Twitter Profile Photo

We are thrilled to announce the Call for Papers for Scientiae 2025: Annual Conference, which will be held from 16 to 19 September 2025 in Istanbul, Türkiye, hosted by the Department of the History of Science at Istanbul University. For more information: eventedebiyat.istanbul.edu.tr/event/2/overvi…

We are thrilled to announce the Call for Papers for Scientiae 2025: Annual Conference, which will be held from 16 to 19 September 2025 in Istanbul, Türkiye, hosted by the Department of the History of Science at Istanbul University.

For more information: eventedebiyat.istanbul.edu.tr/event/2/overvi…
Past Medical History (@pastmedhistory) 's Twitter Profile Photo

Microscopic anatomy of the adrenal gland from 1918 edition of Gray’s Anatomy by Henry Vandyke Carter #histmed #historyofmedicine #anatomy #physiology #pastmedicalhistory

Microscopic anatomy of the adrenal gland from 1918 edition of Gray’s Anatomy by Henry Vandyke Carter #histmed #historyofmedicine #anatomy #physiology #pastmedicalhistory
Physics In History (@physinhistory) 's Twitter Profile Photo

Nikola Tesla on Einstein's theory of relativity. ✍️ I hold that space cannot be curved, for the simple reason that it can have no properties. It might as well be said that God has properties. He has not, but only attributes and these are of our own making. Of properties we can

Nikola Tesla on Einstein's theory of relativity. ✍️

I hold that space cannot be curved, for the simple reason that it can have no properties. It might as well be said that God has properties. He has not, but only attributes and these are of our own making. Of properties we can
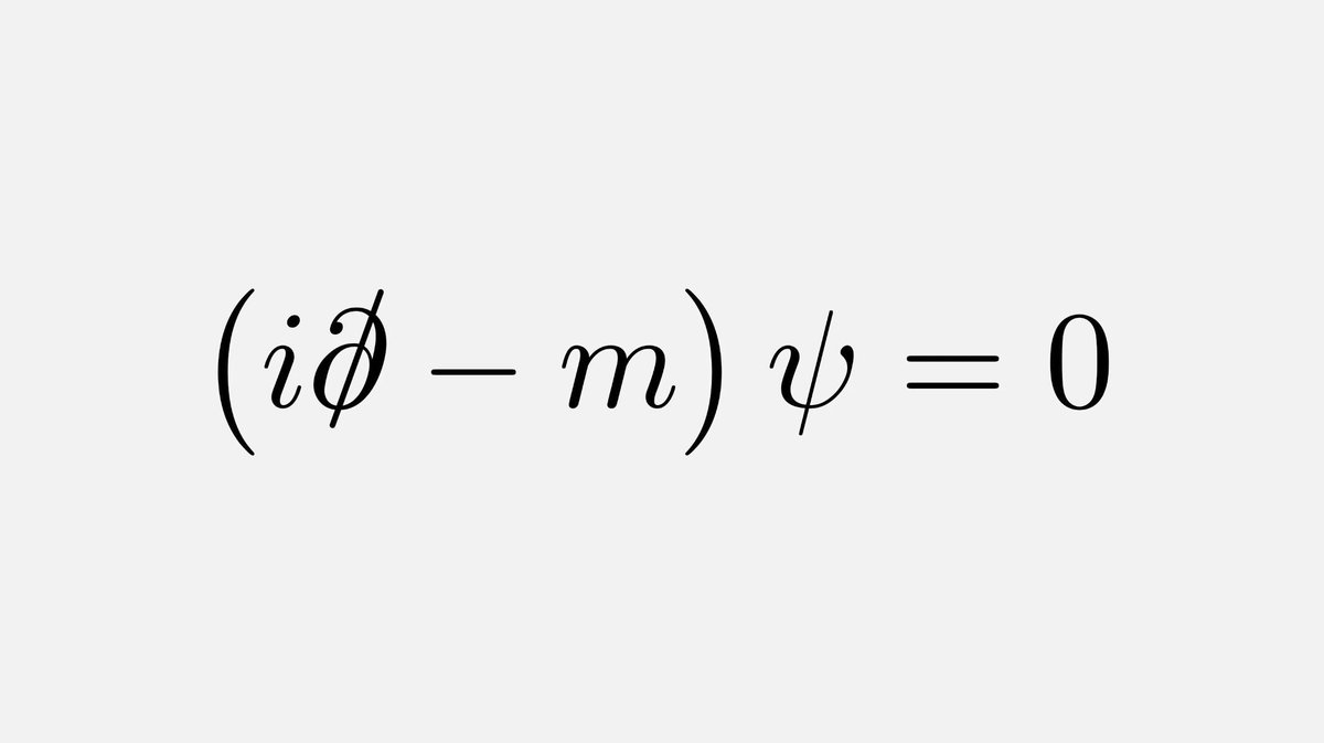
Fermat's Library (@fermatslibrary) 's Twitter Profile Photo

The existence of antimatter was first predicted in 1928. Physicist Paul Dirac developed an equation that combined quantum mechanics and Einstein's special relativity. This simple equation showed something surprising: particles that looked just like electrons but with positive

The existence of antimatter was first predicted in 1928.

Physicist Paul Dirac developed an equation that combined quantum mechanics and Einstein's special relativity. This simple equation showed something surprising: particles that looked just like electrons but with positive
Physics In History (@physinhistory) 's Twitter Profile Photo

In 1905, Einstein published a paper explaining the photoelectric effect using quantized light—essentially laying the groundwork for quantum theory. But he didn’t follow that path further. Instead, it was Max Planck and later Niels Bohr who developed it. Einstein was famously

In 1905, Einstein published a paper explaining the photoelectric effect using quantized light—essentially laying the groundwork for quantum theory. But he didn’t follow that path further. Instead, it was Max Planck and later Niels Bohr who developed it. Einstein was famously