Maria Veiga (@hanveiga) 's Twitter Profile
Maria Veiga

@hanveiga

Assist prof Maths @OhioState. PhD @uzh_science. Views my own. Join my Telegram channel: t.me/slickposting

ID: 1227677558055063555

linkhttps://hanveiga.com calendar_today12-02-2020 19:35:20

38 Tweet

72 Takipçi

162 Takip Edilen

The Fields Institute (@fieldsinstitute) 's Twitter Profile Photo

"Some mathematicians have a talent for drawing beautiful diagrams by hand, but they vanish as soon as the chalkboard is erased. We want to make this expressive power available to anyone." #mathematics #mathisbeautiful bit.ly/2Boc2Q4

Rich Davis, PhD, D(ABMM), MLS🧫🦠 (@richdavisphd) 's Twitter Profile Photo

What does a mask do? Blocks respiratory droplets coming from your mouth and throat. Two simple demos: First, I sneezed, sang, talked & coughed toward an agar culture plate with or without a mask. Bacteria colonies show where droplets landed. A mask blocks virtually all of them.

What does a mask do? Blocks respiratory droplets coming from your mouth and throat.

Two simple demos:

First, I sneezed, sang, talked & coughed toward an agar culture plate with or without a mask. Bacteria colonies show where droplets landed. A mask blocks virtually all of them.
Maria Veiga (@hanveiga) 's Twitter Profile Photo

youtube.com/watch?v=DE3402… "An artificial neural network making predictions on live webcam input, trying to make sense of what it sees, in context of what it’s seen before." Super nice work by memo akten

Maria Veiga (@hanveiga) 's Twitter Profile Photo

Our paper on emulating planetary collisions using machine learning techniques has been published! comp-astrophys-cosmol.springeropen.com/articles/10.11… Living Reviews | Computational Astrophysics

Davide Torlo (@accdavlo) 's Twitter Profile Photo

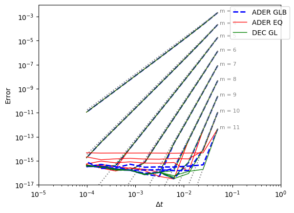
Read our last #research on "ADER and DeC: Similarities, Differences and a Unified Framework" with Maria Veiga on Springer Nature at doi.org/10.1007/s10915… Summary: There are many numerical solvers to approximate physical, chemical and biological time dependent problems. 1/5

Read our last #research on "ADER and DeC: Similarities, Differences and a Unified Framework" with <a href="/hanveiga/">Maria Veiga</a> on <a href="/SpringerNature/">Springer Nature</a> at doi.org/10.1007/s10915… 

Summary: There are many numerical solvers to approximate physical, chemical and biological time dependent problems.
1/5
Davide Torlo (@accdavlo) 's Twitter Profile Photo

DeC and ADER are numerical methods widely used in the hyperbolic partial differential equations community. They are arbitrarily high order accurate methods. This means that they can achieve better accuracy with smaller computational cost with respect to low order methods. 2/5

DeC and ADER are numerical methods widely used in the hyperbolic partial differential equations community. They are arbitrarily high order accurate methods.
This means that they can achieve better accuracy with smaller computational cost with respect to low order methods.
2/5
Davide Torlo (@accdavlo) 's Twitter Profile Photo

In this work, we find out that the two methods are very similar and that each of them can be rewritten into the framework of the other one. Hence, the DeC convergence theorem can be used also on the ADER method to effectively use the necessary number of iterations. 3/5

In this work, we find out that the two methods are very similar and that each of them can be rewritten into the framework of the other one.

Hence, the DeC convergence theorem can be used also on the ADER method to effectively use the necessary number of iterations.
3/5
Davide Torlo (@accdavlo) 's Twitter Profile Photo

Finally, we study their properties as time integration methods, assessing stability, accuracy and ability in dealing with stiff terms in their implicit versions. 4/5

Finally, we study their properties as time integration methods, assessing stability, accuracy and ability in dealing with stiff terms in their implicit versions.
4/5
Davide Torlo (@accdavlo) 's Twitter Profile Photo

If you are interested in something new with respect to classical Runge-Kutta methods, or if you know one between ADER and DeC, you should definitely check our work. doi.org/10.1007/s10915… 5/5

If you are interested in something new with respect to classical Runge-Kutta methods, or if you know one between ADER and DeC, you should definitely check our work. doi.org/10.1007/s10915…

5/5
Maria Veiga (@hanveiga) 's Twitter Profile Photo

Public Our new paper "An arbitrary high-order Spectral Difference method for the induction equation" by David Velasco, Quentin Wenger, Romain Teyssier and myself is available here: authors.elsevier.com/a/1c-xb508Hokxr if you want to check it out. ;) @ElsevierPhysics Elsevier News

Célia Belin (@celiabelin) 's Twitter Profile Photo

Glad to share my story in the ⁦The Washington Post⁩ on the travel ban that once made sense. Now it’s only causing hardship. To us, to so many. My story is banal but many are in pain. Time to fix the non-immigrant visa situation, Secretary Antony Blinken⁩ washingtonpost.com/outlook/2021/0…

rm (@sprainhill) 's Twitter Profile Photo

With inflation at 7.5%, you lose half your money in 9 years. The only way to outperform that consistently, that I have found, is crypto. Just this year I’ve already lost half my money.

Maria Veiga (@hanveiga) 's Twitter Profile Photo

I'm happy to share the lecture notes my collaborator (François Ged) and I have developed, as an undergraduate mathematical introduction to ML: hanveiga.com/ml_lecture_not…