O.S. (@os51388957) 's Twitter Profile
O.S.

@os51388957

Only slightly concerned citizen.
European mortality analyses.

ID: 1359500883822850058

linkhttps://public.tableau.com/app/profile/os8749/vizzes calendar_today10-02-2021 13:54:17

17,17K Tweet

4,4K Followers

172 Following

O.S. (@os51388957) 's Twitter Profile Photo

Drug overdose rates in England by IMD decile. Weaker deciles experiencing higher rates, particularly among 40-50 years of age. This was exacerbated by NPI's. Similar data from the U.S👇, where the problem is deeper & prevalent also in strong regions. x.com/OS51388957/sta…

Drug overdose rates in England by IMD decile. Weaker deciles experiencing higher rates, particularly among 40-50 years of age. This was exacerbated by NPI's. Similar data from the U.S👇, where the problem is deeper & prevalent also in strong regions.
 x.com/OS51388957/sta…
O.S. (@os51388957) 's Twitter Profile Photo

Tool. Weekly Age Standardised Mortality rates for Western European countries. 2015-2024. Select age (15-44, 45-64, 65+, all ages) & country. Click any country on the legend to highlight. *ESP13, 5y bins, 90+, Weekly interpolated populations. 🔗public.tableau.com/app/profile/os…

O.S. (@os51388957) 's Twitter Profile Photo

Map Age standardised Excess Tool UPDATE. Select any week range in 2020-2024 & see standardised excess. 2012-19 baseline for most (specified when hovered- Rates & baseline popup). ESP13, 5y bins (90+), static average pops. Link to tool & sources in reply. 1/3

O.S. (@os51388957) 's Twitter Profile Photo

🔧Tool Life Expectancy losses & gains VS a 2012-19 linear trend projection: By sub-national area, sex & year (2020, 2021, 2022, 2023). public.tableau.com/app/profile/os…

O.S. (@os51388957) 's Twitter Profile Photo

🌡🇪🇸🇮🇹 These charts show weekly deaths by age in Spain & Italy 2000-2019 (Y axes), VS maximum weekly temperatures in Madrid & Rome (as national proxy) respectively. x.com/orwell2022/sta…

🌡🇪🇸🇮🇹
These charts show weekly deaths by age in Spain & Italy 2000-2019 (Y axes), VS maximum weekly temperatures in Madrid & Rome (as national proxy) respectively.
x.com/orwell2022/sta…
O.S. (@os51388957) 's Twitter Profile Photo

🔧Tool. Explore sub-national age standardised mortality rates & excess mortality & for any time frame 2020 - 2024. You can zoom and select to include only areas in which you are interested, to increase colour contrast. Hover area for details. Link in here. x.com/OS51388957/sta…

🔧Tool.
Explore sub-national age standardised mortality rates & excess mortality & for any time frame 2020 - 2024. You can zoom and select to include only areas in which you are interested, to increase colour contrast. Hover area for details. Link in here.
x.com/OS51388957/sta…
O.S. (@os51388957) 's Twitter Profile Photo

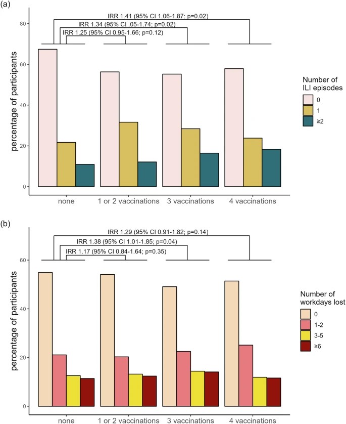
🤔~2k Swiss HCWs🇨🇭: C19 boosters don't contribute to ILI protection in a post-pandemic setting & may even temporarily increase the likelihood of symptomatic infection and workday loss. Sounds bad for buisness. nature.com/articles/s4385…

🤔~2k Swiss HCWs🇨🇭: 
C19 boosters don't contribute to ILI protection in a post-pandemic setting & may even temporarily increase the likelihood of symptomatic infection and workday loss.
Sounds bad for buisness.
nature.com/articles/s4385…
O.S. (@os51388957) 's Twitter Profile Photo

An aassociation found between Covid-19 vaccinations & specific types of cancers (Seoul data). The conclusion seems grounded & reasonable👀 biomarkerres.biomedcentral.com/articles/10.11…

An aassociation found between Covid-19 vaccinations & specific types of cancers (Seoul data). The conclusion seems grounded & reasonable👀
biomarkerres.biomedcentral.com/articles/10.11…
OS (@os513_ghost) 's Twitter Profile Photo

Matt Ridley Public panic/ outrage, coverage & policy all converge & reinforce one another in a perfect storm to obliviously exacerbate outcome. It's true beyond Covid. This is probably the best mini-🧵 about NPIs/mortality observations you'll ever (not) see. x.com/OS51388957/sta…

<a href="/mattwridley/">Matt Ridley</a> Public panic/ outrage, coverage &amp; policy all converge &amp; reinforce one another in a perfect storm to obliviously exacerbate outcome. It's true beyond Covid.
This is probably the best mini-🧵 about NPIs/mortality observations you'll ever (not) see.
x.com/OS51388957/sta…
O.S. (@os51388957) 's Twitter Profile Photo

If you don't know how to read these, or you do, but you've not looked, or concluded that coercive NPI policies were "too little, too late" nonetheless, you have no business chairing a Covid Inquiry. UK Covid-19 Inquiry x.com/OS51388957/sta…

O.S. (@os51388957) 's Twitter Profile Photo

Jay Bhattacharya The answer might be Cardiovascular & external causes, Jay Bhattacharya Martin Kulldorff. It's possible to explore these hand crafted data yourselves through here. x.com/OS51388957/sta… 1/2

<a href="/DrJBhattacharya/">Jay Bhattacharya</a> The answer might be Cardiovascular &amp; external causes, <a href="/DrJBhattacharya/">Jay Bhattacharya</a> <a href="/MartinKulldorff/">Martin Kulldorff</a>.
It's possible to explore these hand crafted data yourselves through here.
x.com/OS51388957/sta…
1/2