Diseases of the Esophagus Journal (@dotesophagus) 's Twitter Profile
Diseases of the Esophagus Journal

@dotesophagus

Official journal of the International Society for Diseases of the Esophagus @ISDE_net - a multidisciplinary journal focussed on esophageal disease

ID: 1436111647093964802

linkhttps://academic.oup.com/dote calendar_today09-09-2021 23:38:22

763 Tweet

1,1K Followers

2,2K Following

Diseases of the Esophagus Journal (@dotesophagus) 's Twitter Profile Photo

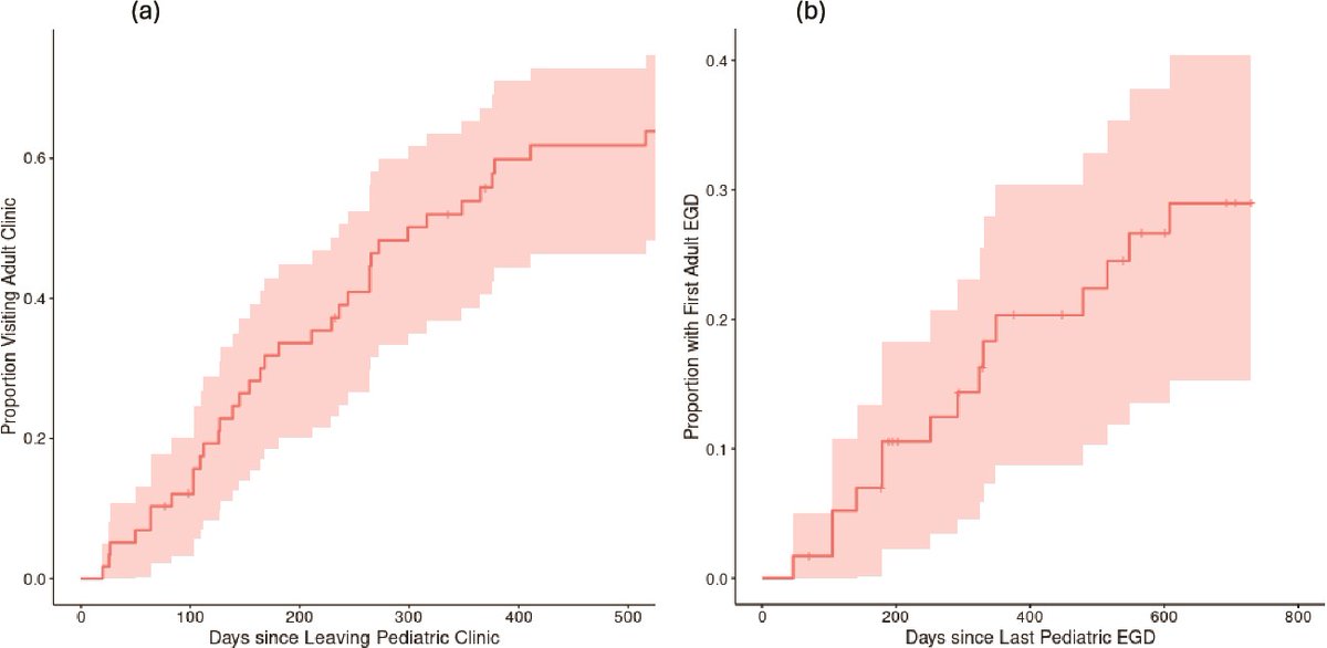
What is the effect of care transitions between paediatric and adult services for patients with eosinophilic esophagitis? Check out this recent paper in DOTE which addresses this important question. #EoE #EosinophilicEsophagitis ow.ly/k3eN50Vr3iI

What is the effect of care transitions between paediatric and adult services for patients with eosinophilic esophagitis? Check out this recent paper in DOTE which addresses this important question. #EoE #EosinophilicEsophagitis
ow.ly/k3eN50Vr3iI
Diseases of the Esophagus Journal (@dotesophagus) 's Twitter Profile Photo

Check out our new collection which delivers the latest in clinical and translational research in the field of eosinophilic esophagitis - find out more here ow.ly/wx4I50Vr3in #EoE #EosinophilicEsophagitis #Gastroenterology

Check out our new collection which delivers the latest in clinical and translational research in the field of eosinophilic esophagitis - find out more here ow.ly/wx4I50Vr3in 
#EoE #EosinophilicEsophagitis #Gastroenterology
Diseases of the Esophagus Journal (@dotesophagus) 's Twitter Profile Photo

#EditorsChoice #OpenAccess What is the impact of vertical depth of tumour on lymph node metastases among patients with T1b esophageal cancer? Is there a threshold depth that predicts the presence of nodal disease? academic.oup.com/dote/article/3…

#EditorsChoice  #OpenAccess  What is the impact of vertical depth of tumour on lymph node metastases among patients with T1b esophageal cancer? Is there a threshold depth that predicts the presence of nodal disease?
academic.oup.com/dote/article/3…
Diseases of the Esophagus Journal (@dotesophagus) 's Twitter Profile Photo

Does body mass index impact outcomes after paraoesophageal hernia repair? Check out this paper from Drs Han and Low evaluating this question - now available open access in Diseases of the Esopghagus. #OpenAccess #SoMe4Surgery ow.ly/MeO250Vr3mR

Diseases of the Esophagus Journal (@dotesophagus) 's Twitter Profile Photo

Important data - in this nationwide study from Sweden, MDT discussion was independently associated with improved survival for people with esophageal cancer. #EsophagealCancer ow.ly/qzzu50Vr3rx

Important data - in this nationwide study from Sweden, MDT discussion was independently associated with improved survival for people with esophageal cancer. 
#EsophagealCancer 
ow.ly/qzzu50Vr3rx
ISDE.net (@isde_net) 's Twitter Profile Photo

Had a blast with #ISDE members at #DDW2025 in San Diego! 🎥 Join us next at the ISDE World Congress in Brisbane 🇦🇺 🗓️ Sept 18–20, 2025 🌍 Global voices. One mission: advancing esophageal care. 👉 isde-congress.net #ISDE2025 #MedTwitter #Gastro #Surgery

David S Liu. PhD, FRACS (@drdavidsliu) 's Twitter Profile Photo

Abstracts submissions are open for the AANZGOSA ASM, 17 Sept Brisbane, just before ⁦ISDE.net⁩ congress. Don’t miss this opportunity to present your findings to a truely international audience! ⁦Lisa Murnane⁩ submit: aanzgosa-asm.com/abstracts/ aanzgosa-asm.com

Diseases of the Esophagus Journal (@dotesophagus) 's Twitter Profile Photo

What is the impact of pre-existing mesh at the hiatus in revisional hiatus hernia repair? Check out this study from Barazanchi and colleagues. #GERD #HiatusHernia academic.oup.com/dote/article/3…

Diseases of the Esophagus Journal (@dotesophagus) 's Twitter Profile Photo

Hot off the press! "International Society for Diseases of the Esophagus consensus on management of the failed fundoplication" #GERD #SoMe4Surgery #ISDE #EsophagealSurgery ow.ly/qWpL50Vr3wj

Hot off the press! 

"International Society for Diseases of the Esophagus consensus on management of the failed fundoplication"

#GERD #SoMe4Surgery #ISDE #EsophagealSurgery

ow.ly/qWpL50Vr3wj
James Tankel (@jamietankel) 's Twitter Profile Photo

This is a really important document, helping to guide surgeons how to manage these challenging cases...maybe it could be followed by a technical paper exploring aspects of redo surgery ?

Edward Lin (@edlinemory) 's Twitter Profile Photo

Credit to Prof Geoff Kohn uppergi.net ISDE.net guidelines committee ✅expert use #delphi methodology ✅Surgeons + Gastroenterologists ✅4+ continents ✅Worked through time difference 🕧of northern and southern hemispheres🌏 SAGES is in Tampa in 2026! SSAT Emory Surgery

Diseases of the Esophagus Journal (@dotesophagus) 's Twitter Profile Photo

What is the optimal length of POEM for achalasia? "Standard length of peroral endoscopic myotomy (POEM) for achalasia: a systematic review and meta-analysis" ow.ly/fmLZ50Vr3x9

Oxford Journals (@oxfordjournals) 's Twitter Profile Photo

.Diseases of the Esophagus Journal, the official journal of ISDE.net, present a special #EosinophilicEsophagitis collection on epidemiology, biomarkers, clinical features & treatments, with Dr. Evan Delon as Guest Editor. Browse the collection: oxford.ly/3SU4bhD

.<a href="/DOTEsophagus/">Diseases of the Esophagus Journal</a>, the official journal of <a href="/ISDE_net/">ISDE.net</a>, present a special #EosinophilicEsophagitis collection on epidemiology, biomarkers, clinical features &amp; treatments, with Dr. Evan Delon as Guest Editor.

Browse the collection: oxford.ly/3SU4bhD
Diseases of the Esophagus Journal (@dotesophagus) 's Twitter Profile Photo

What are the drivers of fear of cancer recurrence among people who have had endoscopic therapy for esophageal cancer? Does symptomatic presentation influence patients' experience of fear of recurrence after treatment? #PatientPerspectives ow.ly/KiC450Vr3za

EndoCollab™ | GI Endoscopy Community (@endocollabcom) 's Twitter Profile Photo

✅ This is smart ! ✅ Vacuum therapy for esophageal perforations through the stomach 👍🏻 Life saving intervention that can be done anywhere in the 🗺️ 📦 Thinking outside the box 👍🏻

✅ This is smart !
✅ Vacuum therapy for esophageal perforations through the stomach
👍🏻 Life saving intervention that can be done anywhere in the 🗺️
📦 Thinking outside the box 👍🏻
Rebecca Fitzgerald Lab (@rfitzgerald_lab) 's Twitter Profile Photo

Just published in The Lancet! We show that the capsule sponge improves Barrett's surveillance, helping prioritize high-risk patients for endoscopy & offering a more efficient, patient-friendly approach for low-risk individuals. thelancet.com/journals/lance… #GITwitter #Earlydetection