Waqas Khokhar (@waqasahmad3000) 's Twitter Profile
Waqas Khokhar

@waqasahmad3000

ID: 1896291466772881408

calendar_today02-03-2025 20:09:34

14,14K Tweet

221 Takipçi

1,1K Takip Edilen

𝑫𝒓. 𝑺𝒂𝒅𝒊𝒂 🇵🇰 (@drsadiain) 's Twitter Profile Photo

ناپاک فوج کا سب سے بڑا ہتھیار ہے ہمارا خوف، اسی لیے خان صاحب بار بار ہمیں کہتے ہیں کہ اپنے خوف کے بت توڑ دو۔ جس دن ہم نے اپنے خوف کے بت توڑ دیے اس دن یہ ظالم نظام ہمارے آگے گھٹنے ٹیک دے گا۔ کشمیر کی عوام نے اپنے خوف کے بت توڑے ہوئے ہیں اور بہت جلد وہ اس نظام کو گھٹنوں پر لے آئیں

Waqas Khokhar (@waqasahmad3000) 's Twitter Profile Photo

*شکل سے نہیں گفتگو سن کر اندازہ ہوتا ہے کہ*🗣️ *کچھ لوگوں کو گفتگو کے آداب سیکھنے کی کتنی ضرورت ہے* ✨

*شکل سے نہیں گفتگو سن کر اندازہ ہوتا ہے کہ*🗣️
*کچھ لوگوں کو گفتگو کے آداب سیکھنے کی کتنی ضرورت ہے* ✨
Waqas Khokhar (@waqasahmad3000) 's Twitter Profile Photo

وَمَا الْحَيَاةُ الدُّنْيَا إِلَّا مَتَاعُ الْغُرُورِ اور دنیا کی زندگی تو محض دھوکے کا سامان ہے ؟ بے شک

Eshaal honey PTI (@honey_eshaal) 's Twitter Profile Photo

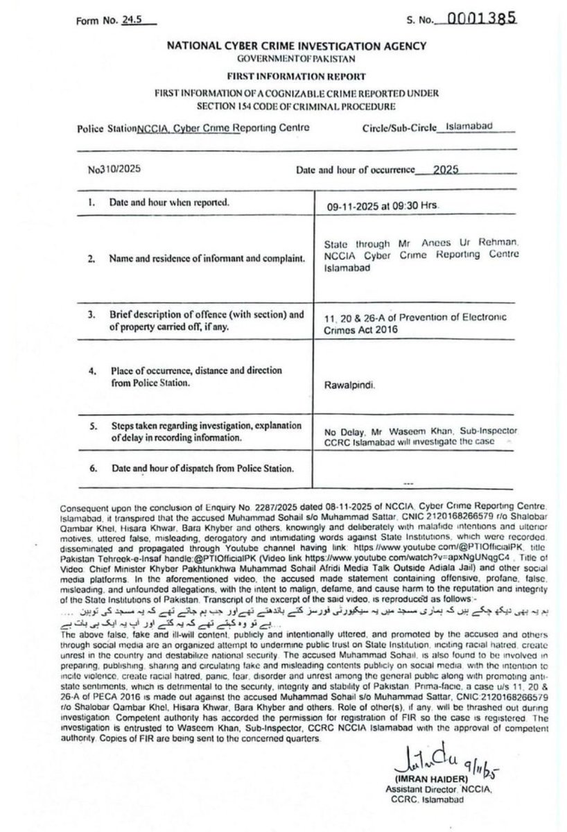
یہ اپنا قبلہ درست نہیں کریں گے عوام کے منتخب نمائندے پر FIR درج کی گئی ، کیونکہ Sohail Afridi مان نہیں رہا ،بوٹ پالش نہیں کرتا اس لئے یہ عوام کے سامنے سچ رکھے تو اس پر مقدمے درج کرو اور پروپیگنڈا کرو تا کہ ہم اس کو خاموش کروایں یا قید کر دیں ۔۔۔ شرمناک

یہ اپنا قبلہ درست نہیں کریں گے 

عوام کے منتخب نمائندے پر FIR درج کی گئی ، کیونکہ <a href="/SohailAfridiISF/">Sohail Afridi</a>  مان نہیں رہا ،بوٹ پالش نہیں کرتا اس لئے یہ عوام کے سامنے سچ رکھے تو اس پر مقدمے درج کرو اور پروپیگنڈا کرو تا کہ ہم اس کو خاموش کروایں یا قید کر دیں ۔۔۔ شرمناک
پینڈو کڑی (@nazia_ai) 's Twitter Profile Photo

"ہم عارضی نہیں، مستقل روشنی ہیں، جو مشکلات اور اندھیروں میں بھی رہنمائی کرتے ہیں۔" #پینڈو

"ہم عارضی نہیں، مستقل روشنی ہیں، 
جو مشکلات اور اندھیروں میں بھی رہنمائی کرتے ہیں۔"
#پینڈو
Waqas Khokhar (@waqasahmad3000) 's Twitter Profile Photo

*✨ Surah Al Imran, Ayah *78*✨ *✨ آپ کون ہیں؟ فخر سے بتائیں: 🤍🫵* ٱلسَّلَامُ عَلَيْكُمْ وَرَحْمَةُ ٱللّٰهِ وَبَرَكَاتُهُ! 1️⃣ مسلمان ❤️👍 2️⃣ عیسائی 🙏 3️⃣ یہودی 😎 4️⃣ ہندو 🙂 5️⃣ دیگر مذہب 🌍💭

Waqas Khokhar (@waqasahmad3000) 's Twitter Profile Photo

مرد ڈرائیور حضرات توجہ فرمائیں: سڑکوں پر آج کل لڑکیاں اور خواتین سکوٹی چلاتی نظر آتی ہیں۔ کوئی اپنی یونیورسٹی ، کالج تو کوئی کسی کو ڈراپ کرنے جا رہی ہے ، کوئی اپنی والدہ کو ہسپتال لے کر جا رہی ہے تو کوئی گھر کیلئے روزمرہ کا سامان۔۔ ایسے میں سڑک پر دیکھ کر ان کو راستہ دیں

مرد ڈرائیور حضرات توجہ فرمائیں: سڑکوں پر آج کل لڑکیاں اور خواتین  سکوٹی  چلاتی نظر آتی ہیں۔

 کوئی اپنی یونیورسٹی ، کالج تو
کوئی کسی کو ڈراپ کرنے جا رہی ہے ، کوئی اپنی  والدہ کو ہسپتال لے کر جا رہی ہے تو کوئی گھر کیلئے روزمرہ کا سامان۔۔
ایسے میں سڑک پر  دیکھ کر ان کو راستہ دیں
Waqas Khokhar (@waqasahmad3000) 's Twitter Profile Photo

کچھ بچیوں کی ڈرائیونگ زیادہ اچھی نہیں ہوتی ۔ اس لئے ان کو تیزی سے اوور ٹیک سے نہ کریں ان کے ساتھ ریس نہ لگائیں اور ان کو گزر جانے دیں۔۔ ان کے ساتھ عزت سے پیش آئیں، اور ان بہنوں ، بیٹیوں کو تحفظ کا احساس دلائیں ۔ شکریہ

𝑫𝒓. 𝑺𝒂𝒅𝒊𝒂 🇵🇰 (@drsadiain) 's Twitter Profile Photo

آخری فیصلہ سڑکوں پر ہی ہونا ہے اور لازم ہے کہ جلد ہو۔ پاکستان کو بچانا ہے تو سڑکوں پر ہی آنا ہے، اس کے علاوہ اور کوئی دوسرا راستہ نہیں ہے۔

آخری فیصلہ سڑکوں پر ہی ہونا ہے اور لازم ہے کہ جلد ہو۔ 

پاکستان کو بچانا ہے تو سڑکوں پر ہی آنا ہے، اس کے علاوہ اور کوئی دوسرا راستہ نہیں ہے۔