Southampton Paediatric IBD (@soton_pibd) 's Twitter Profile
Southampton Paediatric IBD

@soton_pibd

Southampton Paediatric Inflammatory Bowel Disease Research Group

ID: 908593584475115520

linkhttps://www.southampton.ac.uk/ibdresearch calendar_today15-09-2017 07:29:26

471 Tweet

244 Followers

288 Following

IBDJournal & CC360 (@ibdjournals) 's Twitter Profile Photo

In a meta-analysis of 6715 pts w/ #CD, Dr. Laffin University of Alberta Surgery Department demonstrates, NOD2 risk-allele is associated w/ post-op recurrence in #CD w/ OR 1.64. This study examined all known genetic loci 154 linked to postop recurrence of CD @sivashivi bit.ly/38LMQko

James Ashton (@james__ashton) 's Twitter Profile Photo

Excited to see our UK-wide collaborative paper on #transition services in #IBD published in JPGN Huge thanks to Mark Beattie Rafeeq @DrJennyEpstein and many others BSPGHAN journals.lww.com/jpgn/Abstract/…

Excited to see our UK-wide collaborative paper on #transition services in #IBD published in <a href="/JPGNonline/">JPGN</a> 

Huge thanks to <a href="/RMBeattie50/">Mark Beattie</a> <a href="/rafeeq_rm/">Rafeeq</a> @DrJennyEpstein and many others <a href="/BSPGHAN/">BSPGHAN</a> 

journals.lww.com/jpgn/Abstract/…
James Ashton (@james__ashton) 's Twitter Profile Photo

Delighted to present our #IBD work NIHR Southampton BRC seminar with Imogen Stafford and Guo Cheng on behalf of Mark Beattie and Sarah Ennis Thanks to all those who have contributed and supported University Hospital Southampton 💙 Southampton Medicine, especially all the patients #MachineLearning #personalisedmedicine

Delighted to present our #IBD work <a href="/SouthamptonBRC/">NIHR Southampton BRC</a> seminar with <a href="/ImogenStafford/">Imogen Stafford</a> and Guo Cheng on behalf of <a href="/RMBeattie50/">Mark Beattie</a> and Sarah Ennis

Thanks to all those who have contributed and supported <a href="/UHSFT/">University Hospital Southampton 💙</a> <a href="/UoS_Medicine/">Southampton Medicine</a>, especially all the patients
#MachineLearning #personalisedmedicine
James Ashton (@james__ashton) 's Twitter Profile Photo

Our fantastic nurse specialists Rachel Russell and Jo H are completing the Jurassic coast challenge and raising money for Crohn's & Colitis UK this weekend If you can spare any money -> justgiving.com/team/IBDnurses…

James Ashton (@james__ashton) 's Twitter Profile Photo

Nutritional assessment in #IBD but what is the role of bioelectrical impedance? > In stable patients it does not identify active disease or poor nutrition > Must be aware of overweight individuals = common Thanks to ESPEN Mark Beattie Southampton Children's Hospital authors.elsevier.com/c/1dLId8Yy14~u…

Nutritional assessment in #IBD but what is the role of bioelectrical impedance? 
&gt; In stable patients it does not identify active disease or poor nutrition
&gt; Must be aware of overweight individuals = common
Thanks to <a href="/ESPENorg/">ESPEN</a> <a href="/RMBeattie50/">Mark Beattie</a> <a href="/SotonChildHosp/">Southampton Children's Hospital</a> 
authors.elsevier.com/c/1dLId8Yy14~u…
James Ashton (@james__ashton) 's Twitter Profile Photo

We're looking for patient + public involvement in shaping personalised medicine research in #IBD -What are your priorities for the future of IBD treatment? -What should the focus be? -Do you want to steer the direction of our research? Get in touch Southampton Paediatric IBD with suggestions

We're looking for patient + public involvement in shaping personalised medicine research in #IBD 

-What are your priorities for the future of IBD treatment?
-What should the focus be?
-Do you want to steer the direction of our research?

Get in touch <a href="/Soton_PIBD/">Southampton Paediatric IBD</a> with suggestions
Southampton Paediatric IBD (@soton_pibd) 's Twitter Profile Photo

Get in touch with your thoughts and priorities, what would make research more appealing and how we can make involvement a positive experience Looking for patients/families willing to steer our research strategy over the next 2-5 years. Get in touch Southampton Paediatric IBD Southampton Children's Hospital

James Ashton (@james__ashton) 's Twitter Profile Photo

#ArtificialIntelligence + #MachineLearning + #IBD practicalities + future prospects ->Evidence to date ->What about patient benefit? ->Genomics/Endoscopy/Precision Medicine Wonderful collaboration Johanne Brooks BSG Seb Frontline Gastro fg.bmj.com/content/early/…

#ArtificialIntelligence + #MachineLearning + #IBD practicalities + future prospects

-&gt;Evidence to date
-&gt;What about patient benefit?
-&gt;Genomics/Endoscopy/Precision Medicine

Wonderful collaboration <a href="/johanne_brooks/">Johanne Brooks</a> <a href="/BritSocGastro/">BSG</a> <a href="/ibdseb/">Seb</a> <a href="/FrontGastro_BMJ/">Frontline Gastro</a> 

fg.bmj.com/content/early/…
James Ashton (@james__ashton) 's Twitter Profile Photo

Delighted to see this published IBDJournal & CC360, merging WES + RNAseq -> impact of variants in multiple genes Deleterious variation in the NOD-pathway reduces NFKB-transcription and upregulates alternative inflammatory transcripts in Pediatric #IBD academic.oup.com/ibdjournal/adv…

Delighted to see this published <a href="/IBDJournals/">IBDJournal & CC360</a>, merging WES + RNAseq -&gt; impact of variants in multiple genes

Deleterious variation in the NOD-pathway reduces NFKB-transcription and upregulates alternative inflammatory transcripts in Pediatric #IBD  

academic.oup.com/ibdjournal/adv…
Yoni - יוני (and Rebecca too) (@primary_immune) 's Twitter Profile Photo

Deleterious Genetic Variation Across the NOD Signaling Pathway Is Associated With Reduced NFKB... in Pediatric Inflammatory Bowel Disease academic.oup.com/ibdjournal/adv… #bioinformatics #itrtg #mednews #rstats #IBD #crohns #colitis

Ildiko ☕️ (@ildikome) 's Twitter Profile Photo

Some thought-provoking insights and I really appreciate papers that put 🧩 pieces together and tell a story 💭Hypoimmune / altered inflammatory pathways involved in bacterial clearance and autophagy not new ideas but 🔑 to unpack and get to a ⤵️ 💡“precise molecular diagnosis”

James Ashton (@james__ashton) 's Twitter Profile Photo

Headlines >Variation in NOD2-related genes = hypoimmune transcription in NOD-pathway >Contribution of common + rare variation >Method to cluster patients by molecular subtype >NOD2 = key for Crohn's disease, more than the 3 commonly associated variants Open access IBDJournal & CC360

James Ashton (@james__ashton) 's Twitter Profile Photo

On #WorldIBDDay2022 I would like to thank all of our patients, families + staff for contributing to 10+ years of #paediatric #IBD research There are more patients every year but there are more treatments, and we are closer to personalising management -> Mark Beattie Southampton Paediatric IBD

On #WorldIBDDay2022 I would like to thank all of our patients, families + staff for contributing to 10+ years of #paediatric #IBD research

There are more patients every year but there are more treatments, and we are closer to personalising management -&gt; <a href="/RMBeattie50/">Mark Beattie</a> <a href="/Soton_PIBD/">Southampton Paediatric IBD</a>
James Ashton (@james__ashton) 's Twitter Profile Photo

NOD2 in #crohnsdisease - we know everything right? Wrong! It's unfinished business -> Translational potential -> Role for rare variation -> Really a #monogenic cause of disease? Read our article in JCC Mark Beattie Ellie Seaby Southampton Children's Hospital Southampton Medicine academic.oup.com/ecco-jcc/advan…

NOD2 in #crohnsdisease - we know everything right? Wrong! It's unfinished business 
-&gt; Translational potential
-&gt; Role for rare variation
-&gt; Really a #monogenic cause of disease?

Read our article in JCC <a href="/RMBeattie50/">Mark Beattie</a> <a href="/DrLECB/">Ellie Seaby</a> <a href="/SotonChildHosp/">Southampton Children's Hospital</a> <a href="/UoS_Medicine/">Southampton Medicine</a> 

academic.oup.com/ecco-jcc/advan…
Anjan Dhar (@anjan_dhar6) 's Twitter Profile Photo

A fantastic paper on the role of NOD2 in the pathogenesis of ileal Crohn’s disease and the inflammasome. Enjoyed reading this on a sunny Saturday morning. Thank you. 👇

James Ashton (@james__ashton) 's Twitter Profile Photo

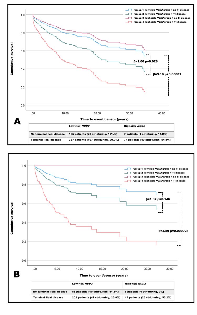
Prediction of Crohn’s Disease Stricturing Phenotype Using a NOD2-derived Genomic Biomarker IBDJournal & CC360 NOD2 = risk stratifies patients at diagnosis -> #Personalisedmedicine based on stricturing risk Mark Beattie Ellie Seaby Southampton Children's Hospital Southampton Medicine academic.oup.com/ibdjournal/adv…

Prediction of Crohn’s Disease Stricturing Phenotype Using a NOD2-derived Genomic Biomarker  <a href="/IBDJournals/">IBDJournal & CC360</a> 

NOD2 = risk stratifies patients at diagnosis -&gt; #Personalisedmedicine based on stricturing risk 

<a href="/RMBeattie50/">Mark Beattie</a> <a href="/DrLECB/">Ellie Seaby</a> <a href="/SotonChildHosp/">Southampton Children's Hospital</a> <a href="/UoS_Medicine/">Southampton Medicine</a> 
academic.oup.com/ibdjournal/adv…
James Ashton (@james__ashton) 's Twitter Profile Photo

Really excited to see this in print. The first of (hopefully many) uses of genomics to predict outcomes in #IBD Translational science funded by @ESPR_EBN

Idan Goren (@ibd_gorenmd) 's Twitter Profile Photo

From association to prediction: NOD2 as a genomic biomarker to predict high-risk stricturing #crohns academic.oup.com/ibdjournal/adv…