Sophia Rein (@reinsoph) 's Twitter Profile
Sophia Rein

@reinsoph

Postdoc @CAUSALab & @HarvardChanSPH | PhD from @UCLGlobalHealth | Statistics, data & causal inference for health.

ID: 771286811004002305

linkhttp://www.linkedin.com/in/sophia-m-rein-phd calendar_today01-09-2016 10:01:20

11 Tweet

113 Takipçi

275 Takip Edilen

eClinicalMedicine – The Lancet Discovery Science (@eclinicalmed) 's Twitter Profile Photo

Research Article: Prospective association of social circumstance, socioeconomic, lifestyle and #mentalhealth factors with subsequent hospitalisation over 6–7 year follow up in people living with #HIV Available #openaccess ⬇️ thelancet.com/journals/eclin…

CAUSALab (@causalab) 's Twitter Profile Photo

More work from the #HepCAUSAL Collaboration at #IWHOD2022. "Re-infection in HIV/HCV co-infected individuals after viral eradication with direct-acting antiviral treatment" by Sophia Rein (Sophia Rein) and Sara Lodi (Sara Lodi ) Building the evidence base for better policy.

More work from the #HepCAUSAL Collaboration at #IWHOD2022.

"Re-infection in HIV/HCV co-infected individuals after viral eradication with direct-acting antiviral treatment"

by Sophia Rein (<a href="/ReinSoph/">Sophia Rein</a>) and Sara Lodi (<a href="/MissLodi/">Sara Lodi</a> )

Building the evidence base for better policy.
CAUSALab (@causalab) 's Twitter Profile Photo

CAUSALab researcher of the week: Sophia Rein’s research is comparative effectiveness & safety of treatments for HIV & Hepatitis C, using large healthcare databases to inform treatment guidelines + methodology combining #machinelearning & #causalinference bit.ly/3VrKqxG

CAUSALab (@causalab) 's Twitter Profile Photo

Busy day for CAUSALab researchers at #IWHOD2023 in Athens. Sophia Rein (Sophia Rein) talked about cardiovascular treatment effects in the #HIVCAUSAL Collaboration. Sara Lodi (Sara Lodi) and Mathieu Chalouni talked about renal and hepatic effects in the #HepCAUSAL Collaboration.

Busy day for <a href="/CAUSALab/">CAUSALab</a> researchers at #IWHOD2023 in Athens.

Sophia Rein (<a href="/ReinSoph/">Sophia Rein</a>) talked about cardiovascular treatment effects in the #HIVCAUSAL Collaboration.

Sara Lodi (<a href="/MissLodi/">Sara Lodi</a>) and Mathieu Chalouni talked about renal and hepatic effects in the #HepCAUSAL Collaboration.
CAUSALab (@causalab) 's Twitter Profile Photo

Week one courses have come to an end 😭 We appreciate our participants of both KTCI and ACA who made this week unforgettable and enriching We also express our gratitude to the instructors and fellows who devoted their time and expertise to creating and teaching these courses 👏

Week one courses have come to an end 😭

We appreciate our participants of both KTCI and ACA who made this week unforgettable and enriching

We also express our gratitude to the instructors and fellows who devoted their time and expertise to creating and teaching these courses 👏
CAUSALab (@causalab) 's Twitter Profile Photo

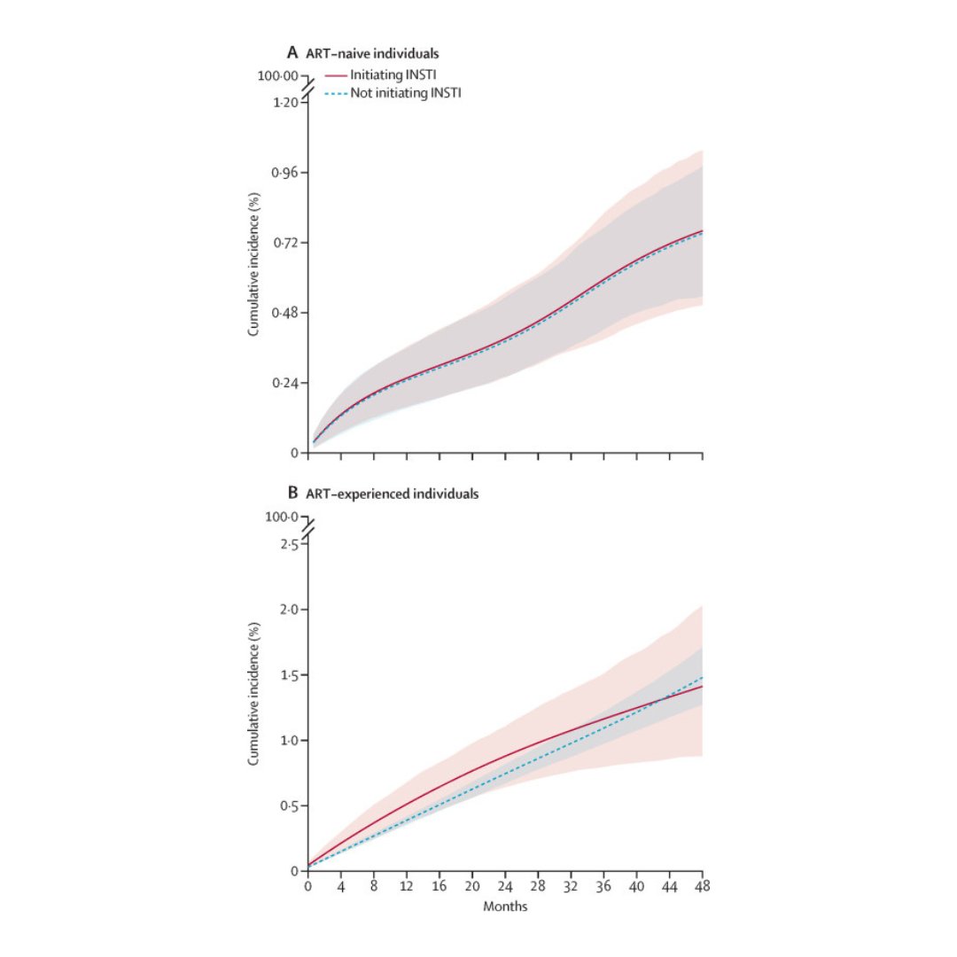
New paper published in The Lancet! "Integrase strand-transfer inhibitor use and cardiovascular events in adults with HIV (...)" Led by CAUSALab's Sophia Rein & funded by @NIAIDFunding & NIAAA News. Learn more👉bit.ly/3pxpSIR.

New paper published in <a href="/TheLancet/">The Lancet</a>!

"Integrase strand-transfer inhibitor use and cardiovascular events in adults with HIV (...)"

Led by <a href="/CAUSALab/">CAUSALab</a>'s <a href="/ReinSoph/">Sophia Rein</a> &amp; funded by @NIAIDFunding &amp; <a href="/NIAAAnews/">NIAAA News</a>. 

Learn more👉bit.ly/3pxpSIR.
CAUSALab (@causalab) 's Twitter Profile Photo

Registration for the highly anticipated #2024CAUSALabcourses is now OPEN! Join us this summer Harvard T.H. Chan School of Public Health or #online. Secure your seat today! Visit our website for more information about enrollment and how to register causalab.sph.harvard.edu/courses/ #causalab #harvardchan

Registration for the highly anticipated #2024CAUSALabcourses is now OPEN!

Join us this summer <a href="/HarvardChanSPH/">Harvard T.H. Chan School of Public Health</a> or #online.

Secure your seat today! Visit our website for more information about enrollment and how to register causalab.sph.harvard.edu/courses/

#causalab #harvardchan
CAUSALab (@causalab) 's Twitter Profile Photo

Postdoc fellows Mathieu Chalouni and @reinsoph presented their work with HIV-CAUSAL and Hep-CAUSAL at IWHOD 2024 in Portugal. Congrats to Sophia for the IWHOD Young Investigator Award! #targettrial #hivresearch #causalinference #bostonresearch #observationaldata #causalab

Postdoc fellows Mathieu Chalouni and @reinsoph presented their work with HIV-CAUSAL and Hep-CAUSAL at IWHOD 2024 in Portugal. 

Congrats to Sophia for the IWHOD Young Investigator Award!

#targettrial #hivresearch #causalinference #bostonresearch #observationaldata #causalab
CAUSALab (@causalab) 's Twitter Profile Photo

Summer course Advanced Confounding Adjustment (ACA) kicked off yesterday! Instructors Joy Shi and Barbra Dickerman delivered the lectures, while curriculum fellow Sophia Rein led both hands-on sessions. Attendees, tag us CAUSALab or use #2024CAUSALabcourses in your posts!

Summer course Advanced Confounding Adjustment (ACA) kicked off yesterday!

Instructors <a href="/joy_shi1/">Joy Shi</a> and <a href="/barbradickerman/">Barbra Dickerman</a> delivered the lectures, while curriculum fellow <a href="/ReinSoph/">Sophia Rein</a> led both hands-on sessions.

Attendees, tag us <a href="/CAUSALab/">CAUSALab</a> or use #2024CAUSALabcourses in your posts!
CAUSALab (@causalab) 's Twitter Profile Photo

Introducing our outstanding #ACA curriculum fellow, Sophia Rein! Sophia has excelled in leading numerous hands-on sessions. As a postdoc in our lab, we are thrilled to have her contributing to this course this year. Learn more about Sophia below ⬇️ #2024CAUSALabcourses

Introducing our outstanding #ACA curriculum fellow, <a href="/ReinSoph/">Sophia Rein</a>! Sophia has excelled in leading numerous hands-on sessions. As a postdoc in our lab, we are thrilled to have her contributing to this course this year.

Learn more about Sophia below ⬇️ #2024CAUSALabcourses
CAUSALab (@causalab) 's Twitter Profile Photo

CAUSALab researcher Sophia Rein has been promoted to Research Associate at Harvard T.H. Chan School of Public Health! Thank you for your hard work, Sophia! #causalab #causalinference #harvardchan #targettrial #confoundingadjustment #publichealth #healthdata #healthresearch #epidemiology

CAUSALab researcher <a href="/ReinSoph/">Sophia Rein</a> has been promoted to Research Associate at <a href="/HarvardChanSPH/">Harvard T.H. Chan School of Public Health</a>!

Thank you for your hard work, Sophia!

#causalab #causalinference #harvardchan #targettrial #confoundingadjustment #publichealth #healthdata #healthresearch #epidemiology