Nazir Charalambous (@nazircharalamb) 's Twitter Profile
Nazir Charalambous

@nazircharalamb

kcl phys,@pati466c 💕💕

ID: 1509944008734396424

calendar_today01-04-2022 17:21:35

66 Tweet

9 Takipçi

75 Takip Edilen

USDescartes (@usdescartes) 's Twitter Profile Photo

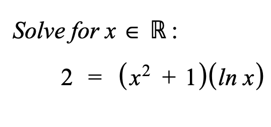
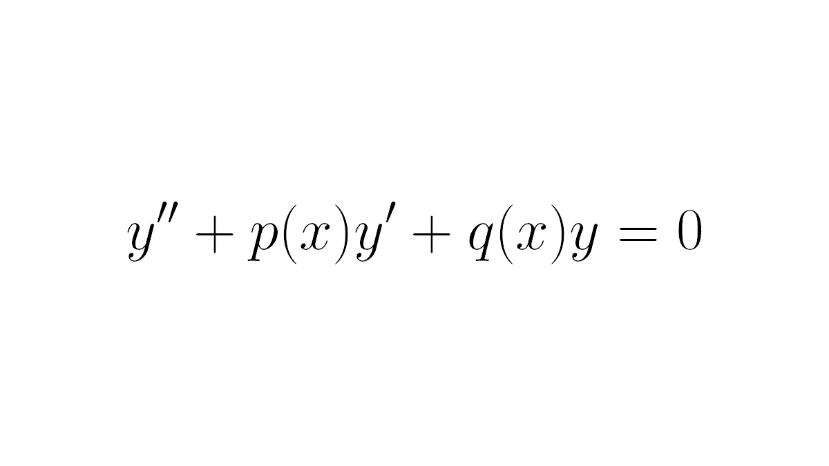
Question for math people: anyone out there know how to solve the following equation type, even "just" for x ∈ ℝ? I do not see yet how to begin. I thought about treating it like an inhomogeneous differential equation, and it's easy enough if the LHS were 0. But when it's 2?

Question for math people: anyone out there know how to solve the following equation type, even "just" for x ∈ ℝ?

I  do not see yet how to begin. I thought about treating it like an inhomogeneous differential equation, and it's easy enough if the LHS were 0. But when it's 2?
Swagat Saurav Mishra (@primeval_arhsim) 's Twitter Profile Photo

I'm deeply saddened by the untimely demise of Prof. Alexei Starobinky (aka Alyosha to friends). A preeminent Cosmologist & one of the deepest thinkers of our times. I had the honour & privilege of being his collaborator and mentee. A thread abt his scientific contributions: 🧵

I'm deeply saddened by the untimely demise of Prof. Alexei Starobinky (aka Alyosha to friends). A preeminent Cosmologist & one of the deepest thinkers of our times. I had the honour & privilege of being his collaborator and mentee. A thread abt his scientific contributions: 🧵
Dr Dan Jones (@hookean1) 's Twitter Profile Photo

Science teachers. If you haven't seen it before, this link contains pretty much all the resources you will ever need. 1000s of files. Thank you to Mr Clayson for collating drive.google.com/drive/folders/…

Science teachers. If you haven't seen it before, this link contains pretty much all the resources you will ever need. 1000s of files. Thank you to Mr Clayson for collating
drive.google.com/drive/folders/…
Algebra Etc. (@algebrafact) 's Twitter Profile Photo

Napoleon’s theorem says to start with any triangle and draw equilateral triangles on each side. Connect the centers of the three new triangles, and you get an equilateral triangle.

Napoleon’s theorem says to start with any triangle and draw equilateral triangles on each side. Connect the centers of the three new triangles, and you get an equilateral triangle.
David Bessis (@davidbessis) 's Twitter Profile Photo

My most ambitious post ever: we've been *wrong* about math for 2300 years and I’m going to *fix this* in a single Twitter thread.

My most ambitious post ever: we've been *wrong* about math for 2300 years and I’m going to *fix this* in a single Twitter thread.
The Figen (@thefigen_) 's Twitter Profile Photo

51 yr old Turkish guy (Dikeç) with no specialized lenses, eye cover or ear protection and got the silver medal. Hand in pocket comfort level! 😂

51 yr old Turkish guy (Dikeç) with no specialized lenses, eye cover or ear protection and got the silver medal.

Hand in pocket comfort level! 😂
Physics In History (@physinhistory) 's Twitter Profile Photo

Niels Bohr on Paul Dirac ✍️ Dirac was the strangest man who ever visited my institute. During one of Dirac’s visits I asked him what he was doing. He replied that he was trying to take the square-root of a matrix, and I thought to myself what a strange thing for such a brilliant

Niels Bohr on Paul Dirac ✍️

Dirac was the strangest man who ever visited my institute. During one of Dirac’s visits I asked him what he was doing. He replied that he was trying to take the square-root of a matrix, and I thought to myself what a strange thing for such a brilliant