Municipalidad de Gorbea (@municipiogorbea) 's Twitter Profile
Municipalidad de Gorbea

@municipiogorbea

Twitter Oficial del Municipio de Gorbea.
Alcalde Andrés Romero Martínez.
Síguenos y enterate de todas nuestras actividades.
#TierraGenerosa

ID: 3353508736

linkhttp://www.municipalidadgorbea.cl calendar_today01-07-2015 17:00:25

3,3K Tweet

1,1K Takipçi

523 Takip Edilen

Gobernación de Cautín (@gobercautin) 's Twitter Profile Photo

#GORBEA📍Gabinete del Agro ✅ La ministra Ministerio de Agricultura de Chile 🇨🇱, María Emilia Undurraga junto a gobernadora Constanza Marchant y el seremi Seremi de Agricultura La Araucanía, Ricardo Senn, encabezaron reunión c/ los Directores Regionales de los Servicios del Agro para dar a conocer los desafíos para el 2021

#GORBEA📍Gabinete del Agro ✅
La ministra <a href="/MinagriCL/">Ministerio de Agricultura de Chile 🇨🇱</a>, María Emilia Undurraga junto a gobernadora Constanza Marchant y el seremi <a href="/MinagriAraucan/">Seremi de Agricultura La Araucanía</a>, Ricardo Senn, encabezaron reunión c/ los Directores Regionales de los Servicios del Agro para dar a conocer los desafíos para el 2021
Gobernación de Cautín (@gobercautin) 's Twitter Profile Photo

#Gorbea📍AGENDA MUJER ✅ AHORA 🟣 En Mesa Mujeres Rurales La Ministra Ministerio de Agricultura de Chile 🇨🇱, M. Emilia Undurraga, la Ministra Ministerio de la Mujer y la Equidad de Género, Mónica Zalaquett S. y la gobernadora Marchant están reunidas c/ las representantes de las 28 mesas comunales de Mujeres Rurales de #LaAraucanía 💪🏻👏🏻👏🏻

#Gorbea📍AGENDA MUJER ✅ 
AHORA 🟣 En Mesa Mujeres Rurales 

La Ministra <a href="/MinagriCL/">Ministerio de Agricultura de Chile 🇨🇱</a>, M. Emilia Undurraga, la Ministra <a href="/MinMujeryEG/">Ministerio de la Mujer y la Equidad de Género</a>, <a href="/monicazalaquett/">Mónica Zalaquett S.</a> y la gobernadora Marchant están reunidas c/ las representantes de las 28 mesas comunales de Mujeres Rurales de #LaAraucanía 💪🏻👏🏻👏🏻
Culturas_Araucania (@culturas_arauc) 's Twitter Profile Photo

Seremis de Culturas_Araucania Enzo Cortesi y de Ministerio de la Mujer y la Equidad de Género, Carolina Lagos, acompañaron a la ministra Mónica Zalaquett S. a conocer la labor de protección y promoción del patrimonio cultural de la Casa Museo de Gorbea, trabajo que encabeza la destacada ceramista Sandra San Martín.

Seremis de <a href="/Culturas_arauc/">Culturas_Araucania</a> <a href="/EnzoCortesi/">Enzo Cortesi</a> y de <a href="/MinMujeryEG/">Ministerio de la Mujer y la Equidad de Género</a>, Carolina Lagos, acompañaron a la ministra <a href="/monicazalaquett/">Mónica Zalaquett S.</a> a conocer la labor de protección y promoción del patrimonio cultural de la Casa Museo de Gorbea, trabajo que encabeza la destacada ceramista Sandra San Martín.
Culturas_Araucania (@culturas_arauc) 's Twitter Profile Photo

El seremi Enzo Cortesi felicitó al equipo, integrado también por el artista visual y escultor Franco Varas, ya que hace unas semanas se adjudicaron un proyecto del Fondo de Mejoramiento de Museos, lo cual les permitirá optimizar el resguardo y la presentación de las colecciones.

El seremi <a href="/EnzoCortesi/">Enzo Cortesi</a> felicitó al equipo, integrado también por el artista visual y escultor Franco Varas, ya que hace unas semanas se adjudicaron un proyecto del Fondo de Mejoramiento de Museos, lo cual les permitirá optimizar el resguardo y la presentación de las colecciones.
Municipalidad de Gorbea (@municipiogorbea) 's Twitter Profile Photo

La oficina de ayudas sociales se encuentra disponible en atencion presencial de lunes a viernes de 09:00 a 14:00 horas, y es obligación asistir con permiso temporal. ☎️452972004 ☎️452972017 ☎️452972045 #gorbeapreviene #gorbeacuarentenatotal

La oficina de ayudas sociales se encuentra disponible en atencion presencial de lunes a viernes de 09:00 a 14:00 horas, y es obligación asistir con permiso temporal.

☎️452972004
☎️452972017
☎️452972045

#gorbeapreviene #gorbeacuarentenatotal
Municipalidad de Gorbea (@municipiogorbea) 's Twitter Profile Photo

Atención Primaria Veterinaria Municipal 🐶🐱 Gorbea informa a la comunidad: Suspende su atención a público por encontrarse la comuna en Cuarentena Total, ante esto se informa que cualquier información deben realizarla de Lunes a Viernes al 452972046 de 09:00 a 17:00 horas.

Atención Primaria Veterinaria Municipal 🐶🐱 Gorbea informa a la comunidad:

Suspende su atención a público por encontrarse la comuna en Cuarentena Total, ante esto se informa que cualquier información deben realizarla de Lunes a Viernes al 452972046 de 09:00 a 17:00 horas.
Municipalidad de Gorbea (@municipiogorbea) 's Twitter Profile Photo

Cancela tu #permisodecirculación 2021 #Gorbea, con opción de cancelar sin intereses y en 2 cuotas, hasta el miércoles 31 de marzo. 👉 Horario de Atención de 09:00 a 14:00 horas, en oficina de tránsito ubicado en Ramon Freire N°590 🚗municipalidadgorbea.cl

Cancela tu #permisodecirculación 2021 #Gorbea, con opción de cancelar sin intereses y en 2 cuotas, hasta el miércoles 31 de marzo.
👉 Horario de Atención de 09:00 a 14:00 horas, en oficina de tránsito ubicado en Ramon Freire N°590

🚗municipalidadgorbea.cl
Municipalidad de Gorbea (@municipiogorbea) 's Twitter Profile Photo

Informamos a la comunidad que desde hoy Lunes 29 de Marzo, por el cambio de fase a cuarentena total, la atención presencial será de 09:00 a 14:00 horas en el edificio consistorial de Gorbea. ⚠ Es Obligación portar su permiso temporal para realizar trámites.

Informamos a la comunidad que desde hoy Lunes 29 de Marzo, por el cambio de fase a cuarentena total, la atención presencial será de 09:00 a 14:00 horas en el edificio consistorial de Gorbea.

⚠ Es Obligación portar su permiso temporal para realizar trámites.
Gobernación de Cautín (@gobercautin) 's Twitter Profile Photo

EN ABRIL EL IFE Y EL BONO COVID SE FORTALECEN 🙌 ✅ El #IFECovid beneficiará a más de 10 millones de personas. ✅ El pago de abril del #BonoCovid será automático para hogares c/ al menos un causante de Subsidio Único Familiar o de SSyOO. Postulaciones: ingresodeemergencia.cl

EN ABRIL EL IFE Y EL BONO COVID SE FORTALECEN 🙌

✅ El #IFECovid beneficiará a más de 10 millones de personas.

✅ El pago de abril del #BonoCovid será automático para hogares c/ al menos un causante de Subsidio Único Familiar o de SSyOO.
Postulaciones: ingresodeemergencia.cl
AChM Asociación Chilena de Municipalidades (@achmchile) 's Twitter Profile Photo

🎂La AChM saluda a la Municipalidad de Municipalidad de Gorbea, a su Alcalde Guido Siegmund, y a su Concejo Municipal, al celebrar hoy un nuevo aniversario comunal. La AChM saluda también a sus funcionarios municipales y a l@s habitantes de #Gorbea #MunicipalidadesdeChile🇨🇱

🎂La AChM saluda a la Municipalidad de <a href="/MunicipioGorbea/">Municipalidad de Gorbea</a>, a su Alcalde Guido Siegmund, y a su Concejo Municipal, al celebrar hoy un nuevo aniversario comunal. La AChM saluda también a sus funcionarios municipales y a l@s habitantes de #Gorbea #MunicipalidadesdeChile🇨🇱
Municipalidad de Gorbea (@municipiogorbea) 's Twitter Profile Photo

INVITACIÓN CUENTA PÚBLICA | Este viernes 30 de Abril, a partir de las 15:30 horas, se transmitirá en vivo por facebook y youtube de la Municipalidad de Gorbea, la Cuenta Pública Gestión Municipal 2020. Sin lugar a dudas, un año complejo pero con grandes desafíos que afrontamos.

INVITACIÓN CUENTA PÚBLICA | Este viernes 30 de Abril, a partir de las 15:30 horas, se transmitirá en vivo por facebook y youtube de la Municipalidad de Gorbea, la Cuenta Pública Gestión Municipal 2020.

Sin lugar a dudas, un año complejo pero con grandes desafíos que afrontamos.
ricardo celis #LaAraucania (@ricardocelis) 's Twitter Profile Photo

Esta tarde me reuní junto al Alcalde de Gorbea Andrés Romero Martínez y el director Servicio Araucania Sur René Lopetegui para seguir trabajando y avanzando en mejoramiento y provisión de infraestructura hospitalaria para la comuna de Gorbea

Esta tarde me reuní junto al Alcalde de Gorbea Andrés Romero Martínez y el director Servicio Araucania  Sur  René Lopetegui para seguir trabajando y avanzando en mejoramiento y provisión de infraestructura hospitalaria para la comuna de Gorbea
Aguas Araucanía (@aguasaraucania) 's Twitter Profile Photo

#Gorbea, nuestro Gerente Regional en reunión con alcalde Andrés Romero Municipalidad de Gorbea y su equipo, abordando temas de interés para la comuna. Acordamos trabajo conjunto con la autoridad en beneficio de los vecinos. Queremos entregarte el mejor servicio. #PorTiPorNuestraCiudad

#Gorbea, nuestro Gerente Regional en reunión con alcalde Andrés Romero <a href="/MunicipioGorbea/">Municipalidad de Gorbea</a> y su equipo,  abordando temas de interés para la comuna. Acordamos trabajo conjunto con la autoridad en beneficio de los vecinos. Queremos entregarte el mejor servicio. #PorTiPorNuestraCiudad
Culturas_Araucania (@culturas_arauc) 's Twitter Profile Photo

✔El Museo Regional de La Araucanía en conjunto con los museos locales de la región han organizado un ciclo de conversaciones entre museos. 📌El jueves 5 de agosto será el turno de la Casa Museo Familia San Martín de Gorbea. 🙌Invitados: Sandra San Martín y Franco Varas.

✔El Museo Regional de La Araucanía en conjunto con los museos locales de la región han organizado un ciclo de conversaciones entre museos.
📌El jueves 5 de agosto será el turno de la Casa Museo Familia San Martín de Gorbea. 🙌Invitados: Sandra San Martín y Franco Varas.
Frontel (@frontel_) 's Twitter Profile Photo

Se informa #CorteDeEnergia en #Pitrufquen, #Gorbea y comunas aledañas debido a incidencia en línea de transmisión 66 kV Temuco - Loncoche N°2, perteneciente a empresa CGE. Más novedades se indicarán por este canal.

Vocería Araucanía (@segegobaraucana) 's Twitter Profile Photo

📌A partir de hoy podrán empezar a vacunarse niñ『S』 con comorbilidades específicas y además se retomará la vacunación de adolescentes de 15 a 17 años 💉 Revisa aquí más detalles del calendario de esta semana 🗓️ y para más info, entra a 📲 gob.cl/yomevacuno

📌A partir de hoy podrán empezar a vacunarse niñ<a href="/s/">『S』</a> con comorbilidades específicas y además se retomará la vacunación de adolescentes de 15 a 17 años 💉 Revisa aquí más detalles del calendario de esta semana 🗓️ y para más info, entra a 📲 gob.cl/yomevacuno
Municipalidad de Gorbea (@municipiogorbea) 's Twitter Profile Photo

🔵 🧠 Porque también es importante en estos tiempos de pandemia cuidar nuestra salud mental, es que compartimos con ustedes este taller educativo sobre su debido cuidado. ✅✅ youtube.com/watch?v=EOpQEG…

Municipalidad de Gorbea (@municipiogorbea) 's Twitter Profile Photo

🟢 🤸‍♂️ Porque también debemos atender correctamente nuestra salud física, compartimos con ustedes el Taller de Actividad Física, Yoga en tiempos de COVID-19 ✅✅ youtube.com/watch?v=z48sZD…

Municipalidad de Gorbea (@municipiogorbea) 's Twitter Profile Photo

🟢 🏋️‍♀️ Porque atender nuestra salud física es muy importante, dejamos con ustedes una rutina de ejercicios que pueden realizar 100% en la comodidad del hogar 💪 ✅✅ youtube.com/watch?v=4wxl6U…

Municipalidad de Gorbea (@municipiogorbea) 's Twitter Profile Photo

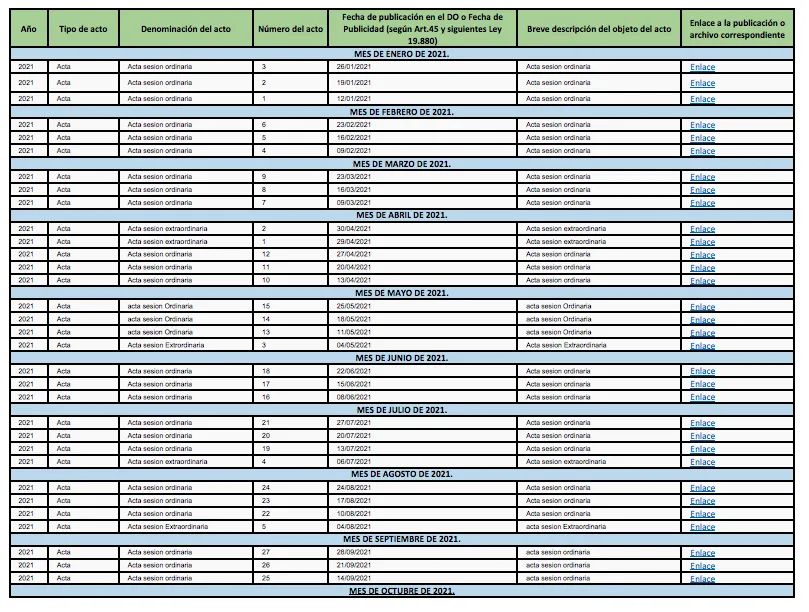
🟢 Porque la transparencia es fundamental en toda gestión, les contamos que ya pueden visitar en nuestro sitio web las Actas del Concejo Municipal 2021 libremente. 📌 Compartimos con ustedes el enlace para acceder a dicha información: municipalidadgorbea.cl/transparencia/…

🟢 Porque la transparencia es fundamental en toda gestión, les contamos que ya pueden visitar en nuestro sitio web las Actas del Concejo Municipal 2021 libremente.

📌 Compartimos con ustedes el enlace para acceder a dicha información: 

municipalidadgorbea.cl/transparencia/…