Iván Ferraz Amaro (@ivanferrazamaro) 's Twitter Profile
Iván Ferraz Amaro

@ivanferrazamaro

Médico Reumatólogo del CHUC. Investigador. Estadístico.

ID: 360871093

linkhttps://orcid.org/0000-0003-0197-5267 calendar_today23-08-2011 22:07:36

360 Tweet

305 Takipçi

350 Takip Edilen

Iván Ferraz Amaro (@ivanferrazamaro) 's Twitter Profile Photo

HDL Cholesterol Efflux and the Complement System Are Linked in Systemic Lupus Erythematosus. pubmed.ncbi.nlm.nih.gov/37629447/ After full multivariable analysis, the alternative C cascade functional test showed a significant and negative relationship with CEC.

Iván Ferraz Amaro (@ivanferrazamaro) 's Twitter Profile Photo

Relationship between Malondialdehyde Serum Levels and Disease Features in a Full Characterized Series of 284 Patients with #‏‎‏ ‏‏ öȷĨᴝІɺĨ‎ ᷂ ❊. pubmed.ncbi.nlm.nih.gov/37627530/ Cumulative musculoskeletal and skin damage in SLE patients is associated with superior serum levels of MDA.

Iván Ferraz Amaro (@ivanferrazamaro) 's Twitter Profile Photo

Relationship of Fibroblast Growth Factor 23 Serum Levels with Disease Characteristics in Systemic Lupus Erythematous Patients. pubmed.ncbi.nlm.nih.gov/37627287/. An association is observed between elevated serum FGF23 levels and disease damage in patients with SLE

Iván Ferraz Amaro (@ivanferrazamaro) 's Twitter Profile Photo

Insulin resistance and metabolic syndrome are positively and independently related to higher serum levels of some serum complement elements in patients with SLE with a predominant role of the alternative pathway elements. pubmed.ncbi.nlm.nih.gov/37706313/ Clinical and Experimental Rheumatology

Iván Ferraz Amaro (@ivanferrazamaro) 's Twitter Profile Photo

Malondialdehyde Serum Levels in a Full Characterized Series of 430 Rheumatoid Arthritis Patients. pubmed.ncbi.nlm.nih.gov/38337595/ The disease characteristics are not related to circulating MDA levels in patients with RA.

Iván Ferraz Amaro (@ivanferrazamaro) 's Twitter Profile Photo

¿Alguien en Prime Video España ha revisado los subtitulos de la película E.L.E.? Errores múltiples, traducciones irrisorias del tipo “lauch missile” traducido como “almorzar misil” 😂😂. ¿No creen que esto desmerece a la plataforma? Además, esta película no está doblada. Ridículo. 😱

Iván Ferraz Amaro (@ivanferrazamaro) 's Twitter Profile Photo

Sex-specific impact of inflammation on traditional cardiovascular risk factors and atherosclerosis in axial spondyl… pubmed.ncbi.nlm.nih.gov/38942590/ RMD Open Conclusion: Inflammation is associated with atherosclerosis and CV disease in axSpA. A gender-driven effect is observed.

Iván Ferraz Amaro (@ivanferrazamaro) 's Twitter Profile Photo

The Relationship between the complement system and subclinical carotid atherosclerosis in patients with rheumatoid … pubmed.ncbi.nlm.nih.gov/38978073/ The complement system and subclinical carotid atherosclerosis are linked in patients with RA.

The Relationship between the complement system and subclinical carotid atherosclerosis in patients with rheumatoid … pubmed.ncbi.nlm.nih.gov/38978073/ The complement system and subclinical carotid atherosclerosis are linked in patients with RA.
Iván Ferraz Amaro (@ivanferrazamaro) 's Twitter Profile Photo

Understanding the role of the complement system in insulin resistance and metabolic syndrome in patients with rheum… pubmed.ncbi.nlm.nih.gov/39089839/ There is a positive correlation between the complement system and metabolic syndrome among non-diabetic patients with RA. The Journal of Rheumatology

Iván Ferraz Amaro (@ivanferrazamaro) 's Twitter Profile Photo

Relationship between the complement system and serum lipid profile in patients with rheumatoid arthritis. pubmed.ncbi.nlm.nih.gov/39072319/ The correlation between the complement system and lipid molecule patterns is pronounced in patients with RA. Frontiers - Immunology

JCM MDPI (@jcm_mdpi) 's Twitter Profile Photo

💥Feature paper sharing: 📔 "Malondialdehyde Serum Levels in a Full Characterized Series of 430 Rheumatoid Arthritis Patients" by Iván Ferraz Amaro et al. 📌mdpi.com/2665932 #mdpijcm #MedTwitter #Dermatology #Rheumatology #Arthritis

💥Feature paper sharing:
📔 "Malondialdehyde Serum Levels in a Full Characterized Series of 430 Rheumatoid Arthritis Patients" by <a href="/IvanFerrazAmaro/">Iván Ferraz Amaro</a> et al.

📌mdpi.com/2665932

#mdpijcm #MedTwitter #Dermatology #Rheumatology #Arthritis
RTVC (@rtvces) 's Twitter Profile Photo

#Tenerife | El vicerrectorado de Personal Docente de la ULL ha anunciado que se gestionarán nuevas plazas ante la falta de profesores en el grado de Medicina #TN1Canarias

Yvelise Barrios PhD MD (@ybpcph) 's Twitter Profile Photo

Última sesión presencial del equipo #InmunoColabora PITE2024 (proyecto innovación y transferencia educativa) de Sección de Medicina ULL de la Universidad de La Laguna Trabajo, esfuerzo,dedicación, ganas y EQUIPO que se han reflejado en esta experiencia Mileidis San Juan Marta Carrillo Iván Ferraz Amaro 🔝🔝🔝🔝

Última sesión presencial del equipo #InmunoColabora PITE2024 (proyecto innovación y transferencia educativa) de <a href="/medicina_ull/">Sección de Medicina ULL</a> de la <a href="/ULL/">Universidad de La Laguna</a> Trabajo, esfuerzo,dedicación, ganas y EQUIPO que se han reflejado en esta experiencia <a href="/MileidisSan/">Mileidis San Juan</a> <a href="/MartaCarri78/">Marta Carrillo</a> <a href="/IvanFerrazAmaro/">Iván Ferraz Amaro</a> 🔝🔝🔝🔝
Marta Carrillo (@martacarri78) 's Twitter Profile Photo

Un placer compartir con Mileidis San Juan en estas jornadas de la SCPD, hablando sobre nuevas formas de aprendizaje y trabajo en equipo. Inmunocolabora!!! Gracias equipo 🤗

Un placer compartir con <a href="/MileidisSan/">Mileidis San Juan</a> en estas jornadas de la SCPD, hablando sobre nuevas formas de aprendizaje y trabajo en equipo. Inmunocolabora!!! Gracias equipo 🤗
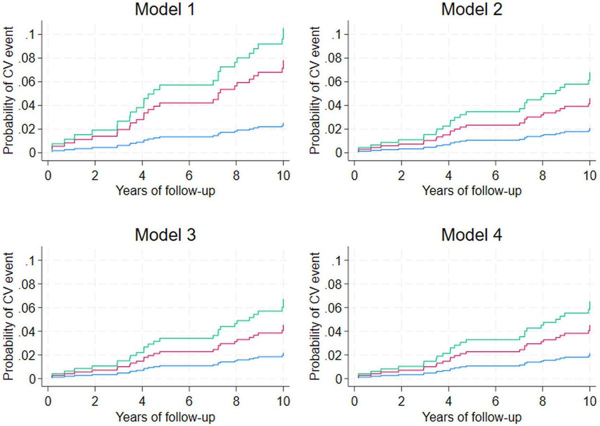
RMD Open (@bmj_rmdopen) 's Twitter Profile Photo

🫀 Metabolic score for insulin resistance (METS-IR) predicts CV risk in #PsA in the 10‐year CARMA cohort. ➡️ PsA patients with a baseline METS-IR > 2.48 showed a higher risk of CV events 🚨 CV events linked to higher METS-IR (2.37 vs 2.26; p=0.01)
 📈 METS-IR >2.48

🫀 Metabolic score for insulin resistance (METS-IR) predicts CV risk in #PsA in the 10‐year CARMA cohort.

➡️ PsA patients with a baseline METS-IR &gt; 2.48 showed a higher risk of CV events

🚨 CV events linked to higher METS-IR (2.37 vs 2.26; p=0.01)


📈 METS-IR &gt;2.48
Iván Ferraz Amaro (@ivanferrazamaro) 's Twitter Profile Photo

QRISK3 and SCORE2 are equally reliable predictors of carotid plaques in patients with systemic lupus erythematosus academic.oup.com/rheumatology/a…

Iván Ferraz Amaro (@ivanferrazamaro) 's Twitter Profile Photo

Ultrasensitive quantification of serum IFN-α and IFN-γ in systemic lupus erythematosus: A cross-sectional observational study. PLOS Medicine. IFN-α significantly associates with inflammation, indices of disease activity and remission, and autoantibodies. journals.plos.org/plosmedicine/a…