Yuanyang (Yang) Liu (@yuanyang_liu) 's Twitter Profile
Yuanyang (Yang) Liu

@yuanyang_liu

Assistant Professor in Business Analytics & Statistics @HaslamUT. Interested in Data Analytics, Labor Markets, and HR Analytics. PhD from @TippieAnalytics

ID: 2613823027

linkhttps://sites.google.com/site/yuanyangliuhome calendar_today09-07-2014 16:07:54

56 Tweet

267 Followers

1,1K Following

Yo-Yo Ma (@yoyo_ma) 's Twitter Profile Photo

This is for the healthcare workers on the frontlines — the Sarabande from Bach’s Cello Suite No. 3. Your ability to balance human connection and scientific truth in service of us all gives me hope. #songsofcomfort

Yuanyang (Yang) Liu (@yuanyang_liu) 's Twitter Profile Photo

East TN Chinese community donates more than $10,000 to Knoxville in 24 hours for COVID-19 response efforts wbir.com/mobile/article… via WBIR Channel 10

Tippie Analytics (@tippieanalytics) 's Twitter Profile Photo

Tippie Analytics 's own Gautam Pant, Yuanyang (Yang) Liu (our own alum), and Olivia Sheng's paper titled, "Predicting Employee Turnover through Network Embeddedness," was nominated for Best Paper at the 30th Workshop on Information Technology and Systems (WITS 2020)! #GoHawks

Yuanyang (Yang) Liu (@yuanyang_liu) 's Twitter Profile Photo

I am learning a lot from Dr.Cunningham's Causal Inference book scott cunningham. The papers he used to explain the methods are extremely helpful: In addition to the statistics, I am learning a lot from them in the strategies to structure my own empirical analysis and present my paper.

I am learning a lot from Dr.Cunningham's Causal Inference book <a href="/causalinf/">scott cunningham</a>. The papers he used to explain the methods are extremely helpful: In addition to the statistics, I am learning a lot from them in the strategies to structure my own empirical analysis and present my paper.
scott cunningham (@causalinf) 's Twitter Profile Photo

Honestly; the whole goal of the book is to help a reader feel more confident and consider the art and rhetoric of publishing quantitative social science as it is the science. Thank you Yang for noticing.

INFORMS (@informs) 's Twitter Profile Photo

The winner of the UPS George D. Smith Prize is the University of Iowa's Tippie College of Business University of Iowa Read more: bit.ly/3dgYsP0 The UPS George D. Smith Prize is aimed at strengthening ties between academia and industry by rewarding institutions of higher education.

The winner of the <a href="/UPS/">UPS</a> George D. Smith Prize is the University of Iowa's Tippie College of Business <a href="/uiowa/">University of Iowa</a> Read more: bit.ly/3dgYsP0
The UPS George D. Smith Prize is aimed at strengthening ties between academia and industry by rewarding institutions of higher education.
Yuanyang (Yang) Liu (@yuanyang_liu) 's Twitter Profile Photo

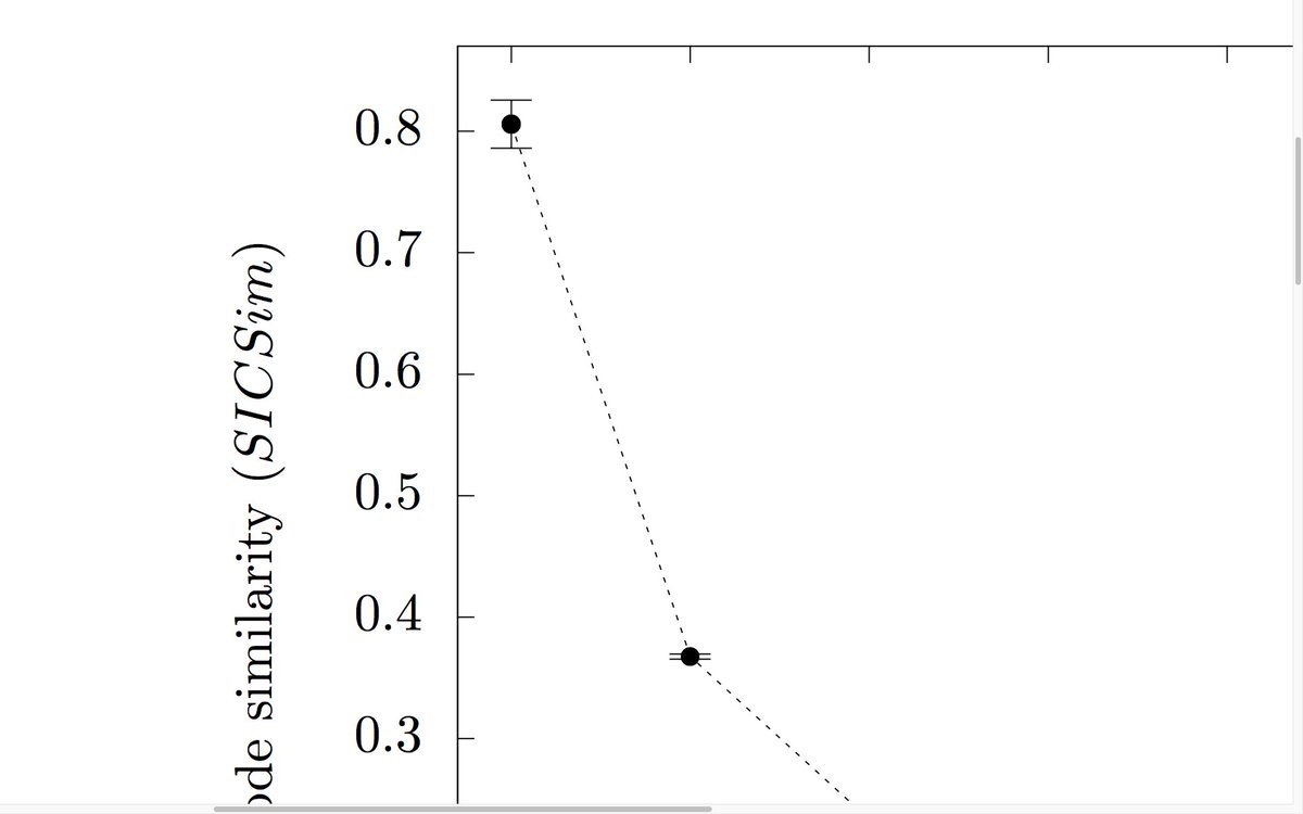
I know I may be spending way too much time on this (~10 hrs)... but with gnuplot+latex, our figures are crystal clear no matter how much you zoom in!! 😂😂

I know I may be spending way too much time on this (~10 hrs)... but with gnuplot+latex, our figures are crystal clear no matter how much you zoom in!! 😂😂
Yuanyang (Yang) Liu (@yuanyang_liu) 's Twitter Profile Photo

This is what I am looking for: Latex + R + tikzDevice = ggplots beautifully integrated in latex documents iltabiai.github.io/tips/latex/201… via @joydisee