🌺
@warmhugg
⊹ഒ𓂅
ID: 1360183476129992709
12-02-2021 11:06:36
57,57K Tweet
31 Takipçi
80 Takip Edilen
ทวนโจทย์คณิต 1 เบา ๆ (?) ก่อนนอน by MATHTiME 10th Anniversary ข้อ 2 มาแล้วไม่รอช้า ข้อนี้ค่อย ๆ ทดน้า อย่าพึ่งโดนต้มครับ T T มาดูกันว่าตอบอะไรร #dek69 #ALevel69
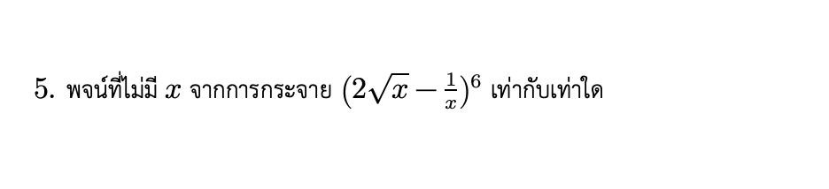
ทวนโจทย์คณิต 1 เบา ๆ (?) ก่อนนอน by MATHTiME 10th Anniversary ข้อ 5 ขอเริ่มดักทาง ทปอ. แล้วครับ เพราะเห็นข้อสอบวันนี้ใจร้ายเหลือเกิน ข้อนี้เป็นเรื่องที่ไม่ค่อยออกข้อสอบเท่าไหร่ แต่ว่าอยู่ในหลักสูตรนะ พอนึกวิธีทำออกมั้ยฮะ ไม่ได้ไม่เป็นไรน้า #dek69 #ALevel69
ทวนโจทย์คณิต 1 เบา ๆ (?) ก่อนนอน by MATHTiME 10th Anniversary ข้อ 7 ข้อสุดท้ายแล้วครับ ก่อนนอนของจริง มาทวนการคอนจูเกตเพื่อหาค่าลิมิตกันนิดนะ ลืมกันไปหรือยังฮะะ ตอบเท่าไหร่เอ่ยย #dek69 #ALevel69