Vishav Sharma
@vishavsharma_
PhD Chemistry @TAMUChemistry
ID: 1069792501081497600
04-12-2018 03:16:22
30 Tweet
132 Followers
313 Following
Excited as our RAMS (Regolith Adaptive Modification Systems) team presents at the NIAC symposium! Sarbajit Banerjee Natalia Rivera Nicholas Cool @WhiteyCheng Find our poster here web.cvent.com/event/7ac47838… NASA NASA Technology
Tadhg Begley (Chemistry Department) & @Drennan_Lab are organizing the #ASBMB2022 session on enzymology at #ExpBio. They’re inviting “all who are fascinated by how enzymes can use some newly discovered tricks ... & dynamic movements to carry out their chemistry.” asbmb.org/asbmb-today/sc…
Happy to share how the #cyanotoxin aetokthonotoxin is made by toxic freshwater Cyanobacteria. Amazing enzyme work by Sanjoy Adak April Lukowski Rebecca Schafer in J. Am. Chem. Soc. pubs.acs.org/doi/10.1021/ja…
Excited to share a manuscript from my lab! Fantastic work by graduate students Jason, Sarah Sarah Altman and the entire team Chemistry at Illinois @BeckmanInst! Engineering artificial photosynthetic life-forms through endosymbiosis disq.us/t/475ytp3
Our new preprint is online! I am really proud of the team to share our work on #meroterpenoids from #cyanobacteria. Genome mining, heterologous expression, and other #omics. Fun collab between Oregon State COP University of Hawaii at Manoa and #OSUBiochemsitryBiophysics chemrxiv.org/engage/chemrxi…
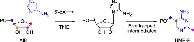
Phosphomethylpyrimidine Synthase (ThiC): Trapping of Five Intermediates Provides Mechanistic Insights on a Complex Radical Cascade Reaction in Thiamin Biosynthesis NEW #ASAP by Tadhg Begley & colleagues at Chemistry Department Read it here: go.acs.org/9Qe
Joseph Manero Try a whole year of that and then have the same things called against you multiple times in the game and then you have a basic understanding of how we felt