Tyler Barnum, Ph.D. (@tylerbarnumphd) 's Twitter Profile
Tyler Barnum, Ph.D.

@tylerbarnumphd

Sr. Scientist, Computational Biology @CultivariumFRO. Prev. @tracegenomics & PhD @PMB_Berkeley. Tweets about microbio, genomics, and halogens

ID: 948324756436090880

linkhttps://tylerbarnum.wordpress.com/ calendar_today02-01-2018 22:46:55

800 Tweet

741 Takipçi

497 Takip Edilen

Henry Lee (@hhlee) 's Twitter Profile Photo

We are recruiting for multiple positions - scientist(s) and admin - to grow our programs. For a sneak peak at how we work, here’s a photo of our team in our labs. Yes, ChatGPT is trained on all of our candids. (1/2)

We are recruiting for multiple positions - scientist(s) and admin - to grow our programs. For a sneak peak at how we work, here’s a photo of our team in our labs. Yes, ChatGPT is trained on all of our candids. (1/2)
Mark Budde (hiring wetlab, DMs open) 🦕🏆 (@markwbudde) 's Twitter Profile Photo

Are you a top-tier software engineer looking to solve real problems and accelerate biotech? Our talented and dynamic software team at Plasmidsaurus is pushing SynBio forward and we are looking for fun, super cracked colleagues. Interested? plasmidsaurus.com/static-public/… (please RT)

Are you a top-tier software engineer looking to solve real problems and accelerate biotech? Our talented and dynamic software team at Plasmidsaurus is pushing SynBio forward and we are looking for fun, super cracked colleagues. Interested?

plasmidsaurus.com/static-public/…

(please RT)
Tyler Barnum, Ph.D. (@tylerbarnumphd) 's Twitter Profile Photo

What papers impressed you by establishing genetic transformation for a large number (5+) of microbes? Your answers will help something brewing for the Cultivarium organism portal (cultivarium.org/portal). 2 examples we like below:

Tyler Barnum, Ph.D. (@tylerbarnumphd) 's Twitter Profile Photo

"One of the main messages ... is the paramount importance of embracing the full diversity of bacteria when investigating key cellular functions." 🫡 So much interesting microbiology in this review:

Alex Bisson (@archaeon_alex) 's Twitter Profile Photo

So we can correlate multicellularity and membrane tension? That's the evo-devo in the paper. We tested 60+ species of haloarchaea and saw that tissues are likely ancient but can be lost. There is a diversity of tissue structures and new aggregative multicellular examples (16/24)

ASM (@asmicrobiology) 's Twitter Profile Photo

Microbes possess many of the metabolic tools needed to create a sustainable future for our planet. How are recent advances in microbial engineering helping us realize a bioeconomy that is driven by renewable resources and chemicals? asm.org/Articles/2024/…

Cultivarium (@cultivariumfro) 's Twitter Profile Photo

Our Portal now features a table of reported genetic methods and papers for each bacterial species or its relatives. More on our public Changelog! portal.cultivarium.org/changelog

Henry Lee (@hhlee) 's Twitter Profile Photo

We’re making it easier for you to figure out exactly what is and is not possible for your most interesting bacteria.

Bin Shao (@shaobin_phy) 's Twitter Profile Photo

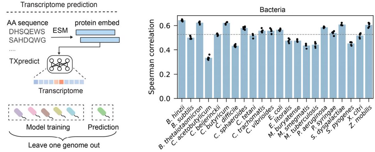
Our model leverages information learned from ESM2 model and basic protein statistics to predict genome-wide gene expression. It achieves an average Spearman correlation of 0.53 in predicting gene expression for bacterial genomes that are not in the training dataset:

Our model leverages information learned from ESM2 model and basic protein statistics to predict genome-wide gene expression. It achieves an average Spearman correlation of 0.53 in predicting gene expression for bacterial genomes that are not in the training dataset:
Cultivarium (@cultivariumfro) 's Twitter Profile Photo

Unlock new organisms quickly with a genetic methods “cheat-sheet” 🔬 Our Portal’s new Reported Methods section streamlines access to established genetic tools and related literature. Read more here: tinyurl.com/yj33bnyr

USGS Volcanoes🌋 (@usgsvolcanoes) 's Twitter Profile Photo

We know you've heard of a volcano...but how about a volnado? This afternoon, during episode 32 fountaining at Kīlauea the V3 live camera (ow.ly/tSiq50WPZKv) caught this whirlwind kicking up loose ash deposits along the active fountain and flow within Halemaʻumaʻu crater.