spark ✨ (@sparkabrain) 's Twitter Profile
spark ✨

@sparkabrain

Python, SQL, DSA, ETL, Snowflake, Data warehouse

ID: 923020652734332928

calendar_today25-10-2017 02:57:27

301 Tweet

599 Followers

48 Following

spark ✨ (@sparkabrain) 's Twitter Profile Photo

If x is an array of integers, y = x.astype(float) is a copy of x with elements converted to floating point. import numpy as np x = np.array([1, 2, 3]) # x is an integer array y = x.astype(float) # y is a new array with float elements

spark ✨ (@sparkabrain) 's Twitter Profile Photo

Learn programs Blockchain → cryptozombies.io SQL → mystery.knightlab.com JavaScript → javascriptquiz.com Go → codingame.com Python → codedex.io CSS → cssbattle.dev Java → tynker.com Git → ohmygit.org

spark ✨ (@sparkabrain) 's Twitter Profile Photo

SELECT * FROM orders WHERE YEAR(order_date) = 2025; SELECT * FROM orders WHERE order_date >= '2025-01-01' AND order_date < '2026-01-01'; Which query is faster?

spark ✨ (@sparkabrain) 's Twitter Profile Photo

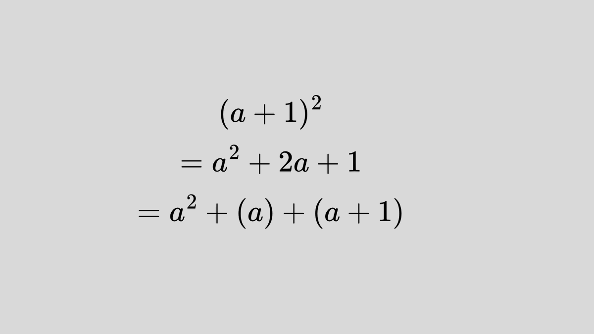
If you know the square of a number, suppose 𝟐𝟎² = 𝟒𝟎𝟎, then you can get the square of the next number i.e. of 𝟐𝟏, by adding the sum of these two numbers: 𝟒𝟎𝟎 + (𝟐𝟎) + (𝟐𝟏) = 𝟒𝟒𝟏.

If you know the square of a number, suppose 𝟐𝟎² = 𝟒𝟎𝟎,  
then you can get the square of the next number i.e. of 𝟐𝟏, by adding the sum of these two numbers:  
𝟒𝟎𝟎 + (𝟐𝟎) + (𝟐𝟏) = 𝟒𝟒𝟏.