S𝒾N../不適切投稿により半年間(2025/1/1~2025/6/30)謹慎 (@sin_japan2022) 's Twitter Profile
S𝒾N../不適切投稿により半年間(2025/1/1~2025/6/30)謹慎

@sin_japan2022

名前は「サイン」のつもり / 大学レベルの入門物理をnoteにて解説中!/ #簡tan謎 を出題していました / 将棋の定跡鋭意作成中! / #SiN英語 にて不定期に英語の問題出題中! / 初のTOEICはスコア900でした / 国民民主党関係のいいね・RPが多いですが支持者ではありません / 無言フォロー失礼

ID: 1554390097537433600

linkhttps://note.com/sin_japan/n/n9028948dfd67?magazine_key=ma7fd1a8e8987 calendar_today02-08-2022 08:54:24

25,25K Tweet

683 Followers

1,1K Following

全卓樹 (@quantum__zen) 's Twitter Profile Photo

ファラデーの電磁誘導(つまり発電技術)の発見からマクスウェルの電磁気学全体の発見まで、基本電磁気学は英国の科学で、それは英国での電信網の敷設&通信技術開発と強く結びついてる。大陸ではマクスウェル方程式自体が長い間あまり受け入れられてないんですよ。

全卓樹 (@quantum__zen) 's Twitter Profile Photo

そんな中ヘヴィサイドみたいな、ケーブル技術開発ベクトル解析マクスウェル方程式完成どれもできる一種の両生類な天才が、大学とは無関係に、現場の叩き上げて出てくる。20世紀のグローバル科学とは様子が全く違う。大学が衰退し科学が技術開発現場と結びつき強めてる21世紀は19世紀に先祖返りかもね。

向原総合法律事務所 弁護士向原 (@harrier0516osk) 's Twitter Profile Photo

しかし、よく読んでみると、余計にわからないな。 国家権力=信用ならない存在だから鍵をかけておこう、というのはわかる。それが憲法の禁止規範としての本質ですからね。 で、96条という「解錠装置」を起動させようとしている。福山先生はそのことを批判している。

UDトーク (@udtalk) 's Twitter Profile Photo

UDトークの案内で「聴覚に障害がある方へ」と言う案内ではなく「文字情報が必要な方へ」とあるとアクセシブルな感じでいいですよね。もっと言うと「字幕をご覧になる方へ」くらいの案内だと見たい人が見れる感じでいいと思います。別に字幕は特別な対応ではないですから。

山岸一生 【 衆議院議員 / 立憲民主党 】 東京9区 ( 練馬区 西部 ) (@isseiyamagishi) 's Twitter Profile Photo

敢えて、この苦しい状況だから、はっきりと、対立候補を誹謗中傷する「支援」を受けることは望まないことを明言します。 誹謗中傷することが「正しい」と思うのは「エコーチェンバー」ではないでしょうか。 「支援」を「控えてください」というのは難しいのですが、正直に申し上げました。

高橋泰城(たかはしたいき) (@tweet_taiki) 's Twitter Profile Photo

ドイツでは、マックスウェルの元々の、数式展開によらない、力学模型を用いた電磁気学の議論についてついてゆけず意気消沈したベテラン教授が多かったと、ゾンマーフェルトの電磁気学の教科書にもありますね (マクスウェル方程式を公理として演繹的体系にしたのはヘヴィサイドやヘルツだったと...)

ドイツでは、マックスウェルの元々の、数式展開によらない、力学模型を用いた電磁気学の議論についてついてゆけず意気消沈したベテラン教授が多かったと、ゾンマーフェルトの電磁気学の教科書にもありますね (マクスウェル方程式を公理として演繹的体系にしたのはヘヴィサイドやヘルツだったと...)
小山(避難所) (@segah02457547) 's Twitter Profile Photo

「創価学会とか統一教会みたいな『悪い宗教』だけ懲らしめて、お寺や神社みたいな『良い宗教』は優遇すればいいじゃん!!」みたいな超素朴なこと言ってる連中マジで怖すぎるんだよな。政教分離とか言ってる人間ほど政教分離原則が何なのかまったく理解してない。

Shin Hori (@shinhori1) 's Twitter Profile Photo

立憲から中道になる時に「選挙が迫ってるんだから詳しい説明は後でね」みたいな感じで突っ走ったわけで 選挙が終わったからには、体制再建も重要だけど、まずは後回しにしてた説明のツケ払いをしないと 成功してたら「結果良ければすべて良し」ってまだ言えるかも知れないが、その真逆なわけだから

竹上将人(中小企業診断士・BCPコンサル) (@the_last_leaf) 's Twitter Profile Photo

意味がわからない。いろいろ言語化をしていったほうがいい。そうすると、もしかしたら君らの考える竹中平蔵が相当なデマからできあがっていることがわかるかもしれない。例えば、「派遣の規制緩和のせいで非正規が増えて、格差が拡大した。」この命題にはどこにも事実が存在しない。でも、データで確認

ロリンザーユーザー (@lorinser_user) 's Twitter Profile Photo

高市VSオガジュン党首討論、どちらの陣営も討論の出来より党首がいきなり変なこと言わないかどうかヒヤヒヤしながら見ることになりそうでおもろい

SITO.(シト) (@iaaito) 's Twitter Profile Photo

右や左で判断する人いますけど例えば参政党とかは概ね右寄りの政策なのに農業に関しては左なのであまり重要な論点ではないのかな、と思っています 安易で単純なカテゴライズは本質を見落とす可能性があるやもしれない

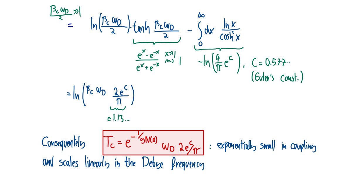
Flow Cat (@f1ow_cat) 's Twitter Profile Photo

物理最高の瞬間: 超伝導の臨界温度でオイラーの定数c=0.577…が出てくる(超越数、無理数かどうかは未解決らしい)

物理最高の瞬間:
超伝導の臨界温度でオイラーの定数c=0.577…が出てくる(超越数、無理数かどうかは未解決らしい)
史上最強の英語コロケーション (@super_level) 's Twitter Profile Photo

教養のあるネイティブなら… 格式高いジャーナルなら… 確かに were が用いられる頻度が高いでしょう。ただ、それを言い始めたら会話では was の頻度も高いです。 あくまで程度の問題。 文語が文法的に正しく、口語は文法的に誤り、ではなく、どちらも正しい。 今回は単に作問センスの問題では?

S𝒾N../不適切投稿により半年間(2025/1/1~2025/6/30)謹慎 (@sin_japan2022) 's Twitter Profile Photo

>RP 右とか左ではなくて,“日本人”の生活を守るために,自らのイデオロギーに対立するものをことごとく否定した結果こうなるというか何というか………💦