
Sadie W Shelton
@shelton_sws
She/Her
Scient communicator for climate change & agriculture, Alliance of Bioversity & CIAT, Gund Institute at University of Vermont
ID: 1636738668177104896
https://www.linkedin.com/in/sadiesws/ 17-03-2023 14:38:16
18 Tweet
7 Takipçi
104 Takip Edilen







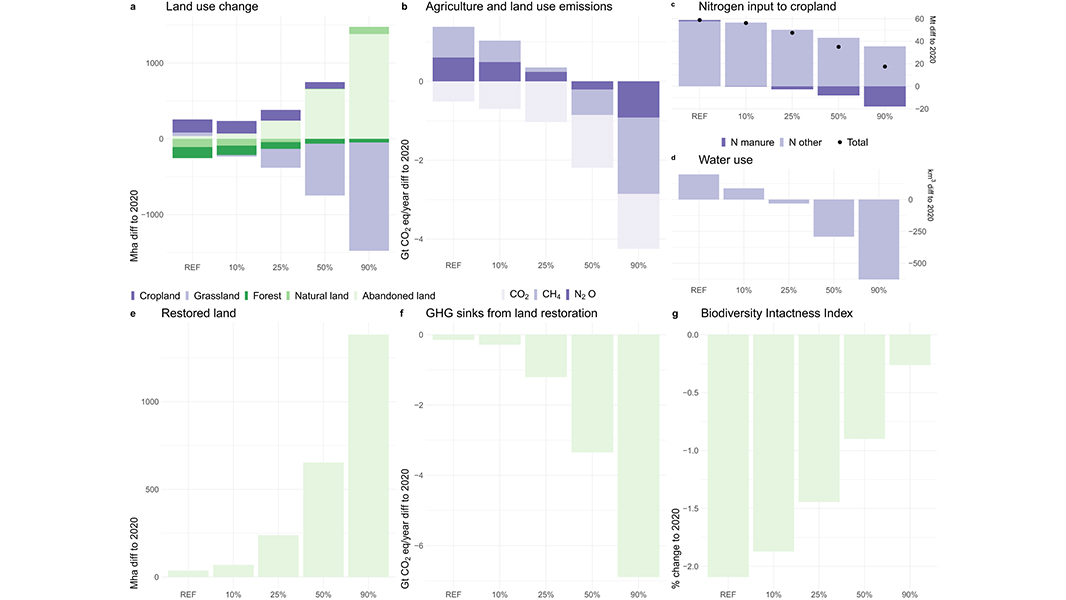
STUDY: Replacing 50% of meat & dairy with plant-based alternatives can: 🚨Lower global ag emissions by 31% 🚨Save forests 🚨Improve nutrition “We need more than Meatless Mondays to tackle emissions," says #UVM's Eva Wollenberg. ➡️New in Nature Communications: go.uvm.edu/a0tbm


Substituting 50% of pork, beef, chicken, and milk consumption with plant-based products could reduce global agriculture and land-use green house gas emissions by 31% in 2050 compared to 2020, suggests a paper published in Nature Communications. go.nature.com/3sPdPIT





We're kicking off our session on #Trade at the #FoodSystems Pavilion. Our markets are fundamental to how food systems (dys)function, so it's an essential topic on our agenda at #INNOVEAT day, says Lini Wollenberg University of Vermont CGIAR 🤝 International Fund for Agricultural Development WTO Food Systems Partnership






🌍 How can agrifood systems contribute to carbon reduction? Join us at #COP29 #FoodPavilion for insights on agrifood’s potential in voluntary carbon markets. 👉 Learn more: on.cgiar.org/48M2WrZ Alliance of Bioversity International and CIAT Food and Agriculture Organization #OneCGIAR #COP29Azerbaijan


🌍Join us at COP29 to learn about the future of agrifood systems in voluntary carbon markets. 🌱How can innovative solutions like VCM drive new finance & investment to boost sustainability & resilience in agriculture? 📲 shorturl.at/Axv6u Alliance of Bioversity International and CIAT @FAOClimate