Rajeevan Selvaratnam (@selvarajeevan) 's Twitter Profile
Rajeevan Selvaratnam

@selvarajeevan

Father | Husband | Clinical Chemist @UHN | Assistant Professor @UofT | Tweets are my own view |

ID: 340886331

linkhttps://sites.google.com/view/rsuhn/ calendar_today23-07-2011 13:00:45

334 Tweet

275 Takipçi

280 Takip Edilen

William Aird (@williamaird4) 's Twitter Profile Photo

1/7 IRON AND VITAMAN C "Ascorbate (vitamin C) donates an electron to promote the reduction of ferric iron in the acidic pH of the proximal intestine, thus enabling the absorption of ferrous iron in the small intestine." pubmed.ncbi.nlm.nih.gov/38253961/

Arthur Shen (@arthurshen) 's Twitter Profile Photo

The B2-W developed by the Chinese company Unitree is truly impressive in terms of its agility and all-terrain adaptability. I want one, although I haven’t figured out what I would do with it yet.

Python Coding (@clcoding) 's Twitter Profile Photo

Understanding Machine Learning Book for Free! If you want a FREE copy, 1. Like + Repost 2. Comment 'ML' 3. Follow me Python Coding so that I can DM you.

Understanding Machine Learning Book for Free!

If you want a FREE copy,

1. Like + Repost 
2. Comment 'ML'
3. Follow me <a href="/clcoding/">Python Coding</a> so that I can DM you.
Rajeevan Selvaratnam (@selvarajeevan) 's Twitter Profile Photo

Measures of LDL-C were done by "preparative ultracentrifugation; we also used the Friedewald and Martin–Hopkins equations to calculate LDL cholesterol levels in prespecified exploratory analyses."

University Health Network (@uhn) 's Twitter Profile Photo

#DYK fingernails can tell you about your health? #TeamUHN's Dr. Kendall Billick, a dermatologist who runs Canada’s only medical clinic dedicated to nails, explains the importance of paying attention to changes in strength, colour and texture. Read more: bit.ly/4kkfcot

Rajeevan Selvaratnam (@selvarajeevan) 's Twitter Profile Photo

"University of Colorado, Denver, to initiate the first clinical trial aimed at assessing the efficacy, safety, and mechanisms of dual GLP-1 RAs and GIP RAs (tirzapetide) in ADPKD treatment (ClinicalTrials.gov ID: NCT06582875" @BMC bmcnephrol.biomedcentral.com/articles/10.11…

IFCC&LM (@ifclinchem) 's Twitter Profile Photo

Mark on your agenda next #IFCCLiveWebinar on: “Detection of Acute Kidney Injury: Definitions, Biomarkers and e-Alerts ” Date: 18 June 2025 Certificate of participation available for all registrants Register here: workcast.com/register?cpak=… #IFCCLiveWebinars #webinar #ifclinchem

Mark on your agenda next #IFCCLiveWebinar on: “Detection of Acute Kidney Injury: Definitions, Biomarkers and e-Alerts ”

Date: 18 June 2025
Certificate of participation available for all registrants

Register here: workcast.com/register?cpak=… 

#IFCCLiveWebinars #webinar #ifclinchem
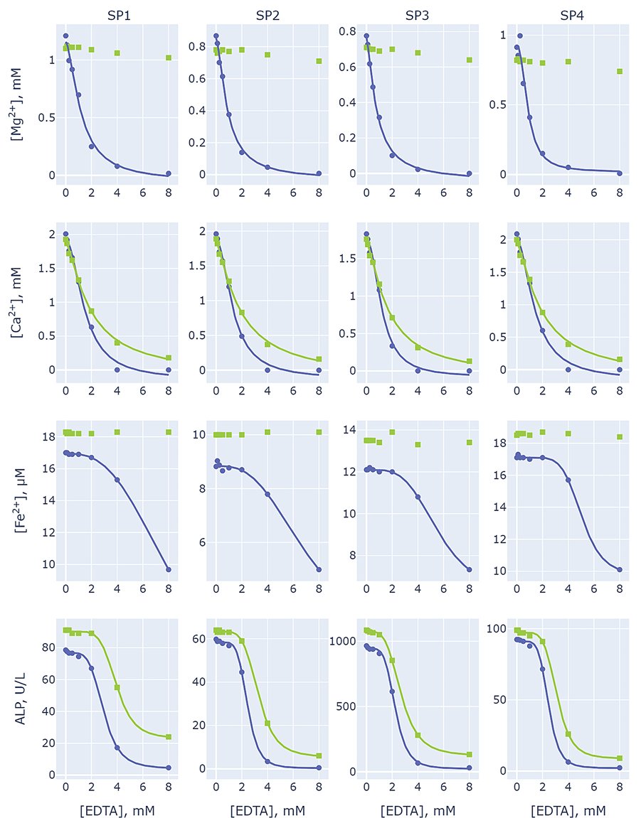
Rajeevan Selvaratnam (@selvarajeevan) 's Twitter Profile Photo

Does EDTA contamination lead to Hypomagnesemia? or Hypoferremia? Classically yes, but not always true in modern times. Hypomagnesemia and Hypoferremia are not surrogate markers of EDTA contamination. Check out our work: doi.org/10.1016/j.cca.… #ClinicalChemistry #labmedicine

Does EDTA contamination lead to Hypomagnesemia? or  Hypoferremia? Classically yes, but not always true in modern times.  Hypomagnesemia and Hypoferremia are not surrogate markers of EDTA contamination. Check out our work: doi.org/10.1016/j.cca.…
#ClinicalChemistry #labmedicine
Rajeevan Selvaratnam (@selvarajeevan) 's Twitter Profile Photo

"... the incorrect adaptation of Six Sigma from industry to laboratory medicine and the utilisation of erroneous equations..." DOI: 10.1515/cclm-2024-0377

Rajeevan Selvaratnam (@selvarajeevan) 's Twitter Profile Photo

Share your expertise at #ADLM2026 in Anaheim, CA, USA next July. Inspire the lab med community with your brilliant research. Submit your proposal by Nov 6! Visit myadlm.org to learn more.

Share your expertise at #ADLM2026 in Anaheim, CA, USA next July. Inspire the lab med community with your brilliant research. Submit your proposal by Nov 6! Visit myadlm.org to learn more.