
Sarah Conner
@scconner216
PhD Candidate in Biostatistics, Boston University
ID: 1083538177338605569
11-01-2019 01:36:47
26 Tweet
78 Followers
201 Following

First statistical paper, first tweet - grateful for the opportunity to work on this with Ludovic Trinquart!

In new Biostatistics paper, @isabelle_weir introduces multivariate #metaanalysis model for difference in restricted mean survival times with application on #TAVR #clinicaltrials academic.oup.com/biostatistics/…


US Ten Day Seminar: Outstanding week of lectures- physical activity (Fulton), biostatistics (Feldman), obesity paradox (Carnethon, Lewis), epigenetics (Bakulski), biomarkers (DLJ), & sociocultural basis of CVH (Mujahid).#AHATenDay19 Kelly Bakulski Don Lloyd-Jones @NHLBI_HEARTDir Mercedes Carnethon


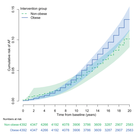
Repeated measures of cardiovascular risk factors present time-varying confounding. In latest JAHA, we used the G-Formula to address this challenge in the association of BMI & #AFib. Grateful for this work w/ Ludovic Trinquart Sara Lodi Emelia J. Benjamin bit.ly/2KLtPSf


In today’s JAMA, we show that stagnation in #heartdisease death rates have persisted. Are rising #obesity and #DM to blame? NOW is the time for #PrimordialPrevention! Sadiya Khan Don Lloyd-Jones Mercedes Carnethon @KiarriKershaw ja.ma/2Pdo05F

I am looking for a #postdoc to study lifetime risk and multistate modeling of #AFib and its complications bu.silkroad.com/epostings/inde… AHA Research Boston University School of Public Health Framingham Heart Study #epitwitter #stattwitter



American Statistical Association: Rename The Fisher Lecture After David Blackwell - Sign the Petition! chng.it/YhJVq87h via Change.org


I am so proud of my friend and former colleague, @isabelle_weir for earning 2 awards for her research on surrogate outcomes and interpretations of time to event outcomes -- congrats Isabelle!! BUBiostats Boston University School of Public Health bu.edu/sph/2020/09/11…


What will it take to transform AF secondary prevention research? Read the NHLBI Workshop report ahajournals.org/doi/10.1161/JA… Thanks to coauthors: JAHA #afib #AF@nih_nhlbi Sana Al-Khatib Alvaro Alonso Jeroen Hendriks StopAfib.org Greg Marcus Ratika Parkash Prash Sanders @vanwagd
