SAVE-kipsihanke (@savekipsihanke) 's Twitter Profile
SAVE-kipsihanke

@savekipsihanke

Mittava #kipsi'pilotti selvittää soveltuuko peltojen #kipsikäsittely laajaan vesiensuojelukäyttöön parantamaan Saaristomeren sekä koko Itämeren tilaa.

ID: 740459564047405056

linkhttp://blogs.helsinki.fi/save-kipsihanke calendar_today08-06-2016 08:24:51

553 Tweet

500 Takipçi

499 Takip Edilen

SAVE-kipsihanke (@savekipsihanke) 's Twitter Profile Photo

Eilisessa #vesiensuojeluntehostamisohjelma'n maanparannusaineita käsittelevässä webinaarissa tutkija Petri Ekholm (Suomen ympäristökeskus) kertoi myös SAVE-kipsihanke'en pilottialueella edelleen jatkuvien vedenlaatumittausten uusimmista tuloksista.#Kipsi'stä 56:40➡️🔗youtube.com/watch?v=WHWX4l…

Eilisessa #vesiensuojeluntehostamisohjelma'n maanparannusaineita käsittelevässä webinaarissa tutkija <a href="/PetriEkholm/">Petri Ekholm</a> (<a href="/SYKEinfo/">Suomen ympäristökeskus</a>) kertoi myös <a href="/savekipsihanke/">SAVE-kipsihanke</a>'en pilottialueella edelleen jatkuvien vedenlaatumittausten uusimmista tuloksista.#Kipsi'stä  56:40➡️🔗youtube.com/watch?v=WHWX4l…
SAVE-kipsihanke (@savekipsihanke) 's Twitter Profile Photo

Kipsin viisivuotistarkastus SAVE-kipsihanke ja uusimmat tulokset: "Savijoen pilotti vahvisti #kipsi'n tehon, mutta tuloksiin jäi myös pohdittavaa." Lisää blogissa: blogs.helsinki.fi/save-kipsihank… Suomen ympäristökeskus #kipsikäsittely #maatalous #fosfori #vesiensuojelu

Kipsin viisivuotistarkastus <a href="/savekipsihanke/">SAVE-kipsihanke</a> ja uusimmat tulokset: "Savijoen pilotti vahvisti #kipsi'n tehon, mutta tuloksiin jäi myös pohdittavaa." Lisää blogissa: blogs.helsinki.fi/save-kipsihank…
<a href="/SYKEinfo/">Suomen ympäristökeskus</a> #kipsikäsittely #maatalous #fosfori #vesiensuojelu
SAVE-kipsihanke (@savekipsihanke) 's Twitter Profile Photo

.Suomen ympäristökeskus:n tutkijat Maria Kämäri ja Petri Ekholm vastaavat #kipsi:ä koskevaan keskusteluun: "Kipsin peltolevityksestä ei ole vaaraa Itämerelle". Tavoite on vähentää maa-aineksen ja #fosfori'ravinteen karkaamista pelloilta vesistöihin. #Itämeri #maatalous hs.fi/mielipide/art-…

SAVE-kipsihanke (@savekipsihanke) 's Twitter Profile Photo

Muistutus SAVE-kipsihanke'en yli viiden vuoden seurannan tulosten julkistustilaisuudesta: Lunastiko #kipsi lupauksensa? Mahdollisuus kysyä kipsistä ja osallistua myös etänä. Ilmoittautuminen viim. 14.10👉elomake.helsinki.fi/lomakkeet/1198… Lisätietoja: blogs.helsinki.fi/save-kipsihank… Suomen ympäristökeskus

Muistutus <a href="/savekipsihanke/">SAVE-kipsihanke</a>'en yli viiden vuoden seurannan tulosten julkistustilaisuudesta: Lunastiko #kipsi lupauksensa? Mahdollisuus kysyä kipsistä ja osallistua myös etänä. Ilmoittautuminen viim. 14.10👉elomake.helsinki.fi/lomakkeet/1198… Lisätietoja: blogs.helsinki.fi/save-kipsihank… <a href="/SYKEinfo/">Suomen ympäristökeskus</a>
SAVE-kipsihanke (@savekipsihanke) 's Twitter Profile Photo

Vaikuttaako #kipsi peltomaan ravinnetasapainoon, kasvukuntoon tai mikrobiaktiivisuuteen? Näitä erityisesti viljelijöitä kiinnostavia kysymyksiä selvitettiin ruukkukokeissa (Luonnonvarakeskus Suomen ympäristökeskus) joiden tuloksista kertoo nyt erikoistutkija @HelenaSoinne👉 blogs.helsinki.fi/save-kipsihank…

Vaikuttaako #kipsi peltomaan ravinnetasapainoon, kasvukuntoon tai mikrobiaktiivisuuteen? Näitä erityisesti viljelijöitä kiinnostavia kysymyksiä selvitettiin ruukkukokeissa (<a href="/LukeFinland/">Luonnonvarakeskus</a> <a href="/SYKEinfo/">Suomen ympäristökeskus</a>) joiden tuloksista kertoo nyt erikoistutkija @HelenaSoinne👉 blogs.helsinki.fi/save-kipsihank…
Suomen ympäristökeskus (@sykeinfo) 's Twitter Profile Photo

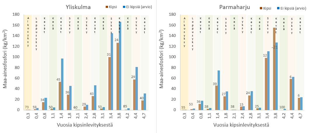
Peltojen kipsikäsittelystä saadut monivuotisen seurannan tulokset vahvistavat kipsin vesiensuojeluvaikutukset. Haittoja viljelylle ei ole havaittu. Raportti julkaistu: syke.fi/fi-FI/Ajankoht… #Vesiensuojelu #Maatalous University of Helsinki SAVE-kipsihanke Ympäristöministeriö Kuva: Janne Artell

Peltojen kipsikäsittelystä saadut monivuotisen seurannan tulokset vahvistavat kipsin vesiensuojeluvaikutukset. Haittoja viljelylle ei ole havaittu.

Raportti julkaistu: syke.fi/fi-FI/Ajankoht…

#Vesiensuojelu #Maatalous <a href="/helsinkiuni/">University of Helsinki</a> <a href="/savekipsihanke/">SAVE-kipsihanke</a> <a href="/yministerio/">Ympäristöministeriö</a>
Kuva: Janne Artell