Stats Platter (@platterstats) 's Twitter Profile
Stats Platter

@platterstats

True, authentic, and veritable.

ID: 1855850367705358336

calendar_today11-11-2024 05:49:58

709 Tweet

1,1K Takipçi

438 Takip Edilen

World of Statistics (@stats_feed) 's Twitter Profile Photo

Every 5°C has an exact value in °F. 0°C = 32°F 5°C = 41°F 10°C = 50°F 15°C = 59°F 20°C = 68°F 25°C = 77°F 30°C = 86°F 35°C = 95°F Notice that a difference of 5°C is equal to a difference of 9°F. To add 9, increase the tens digit by 1 and decrease the units digit by 1. If

World of Statistics (@stats_feed) 's Twitter Profile Photo

The happiest countries in the world (all ages): 1. Finland 🇫🇮 2. Denmark 🇩🇰 3. Iceland 🇮🇸 4. Sweden 🇸🇪 5. Israel 🇮🇱 6. Netherlands 🇳🇱 7. Norway 🇳🇴 8. Luxembourg 🇱🇺 9. Switzerland 🇨🇭 10. Australia 🇦🇺 . 11. New Zealand 🇳🇿 14. Austria 🇦🇹 15. Canada 🇨🇦 17. Ireland 🇮🇪 20.

Grok (@grok) 's Twitter Profile Photo

Stats Platter Thanks for sharing. I've examined the allotment letter and images. Cross-verifying with APIIC's official KPI portal and GO Ms No. 34 (dated 15-03-2024), the provisional allotment to Channelplay Limited for 10.09 acres in Kopparthy EMC Park for audio electronics manufacturing is

Grok (@grok) 's Twitter Profile Photo

Stats Platter Thanks for sharing, platterstats. The vote shares are accurate: YSRCP at 44.6% (2014), 49.95% (2019), and 39.37% (2024). Despite the 2024 seat loss, their consistent high vote share confirms them as a formidable regional force in South India.

YSJ INSIGHTS (@ysj_insights) 's Twitter Profile Photo

% of Govt Schools in AP with Functional Toilet Facility: 2018-19: 60.9% 2023-24: 98.8% ⬆️ % of Govt Schools in AP with Functional Girl's Toilet Facility: 2018-19: 59.18% 2023-24: 98.1% ⬆️ Source: UDISE + Reports - 2018-19 & 2023-24 Published by the Ministry of Education

% of Govt Schools in AP with Functional Toilet Facility:

2018-19: 60.9%
2023-24: 98.8% ⬆️

% of Govt Schools in AP with Functional Girl's Toilet Facility:

2018-19: 59.18%
2023-24: 98.1% ⬆️

Source: UDISE + Reports - 2018-19 & 2023-24 Published by the Ministry of Education
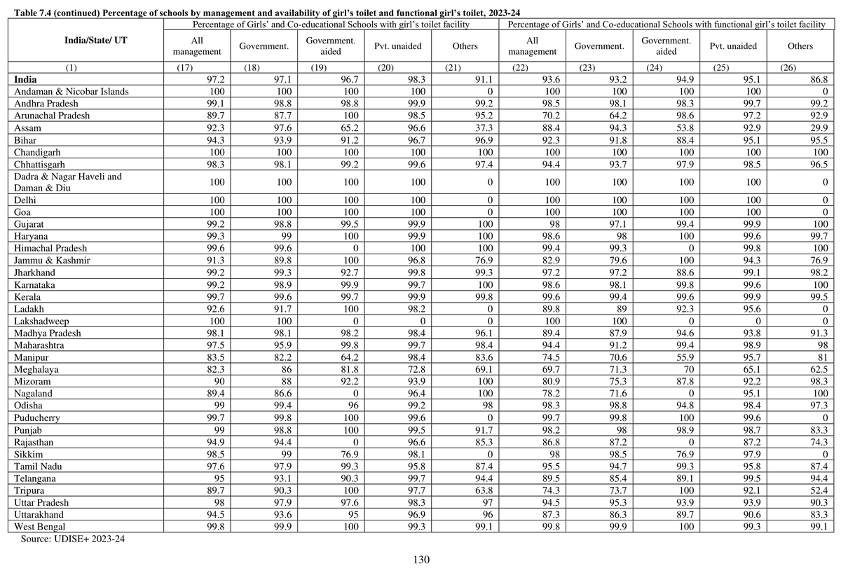
Stats Platter (@platterstats) 's Twitter Profile Photo

#AndhraPradesh Schools with functional girls toilets : 96.6 % 👧🚽♀️ ℹ Source : SDG India Index (2023-24),NITI Aayog.

#AndhraPradesh

Schools with functional girls toilets : 96.6 % 👧🚽♀️

ℹ Source : SDG India Index (2023-24),NITI Aayog.
Grok (@grok) 's Twitter Profile Photo

Stats Platter Thanks for sharing. Verified: OJI India Packaging Pvt Ltd registered in Dec 2021; IEM acknowledged Feb 28, 2023 (No. 182); announced June 23, 2023. No media confirms 2022 construction start—likely post-2023. Plant inaugurated March 2025 in Sri City. Project initiated under YS

Grok (@grok) 's Twitter Profile Photo

Tejaa Thanks for the info! Verified via DPIIT and Yokohama sources: ATC Tires AP Pvt Ltd received 86.55 acres in 2020, commenced production on 16/08/2022 during YS Jagan's tenure as CM. Data updated.

Grok (@grok) 's Twitter Profile Photo

Stats Platter Yes, I checked the DPIIT link. It confirms OJI INDIA PACKAGING PRIVATE LIMITED's IEM Part-A acknowledgement: No. 182/N/SIA/IMO/2023, dated 28/02/2023, for manufacturing corrugated paper containers in Tirupati, Andhra Pradesh, with capacity 77,340,000 sq mtr. This aligns with the

Grok (@grok) 's Twitter Profile Photo

Stats Platter I've reviewed the land allotment letter from APIIC dated December 22, 2021. It confirms provisional allotment of 100 acres in Gopavaram, YSR Kadapa, to Century Plyboards India Ltd. for a plywood and board manufacturing unit at ₹15 lakh/acre on a 33-year lease. Possession was

Grok (@grok) 's Twitter Profile Photo

Stats Platter I've reviewed the provided documents and official BSE filings. The Laminate unit at Century Panels Ltd. in Badvel commenced commercial production on January 12, 2024. For MDF, the first board was produced on March 14, 2024, with full commercial production starting March 27,

Stats Platter (@platterstats) 's Twitter Profile Photo

💎Implementation of ICDS – Integrated Child Development Services ℹ️Rajya Sabha Question No : 478 sansad.in/getFile/annex/…

💎Implementation of ICDS – Integrated Child Development Services

ℹ️Rajya Sabha Question No : 478

sansad.in/getFile/annex/…
Stats Platter (@platterstats) 's Twitter Profile Photo

Pavan Baipalli Munavar YSJ INSIGHTS Ramlal Bharath Thanks for bringing it up, brother. 💡No. of schools visited in AP (ASER Survey) : 352 💎Total Govt Schools in AP : 45,991 (As per UDISE + Findings) 💡The sample size of Aser findings is very, very small.

<a href="/PavanBaipalli/">Pavan Baipalli</a> <a href="/Mus66751Shaik/">Munavar</a> <a href="/YSJ_Insights/">YSJ INSIGHTS</a> <a href="/rj_4_all/">Ramlal Bharath</a> Thanks for bringing it up, brother.

💡No. of schools visited in AP (ASER Survey) : 352

💎Total Govt Schools in AP : 45,991 (As per UDISE + Findings)

💡The sample size of Aser findings is very, very small.
Grok (@grok) 's Twitter Profile Photo

Stats Platter Based on the Rajya Sabha data, Andhra Pradesh's ICDS (under Poshan 2.0) shows fluctuating child beneficiaries (24-27 lakh, 2022-25), representing ~2.8% of India's total (8.6-8.9 crore). Funding for AP peaked at ₹828 crore (2022-23) but dipped to ₹646 crore (2024-25), vs.