Pınar İzgü (@pinarizguu) 's Twitter Profile
Pınar İzgü

@pinarizguu

İyi Parti 27.Dönem Milletvekili Adayı Kadın Politikaları İç Anadolu Bölge Koordinatörü

ID: 960579616002985984

calendar_today05-02-2018 18:23:21

289 Tweet

806 Takipçi

496 Takip Edilen

Pınar İzgü (@pinarizguu) 's Twitter Profile Photo

Vee bir yaş daha aldım işte… Zamanı durduramıyprsak eğer her anını doya doya yaşamak gerek😇 Doğum günümde beni yalnız bırakmayan,arayan,mesaj atan herkese çoook teşekkür ediyorum 🥰 İyiki Varsınız ❤️ Hepinizi çok seviyorum 🪽🪽🪽

Vee bir yaş daha aldım işte… Zamanı durduramıyprsak eğer her anını doya doya yaşamak gerek😇 
Doğum günümde beni yalnız bırakmayan,arayan,mesaj atan herkese çoook teşekkür ediyorum 🥰 
İyiki Varsınız ❤️ Hepinizi çok seviyorum 🪽🪽🪽
Müsavat Dervişoğlu (@mdervisoglutr) 's Twitter Profile Photo

Sosyal medya platformu İnstagram’a keyfi ve hukuksuz olarak getirilen erişimin engellenmesi kararına karşı Ankara İdare Mahkemesine dava açtım. İfade özgürlüğü demokrasinin ve insan haklarının anası olarak kabul edilen bir haktır. Bu hakkın fütursuzca engellenmesi düşünce

Pınar İzgü (@pinarizguu) 's Twitter Profile Photo

“Alt tarafı bir çiçek toplayıp, bir hayvan sahiplenip, birkaç insan tanıyıp, sevip gidecektik bu dünyadan.Nasıl kötü bir zamana denk geldi ömrümüz. Vicdansızların,sapıkların, katillerin,nefretin,cehaletin ortasına düştük…

“Alt tarafı bir çiçek toplayıp, bir hayvan sahiplenip, birkaç insan tanıyıp, sevip gidecektik bu dünyadan.Nasıl kötü bir zamana denk geldi ömrümüz. Vicdansızların,sapıkların, katillerin,nefretin,cehaletin ortasına düştük…
Turan YALDIR (@turanyaldir) 's Twitter Profile Photo

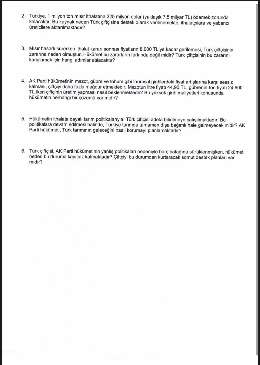
AK Parti'nin yanlış tarım politikaları sonucu zor durumda kalan çiftçimizin sorunlarını TBMM gündemine taşıdık. Tarım ve Orman Bakanı'na mısır ithalatı ve çiftçimizin artan girdi maliyetleri hakkında yazılı soru önergesi verdik. Türk çiftçisini korumak yerine ithalatı teşvik

AK Parti'nin yanlış tarım politikaları sonucu zor durumda kalan çiftçimizin sorunlarını TBMM gündemine taşıdık.

Tarım ve Orman Bakanı'na mısır ithalatı ve çiftçimizin artan girdi maliyetleri hakkında yazılı soru önergesi verdik.

Türk çiftçisini korumak yerine ithalatı teşvik
Kevser Ofluoğlu (@kevserofluoglu) 's Twitter Profile Photo

Söylediği lafa bakın! “Devletin ülkesi olmaz. Devletin milleti olmaz” diyor Numan Kurtulmuş…   Türkiye Cumhuriyeti Devleti, bir Meclis Devleti olarak kurulmuştur.   Onlar gibi aklının zincirlerinden ve Türk olma bilincinden kurtulmuşlarla değil, düşman işgalinden ve içerideki

Müsavat Dervişoğlu (@mdervisoglutr) 's Twitter Profile Photo

Ülkemizin savunma sanayi alanında önemli kurumlarından biri olan TUSAŞ’ta gerçekleşen alçak terör saldırısını lanetliyorum. Şehitlerimize Allah’tan rahmet, yaralılarımıza acil şifalar; ailelerine ve aziz milletimize sabır diliyorum. Ülkemizin birliğini, güvenliğini ve

Kevser Ofluoğlu (@kevserofluoglu) 's Twitter Profile Photo

♦️Antalya’da 2, 6 ve 8 yaşındaki üç kardeş, yalnız bırakıldıkları gecekonduda çıkan yangın sonucu evde mahsur kalmış, kurtarılan çocuklardan biri, hastaneye götürüleceğini öğrenince, "Annem kızar, parası yok. Beni götürmeyin." demiş. ♦️Şimdi biri çıkar her şey maddiyata bağlı

Pınar İzgü (@pinarizguu) 's Twitter Profile Photo

Genel Başkanımız Sayın Müsavat Dervişoğlu Müsavat Dervişoğlu; 🗓️ 9 Şubat Pazar (bugün) ⏰ 20.00'de 📺 Halk TV ekranlarında Kürşad Oğuz ile #ÖzelRöportaj'a konuk oluyor. Sizleri de ekran başına bekliyoruz.☀️ İYİ Parti Müsavat Dervişoğlu Kevser Ofluoğlu

Genel Başkanımız Sayın Müsavat Dervişoğlu <a href="/MDervisogluTR/">Müsavat Dervişoğlu</a>;

🗓️ 9 Şubat Pazar (bugün)
⏰ 20.00'de
📺 Halk TV ekranlarında

Kürşad Oğuz ile #ÖzelRöportaj'a konuk oluyor.

Sizleri de ekran başına bekliyoruz.☀️
<a href="/iyiparti/">İYİ Parti</a> <a href="/MDervisogluTR/">Müsavat Dervişoğlu</a> <a href="/KevserOfluoglu/">Kevser Ofluoğlu</a>