
Miranda Kusters
@mirandakusters
MD, PhD, Colorectal surgeon @AmsterdamUMC
ID: 1036258183898120192
02-09-2018 14:22:58
150 Tweet
325 Followers
60 Following

Sooo happy to see this in press! Many tx to Sean Benson Hans Prenen @HardimanKarin Miranda Kusters Laure-Anne Teuwen John Monson MD FRCS FACS FASCRS Tania Sluckin Mary Smithson @Jim_tiernan Timon Vandamme Stefano Trebeschi Gabrielle van Ramshorst, MD FECSM FEBS FSSO Lucas Vitzthum European Society of Surgical Oncology (ESSO) Society of Surgical Oncology #colorectalcancer #colorectalsurgery


Vacature alert! Per 1 juni 2022 bij de colorectale chirurgie van Amsterdam UMC. Interesse? Mail: [email protected] Miranda Kusters Sanne Hazen

Nicolas Avellaneda Hidde Kroon European Journal of Surgical Oncology George J Chang Miranda Kusters European Society of Coloproctology Sameh Emile, MD, FACS ASCRS_1 🤣 fair enuf, but it's the best we've got until LaNoReC Study is done!


(the first) Systematic review and meta-analysis of long-term oncological outcomes of lateral LND for metastatic nodes after neoadjuvant CRT in rectal cancer Tarik Sammour Hidde Kroon Miranda Kusters Nagendra Dudi-Venkata George J Chang RAH Colorectal Research Group 🫐 PelvEx bit.ly/3veCbdi


The Special Issue dedicated to Advanced Pelvic Malignancies is out! Massive kudos to Helen Mohan who edited the SI and put together a stellar team of world-renowned experts dedicated to this challenging field Full issue 👉 bit.ly/3Hs4dJk European Society of Surgical Oncology (ESSO) EYSAC BASO~The Association for Cancer Surgery



What a fantastic and well-organized meeting; thank you for the invitation! It was great meeting old friends and making new ones; looking forward to future collaborations! #RACS2023 Tarik Sammour Hidde Kroon Kjetil Søreide Songphol Malakorn JamesNgu LaNoReC Study RAH Colorectal Research Group 🫐


Update @LaNoReCstudy: the study has become a registration study, not subject to ethical restrictions, open for ALL patients with enlarged (≥7.0mm) or intermediate (5.0-6.9mm) lateral nodes with ANY neoadjuvant treatment, with a new protocol. Keen to join? [email protected]


Adequate coverage of lateral lymph nodes by routine radiotherapy is associated with considerable lateral local recurrence risk. Published in #RedJournal #laterallymphnodes #colorectalresearch #radiotherapy Tania Sluckin Sanne Hazen Miranda Kusters sciencedirect.com/science/articl…


The renewed Dutch delineation guideline has been approved by the Dutch GI radiotherapy association (LPRGE)! This guideline will guarantee uniform delineation and coverage of lateral lymph nodes in the LaNoReC study. Want to join the next online training? [email protected]


LaNoReC Study Royal Adelaide Hospital Tarik Sammour Rogier Crolla Rijnstate Zuyderland Amsterdam UMC @MeanderMC Erasmus MC Miranda Kusters If any CSSANZ units would like to join, we have completed ethics approval Royal Adelaide Hospital RAH Colorectal Research Group 🫐 and happy to help with this. Contact Tarik Sammour or Tracy Fitzsimmons for the local info.

Lateral lymph nodes during the European Society of Surgical Oncology (ESSO) 142 conference! On Thursday 26th of October the prognostic implications of the number of lateral lymph nodes and their malignant features were discussed.


On 21-11 Tania Sluckin obtained her doctoral degree by defending her thesis entitled "lateral lymph nodes in rectal cancer". This thesis stresses the importance of adequate treatment of lateral lymph nodes and the LaNoReC trial. Want to receive a PDF? Mail [email protected]





🧪 A study from Miranda Kusters and colleagues sought to determine the prognostic value of lateral #lymphnode size and malignant features - such as internal heterogeneity, irregular margins, and more - in patients with advanced #rectalcancer: buff.ly/4cwfIMG


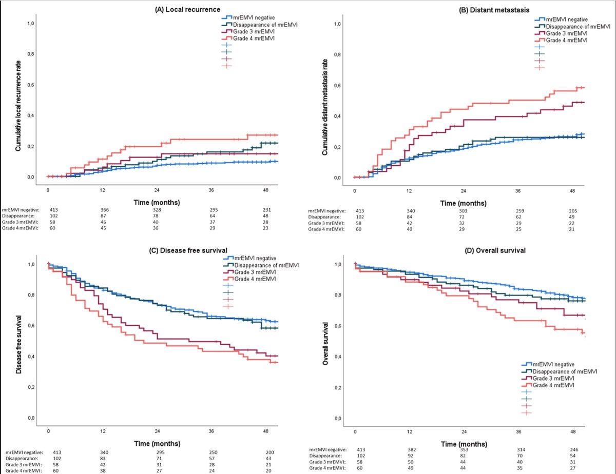
Prognostic significance of MRI-detected EMVI according to grade and response to neo-adjuvant treatment in LARC - A🇳🇱cohort study after radiologic training and reassessment Miranda Kusters Sanne Hazen Regina Beets-Tan European Society of Surgical Oncology (ESSO) European Society of Coloproctology ESGAR Isacco Montroni bit.ly/44Kt7x7
