めんたいこ🍃🌸⚒@社不 (@menzacoco) 's Twitter Profile
めんたいこ🍃🌸⚒@社不

@menzacoco

東方もホロも新参の中高生 趣味 東方 ホロ アニメ ラノベ 曲 低浮上エロ垢はDMしてきたらブロックします※職業垢も サブ垢(無浮上)@mentaicoLv0

ID: 1768299244564484097

calendar_today14-03-2024 15:33:03

4,4K Tweet

1,1K Followers

2,2K Following

めんたいこ🍃🌸⚒@社不 (@menzacoco) 's Twitter Profile Photo

物理でやる力の合成・分解を数学的に理解したくて「行列・ベクトル」を教科書買って勉強してるけどバカおもろいなこれ

めんたいこ🍃🌸⚒@社不 (@menzacoco) 's Twitter Profile Photo

ゼロ除算は危ないと思ってきたけど、積分の場合は基本的には大丈夫なのか(基本的には) それに危ないことには変わりないからできるだけやめとこ

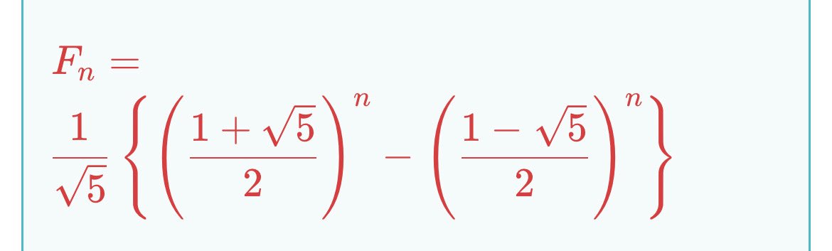
めんたいこ🍃🌸⚒@社不 (@menzacoco) 's Twitter Profile Photo

自分で周期連分数の性質にたどり着けてバカ気持ちいい 数学ってオイラーの公式とか見てふつくしい!! ってなるのも良きかなだけど、 自分でたどり着いた時の快感に勝る物はないよな

めんたいこ🍃🌸⚒@社不 (@menzacoco) 's Twitter Profile Photo

>>将来の夢<< >>数学で博士取る<< ゼミどこに行きたいかは決めてねぇ 中学生だぞ!大学1年でも決めてる奴少ない (偏見)を決めれるわけねえだろ!