May Lab (@maylabuh) 's Twitter Profile
May Lab

@maylabuh

May the intramolecular force be with you! Research @ U of H- Natural Product Total Synthesis, Methodology and Organometallic Catalysis. Student-run Twitter.

ID: 955937715614253056

linkhttp://may.chem.uh.edu/ calendar_today23-01-2018 22:58:06

193 Tweet

907 Followers

210 Following

May Lab (@maylabuh) 's Twitter Profile Photo

We caught a new friend! Now if only he had a CAS number... (the kimwipe is for food, we read they eat paper, any #biologists can confirm?) #realtimechem

We caught a new friend! Now if only he had a CAS number... (the kimwipe is for food, we read they eat paper, any #biologists can confirm?) #realtimechem
May Lab (@maylabuh) 's Twitter Profile Photo

Group meeting mechanism from last week, in case you need a challenge while you’re home! Our answer soon! #mechproblem #RealTimeChem

Group meeting mechanism from last week, in case you need a challenge while you’re home! Our answer soon! #mechproblem #RealTimeChem
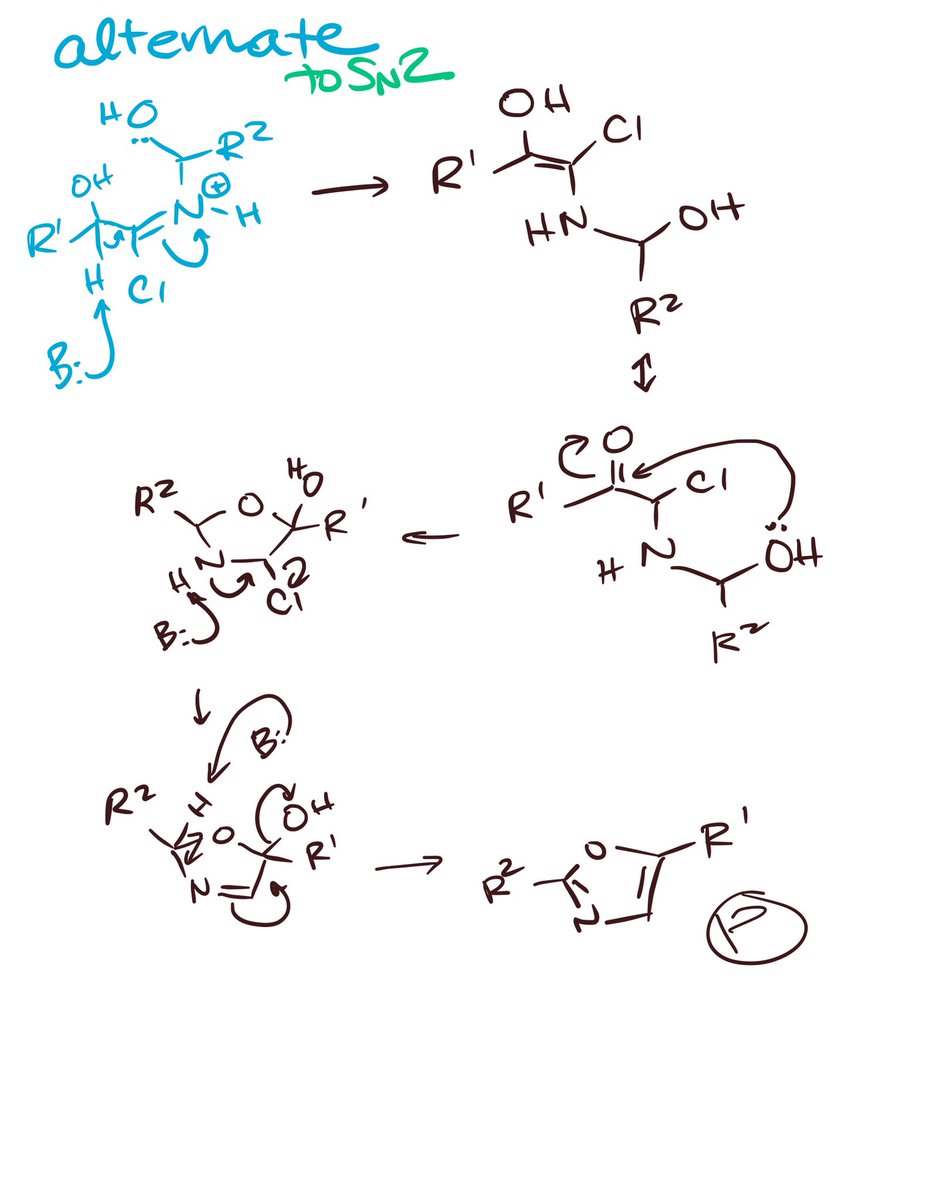
May Lab (@maylabuh) 's Twitter Profile Photo

Here’s our answer - two ways. From Dr. Jie Jack Li’s Name Reactions book. One solution is from the book and the other is our take. Another mechanism coming at you tomorrow!

Here’s our answer - two ways. From Dr. Jie Jack Li’s Name Reactions book. One solution is from the book and the other is our take. Another mechanism coming at you tomorrow!
ACS Organic Division (@acsorganic) 's Twitter Profile Photo

With so many people sequestered at home, away from work and the lab, we have decided to unlock ALL of our members only video content (past NOS Lecture Videos and Past Virtual Symposia). We hope this will help you stay engaged during this difficult time. zcu.io/I9Ar

May Lab (@maylabuh) 's Twitter Profile Photo

Small upside: since we’re all house-bound now, we finally got a chance to launch our May Group D&D campaign! Boss is DMing. Life imitates art. Dungeons & Dragons #dungeonsanddragons