
Mark M. Wilde
@markwilde
Associate Professor of Electrical and Computer Engineering at Cornell University - @CornellECE @CornellEng @Cornell
ID: 31390522
http://markwilde.com 15-04-2009 11:58:34
3,3K Tweet
4,4K Followers
369 Following

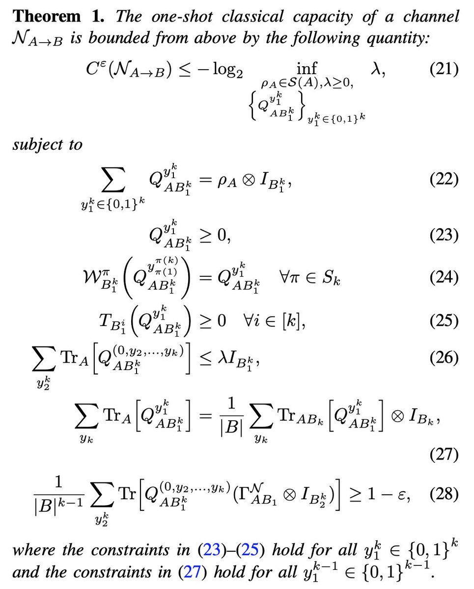
Joint work with Vishal Singh and Theshani Nuradha now available on the arXiv: arxiv.org/abs/2412.18556 We define the notion of extendible quantum measurements and use it to establish limitations on classical communication over quantum channels.



