Vasiliki Tsampasian (@justvick) 's Twitter Profile
Vasiliki Tsampasian

@justvick

Cardiology trainee.
Love sun, food and swimming 🏊‍♀️

ID: 45432525

calendar_today07-06-2009 21:54:44

1,1K Tweet

612 Takipçi

1,1K Takip Edilen

Buket Akıncı (@ptbuketakinci) 's Twitter Profile Photo

🎙️ LIVE in #ESCCongress 2025 and simultaneously published in #EJPC 💊 Can lipid-lowering therapy help people aged ≥75 without CVD live longer? 📃 US cohort study (>6,400 participants) ⬇️ 26% lower all-cause mortality ⬇️ 36% lower CV mortality ➕ ~1.6 years longer survival 🔗

🎙️ LIVE in #ESCCongress 2025 and simultaneously published in #EJPC 
💊 Can lipid-lowering therapy help people aged ≥75 without CVD live longer?
📃 US cohort study (>6,400 participants)
⬇️ 26% lower all-cause mortality
⬇️ 36% lower CV mortality
➕ ~1.6 years longer survival
🔗
Dr. Martha Gulati ♥️🫀❤️‍🩹🇨🇦 (@drmarthagulati) 's Twitter Profile Photo

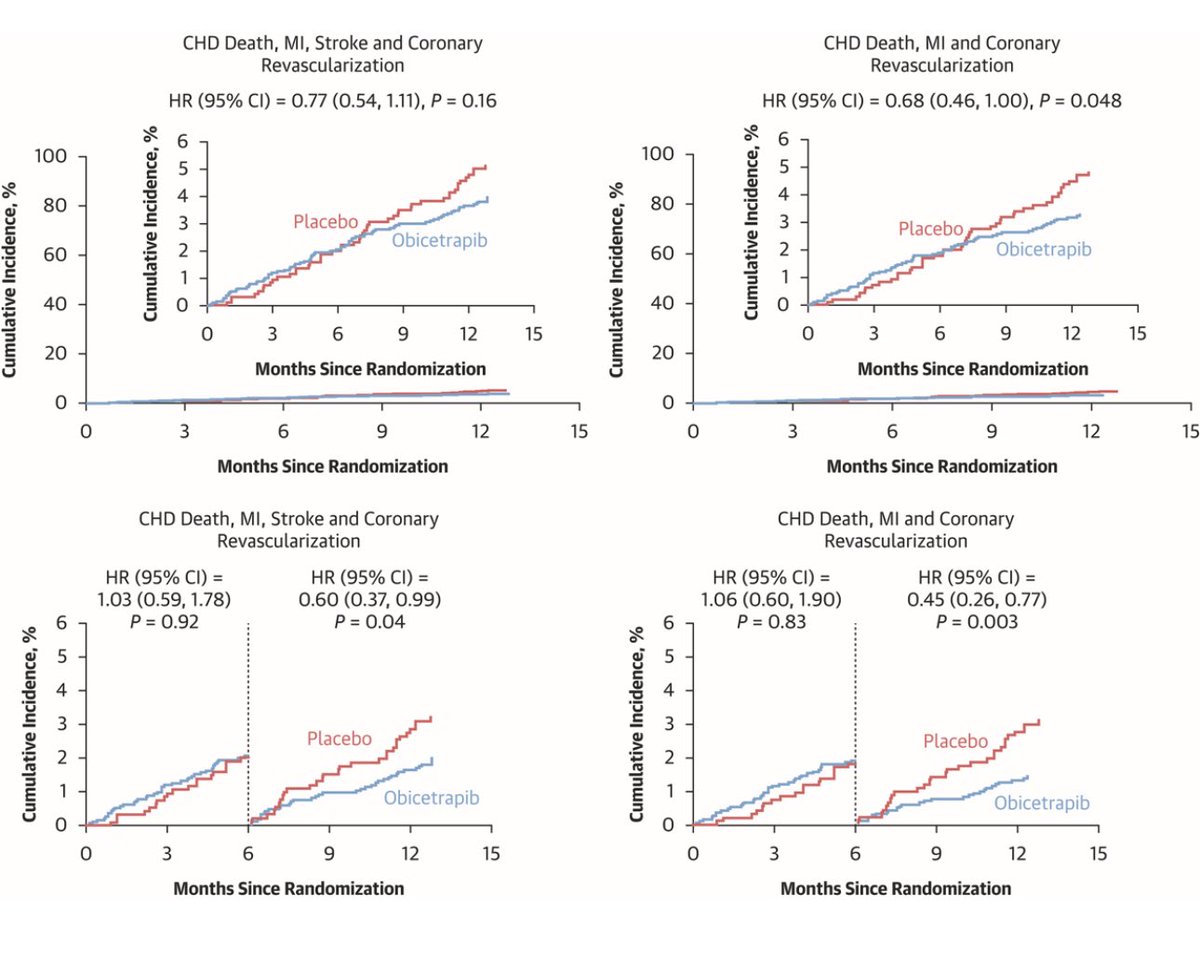
#CEPT inhibitors making a comeback! #ESCCongress Impact of Obicetrapib on Major Adverse Cardiovascular Events in High-Risk Patients 📍pooled analysis: 2884 pts, mean age 66y, 36%💃🏻, 82% ASCVD, RCT 10 mg obicetrap 🆚 placebo: •LDL‑C ↓ by –37.8% 🆚 –4.6% •ApoB ↓ by –21.7% 🆚

#CEPT inhibitors making a comeback!
#ESCCongress 
Impact of Obicetrapib on Major Adverse Cardiovascular Events in High-Risk Patients
📍pooled analysis: 2884 pts, mean age 66y, 36%💃🏻, 82% ASCVD, RCT 10 mg obicetrap 🆚 placebo:
•LDL‑C ↓ by –37.8% 🆚 –4.6%
•ApoB ↓ by –21.7% 🆚
Vass Vassiliou (@vass_vassiliou) 's Twitter Profile Photo

Am so delighted about our Official European Society of Cardiology Statement on Long COVID #covid #longcovid - we discuss evidence available, investigation pathways, treatments, #vaccines, carciac rehab & more- in EJPC Editor-in-Chief Definitely worth a read! 🙏 to coauthors academic.oup.com/eurjpc/advance… Pls RT!

Am so delighted about our Official <a href="/escardio/">European Society of Cardiology</a> Statement on Long COVID #covid #longcovid - we discuss evidence available, investigation pathways, treatments, #vaccines, carciac rehab &amp; more- in <a href="/EJPCEiC/">EJPC Editor-in-Chief</a> Definitely worth a read!  
🙏 to coauthors

academic.oup.com/eurjpc/advance…

Pls RT!
EACVI President (@eacvipresident) 's Twitter Profile Photo

🚨 New Consensus Statement 🚨 Cardiovascular disease prevention & management in COVID-19 – published by #EAPC #EACVI #ACNAP #EAPCI & #HFA of the European Society of Cardiology. 📖 Read academic.oup.com/eurjpc/advance… EAPCPresident ACNAPPresident EAPCIPresident HFAPresident

🚨 New Consensus Statement 🚨

Cardiovascular disease prevention &amp; management in COVID-19 – published by #EAPC #EACVI #ACNAP #EAPCI &amp; #HFA of the <a href="/escardio/">European Society of Cardiology</a>.

📖 Read academic.oup.com/eurjpc/advance…

<a href="/EAPCPresident/">EAPCPresident</a> <a href="/ACNAPPresident/">ACNAPPresident</a> <a href="/EAPCIPresident/">EAPCIPresident</a> <a href="/HFA_President/">HFAPresident</a>
Sarah Moharem Elgamal, MBBCh, MSc, PhD👩🏻‍⚕️🫀 (@sarah_moharem) 's Twitter Profile Photo

📢 Save the Date! #EACVI2025 | 11–13 Dec 2025 | Vienna 🇦🇹 Uniting #Echocardiography, #CMR, #CardiacCT & #NuclearCardiology 🌍 Building on EuroEcho-Imaging, ICNC-CT & EuroCMR ✨ Join us! 🩷 esc365.escardio.org/EACVI-Congress Early registration ends 30/09! EACVI President Victoria Delgado

EJPC Editor-in-Chief (@ejpceic) 's Twitter Profile Photo

Both Haemodynamic Gain Index and peak rate-pressure product are predictors of mortality in patients with chronic HF and may be tools to signal the need for advanced HF therapy evaluation 🔍 academic.oup.com/eurjpc/article… European Society of Cardiology Victor Aboyans Silvia Castelletti Francesco Perone #cvprev

Both Haemodynamic Gain Index and peak rate-pressure product are predictors of mortality in patients with chronic HF and may be tools to signal the need for advanced HF therapy evaluation
🔍 academic.oup.com/eurjpc/article…
<a href="/escardio/">European Society of Cardiology</a> <a href="/AboyansV/">Victor Aboyans</a> <a href="/SilCastelletti/">Silvia Castelletti</a> <a href="/PeroneFrancesco/">Francesco Perone</a> #cvprev
EJPC Editor-in-Chief (@ejpceic) 's Twitter Profile Photo

📌Baseline nitric oxide (NO) metabolite profile is unfavourable in patients with HF and lower VO2peak or higher NT-proBNP 🚫No significant influence of HIIT or MCT on NO metabolites at 3 and 12 months academic.oup.com/eurjpc/article… European Society of Cardiology Victor Aboyans Silvia Castelletti Francesco Perone

📌Baseline nitric oxide (NO) metabolite profile is unfavourable in patients with HF and lower VO2peak or higher NT-proBNP 
🚫No significant influence of HIIT or MCT on NO metabolites at 3 and 12 months
academic.oup.com/eurjpc/article…
<a href="/escardio/">European Society of Cardiology</a> <a href="/AboyansV/">Victor Aboyans</a> <a href="/SilCastelletti/">Silvia Castelletti</a> <a href="/PeroneFrancesco/">Francesco Perone</a>
Dr. Martha Gulati ♥️🫀❤️‍🩹🇨🇦 (@drmarthagulati) 's Twitter Profile Photo

A1: No, Familial Hypercholesterolemia (FH) is not a rare condition; in fact, it is one of the most common genetic disorders, affecting about 1 in 250 people globally and up to 1.3 million people in the U.S. alone #KnowFH #FHAwarenessDay ASPC

EJPC Editor-in-Chief (@ejpceic) 's Twitter Profile Photo

In community-dwelling older adults without anaemia, lower plasma hepcidin levels associate with a higher risk of incident HF (particularly HFpEF) and diastolic dysfunction 🧓👵 💻academic.oup.com/eurjpc/article… European Society of Cardiology Victor Aboyans Silvia Castelletti Francesco Perone Vasiliki Tsampasian Buket Akıncı

In community-dwelling older adults without anaemia, lower plasma hepcidin levels associate with a higher risk of incident HF (particularly HFpEF) and diastolic dysfunction 🧓👵
💻academic.oup.com/eurjpc/article…
<a href="/escardio/">European Society of Cardiology</a> <a href="/AboyansV/">Victor Aboyans</a> <a href="/SilCastelletti/">Silvia Castelletti</a> <a href="/PeroneFrancesco/">Francesco Perone</a> <a href="/justvick/">Vasiliki Tsampasian</a> <a href="/PTBuketAkinci/">Buket Akıncı</a>
EJPC Editor-in-Chief (@ejpceic) 's Twitter Profile Photo

The global cardiovascular disease (CVD) burden is expected to rise in the next few decades, driven primarily by an ageing populace worldwide. High blood pressures, dietary risks, and high cholesterol are the predominant risk factors expected to drive CVD. academic.oup.com/eurjpc/article…

The global cardiovascular disease (CVD) burden is expected to rise in the next few decades, driven primarily by an ageing populace worldwide. 
High blood pressures, dietary risks, and high cholesterol are the predominant risk factors expected to drive CVD.
academic.oup.com/eurjpc/article…
EJPC Editor-in-Chief (@ejpceic) 's Twitter Profile Photo

✅Increasing numbers of modifiable lifestyle risk factors (modLRF) are associated with elevated concentrations of hsTnT and I ✅The predictive capability of troponins varies according to the presence of modLRF academic.oup.com/eurjpc/article… European Society of Cardiology Victor Aboyans Silvia Castelletti #cvprev

✅Increasing numbers of modifiable lifestyle risk factors (modLRF) are associated with elevated concentrations of hsTnT and I 
✅The predictive capability of troponins varies according to the presence of modLRF
academic.oup.com/eurjpc/article…
<a href="/escardio/">European Society of Cardiology</a> <a href="/AboyansV/">Victor Aboyans</a> <a href="/SilCastelletti/">Silvia Castelletti</a> #cvprev
Michael Spartalis (@mspartalis5) 's Twitter Profile Photo

🏊 Paddling Through Palpitations – European Society of Cardiology #EAPC Test Your Knowledge ✔️ Case-based challenges that sharpen instinct ✔️ Palpitations in the context of cardiovascular risk ✔️ Active learning: think, decide, reflect ♥️ Recommended for EP, preventive & general cardiology.

🏊 Paddling Through Palpitations – <a href="/escardio/">European Society of Cardiology</a> #EAPC Test Your Knowledge

✔️ Case-based challenges that sharpen instinct
✔️ Palpitations in the context of cardiovascular risk
✔️ Active learning: think, decide, reflect

♥️ Recommended for EP, preventive &amp; general cardiology.
European Society of Cardiology Journals (@esc_journals) 's Twitter Profile Photo

📢 New study in EJPC: “One-year treatment trajectories of patients with statin intolerance: results from a multicentre registry” 🩺39% still report pain, 75% miss LDL targets, and women receive fewer treatment escalations. 👉 Read the full article: tinyurl.com/3nnuv23b

Anna Kate Barton (@annakatebarton) 's Twitter Profile Photo

Mitral annular dysjunction-associated fibrosis on #WhyCMR 🩻 Learn how to spot scar in this condition in this excellent paper published in EHJ-IMP Editor-in-Chief 🤩 1/4 patients with MAD = basal inferolateral scar Alessia Gimelli Victoria Delgado Pablo Pérez López academic.oup.com/ehjimp/article…

EJPC Editor-in-Chief (@ejpceic) 's Twitter Profile Photo

🩺💻 A #telemedicine-based lipid-lowering strategy helped 82.6% of post-ACS patients reach LDL-c targets (<55 mg/dL) in just 3.2 months with improved #lipidcontrol and reduced #cardiovascular mortality. 🔗 tinyurl.com/kew86u62

🩺💻 A #telemedicine-based lipid-lowering strategy helped 82.6% of post-ACS patients reach LDL-c targets (&lt;55 mg/dL) in just 3.2 months with improved #lipidcontrol and reduced #cardiovascular mortality.
🔗 tinyurl.com/kew86u62
EJPC Editor-in-Chief (@ejpceic) 's Twitter Profile Photo

💥 The “Global Leadership Initiative on Sarcopenia (GLIS)” model redefines sarcopenia not just by muscle mass or strength, but by clinical outcomes. 🏥 In 891 older HF patients, GLIS-defined sarcopenia=3.4×⬆️ 2-year mortality. 🚨 Prognosis matters! 🔗 tinyurl.com/37h25pja

💥 The “Global Leadership Initiative on Sarcopenia (GLIS)” model redefines sarcopenia not just by muscle mass or strength, but by clinical outcomes.
🏥 In 891 older HF patients, GLIS-defined sarcopenia=3.4×⬆️ 2-year mortality. 
🚨 Prognosis matters!
🔗  tinyurl.com/37h25pja