
Lipscomb EXNS
@lu_exns
Lipscomb University’s M.S. in Exercise and Nutrition Science (EXNS) is a 36 hour program that combines the disciplines of Exercise Science and Nutrition.
ID: 425922128
http://exns.lipscomb.edu/ 01-12-2011 16:17:27
270 Tweet
210 Takipçi
775 Takip Edilen

Study: Blood type doesn't affect weight loss in vegan diet sbne.ws/r/FVwK #eatyourveggies #movemore Lipscomb EXNS Eat Right Tennessee

Exercising 11 minutes per day could lengthen your life sbne.ws/r/FUIi #movemore and #eatyourveggies Lipscomb EXNS

"Whole eggs may be preferable during RT programs geared toward the improvement of muscular STR & body fat %" Whole Egg Vs. Egg White Ingestion During 12 wks of RT in Trained Young Males Reza Bagheri Scott Forbes Darren Candow, PhD, CSEP-CEP, FISSN Andy Galpin, PhD Rick Kreider, PhD tinyurl.com/y5chk6m6




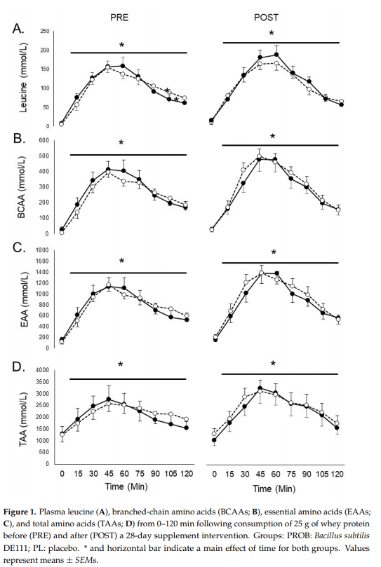
Cool work out of Lipscomb EXNS showing that 28 days of Bacillus subtilis DE111 does not affect plasma AA appearance following acute whey protein ingestion doi.org/10.3390/jfmk60…




"Immobilization ⬇️ postabsorptive mTORC1 pathway activation & 20g/day of PRO Supp attenuated the ⬇️ in phosphorylation of targets regulating MPS." Vandré C. Figueiredo doi.org/10.1152/ajpcel…


Oily fish, fish oil supplements may reduce T2D risk sbne.ws/r/GaN1 Got salmon? #eatyourfish #loweryourrisk #fishoilworkstoo #evidencebasedRDs Lipscomb EXNS Eat Right Tennessee



#NationalNutritionMonth spotlights Lipscomb’s Department of Nutrition and Kinesiology Lipscomb EXNS lipscomb.edu/news/national-…

Beetroot juice improves vascular, cognitive health sbne.ws/r/GGsz #eatright #movemore Lipscomb EXNS Eat Right Tennessee

Big thanks to Lipscomb EXNS for the shirt. Enjoyed speaking to them about protein and resistance exercise physiology.



Study: Phytochemical-rich foods may cut CVD risk in T1D sbne.ws/r/Hxjp Yet another reason for dark chocolate and berries! #eatwell #movemore Eat Right Tennessee Lipscomb EXNS

Out of the mouths of students: “You cannot heal in the same environment that made you sick.” “Everyone eats, so everyone assumes they know how to eat.” #BuildUpRDNs #Stand4Science #Eatforbetterhealth #LipscombDietetics Lipscomb EXNS

Assistant Professor of Nutrition Tracy Noerper's food pantry research was featured in Christianity Today Lipscomb EXNS lipscomb.edu/news/food-pant…