Isis N O Souza (@isis_nos) 's Twitter Profile
Isis N O Souza

@isis_nos

Neuroscientist - Prof @ufrj - eat 🍲 research 🔬 travel ✈️

ID: 1290317875891273728

calendar_today03-08-2020 16:05:44

161 Tweet

110 Followers

160 Following

EMBO Lab Leadership (@lifescilearn) 's Twitter Profile Photo

We're hiring! If you want to join our great #EMBOLabLead team as a 1. trainer or 2. a strategist/project manager, do apply 🙏. We'd love to talk about how you could contribute to our work with life scientists: Trainer: linkedin.com/jobs/view/3533… Strategist: linkedin.com/jobs/view/3533…

We're hiring! If you want to join our great #EMBOLabLead team as a 1. trainer or 2. a strategist/project manager, do apply 🙏. We'd love to talk about how you could contribute to our work with life scientists: Trainer: linkedin.com/jobs/view/3533…  Strategist:  linkedin.com/jobs/view/3533…
Isis N O Souza (@isis_nos) 's Twitter Profile Photo

Huge honor to present my postdoctoral research on cortical inhibition modulation by D-serine at the #ISNESN2023! Thank you for everyone who stopped by! #WeAreNeurochemistry ❤️

Huge honor to present my postdoctoral research on cortical inhibition modulation by D-serine at the #ISNESN2023! Thank you for everyone who stopped by! #WeAreNeurochemistry ❤️
Mychael Lourenco (@mvlourenco) 's Twitter Profile Photo

Proud to share our new paper @BrainComms led by Ricardo Lima Filho and Andrea L. Benedet with Eduardo Zimmer 🦋. In this work, we show that a SNP in the FNDC5 gene (codes for irisin) associates with reduced brain glucose metabolism in elderly humans. Check it out and RT! academic.oup.com/braincomms/art…

Isis N O Souza (@isis_nos) 's Twitter Profile Photo

Happy to share our review on glutamatergic damage from flaviviral infections fresh out on Journal of Neurochemistry! Let's continue to push the field! 💪❤️ onlinelibrary.wiley.com/doi/full/10.11…

Mychael Lourenco (@mvlourenco) 's Twitter Profile Photo

Estamos com uma possibilidade de bolsa para pesquisador de pós-doutorado em nosso laboratório no IBqM-UFRJ UFRJ. Por favor, RT e divulguem para potenciais interessados!

Estamos com uma possibilidade de bolsa para pesquisador de pós-doutorado em nosso laboratório no <a href="/IBqMUFRJ/">IBqM-UFRJ</a> <a href="/ufrj/">UFRJ</a>. Por favor, RT e divulguem para potenciais interessados!
Nature Portfolio (@natureportfolio) 's Twitter Profile Photo

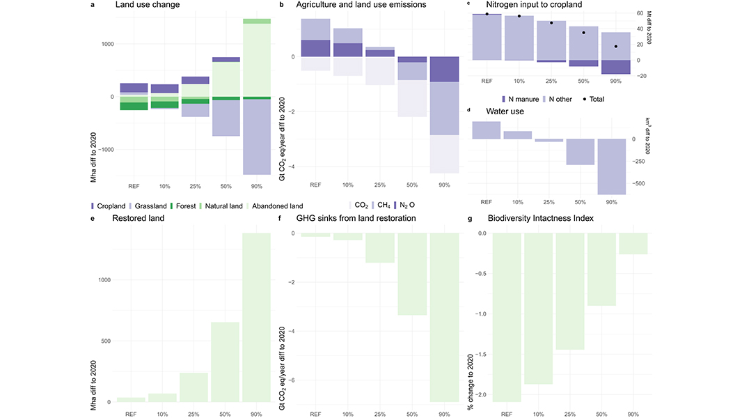
Substituting 50% of pork, beef, chicken, and milk consumption with plant-based products could reduce global agriculture and land-use green house gas emissions by 31% in 2050 compared to 2020, suggests a paper published in Nature Communications. go.nature.com/3rb9M9l

Substituting 50% of pork, beef, chicken, and milk consumption with plant-based products could reduce global agriculture and land-use green house gas emissions by 31% in 2050 compared to 2020, suggests a paper published in <a href="/NatureComms/">Nature Communications</a>. go.nature.com/3rb9M9l
Isis N O Souza (@isis_nos) 's Twitter Profile Photo

My first posdoc baby is out at Trends in Molecular Medicine: D-AAs is a growing research field and I hope you get as amazed by them as I am! There is a little bit for everyone: Alzheimer's, Parkinson's, schizophrenia, ASD, chronic pain, ischemias...

My first posdoc baby is out at <a href="/TrendsMolecMed/">Trends in Molecular Medicine</a>: D-AAs is a growing research field and I hope you get as amazed by them as I am! There is a little bit for everyone: Alzheimer's, Parkinson's, schizophrenia, ASD, chronic pain, ischemias...
felipe campos (@felipecr15) 's Twitter Profile Photo

Excited to share our paper Communications Biology reporting impaired brain proteasome function and subcellular mislocalization in several Alzheimer's disease models. Proteasome inhibition recapitulates key features of Alzheimer's disease. nature.com/articles/s4200… #endalz Alzforum

SBPC (@sbpcnet) 's Twitter Profile Photo

Estão abertas as matrículas do 7º ciclo de webminicursos da SBPC. A cada bimestre são relançados webminicursos de várias áreas do conhecimento e temas contemporâneos, ministrados por professores de diversas instituições do País. Matricule-se! cursos.sbpcnet.org.br

Estão abertas as matrículas do 7º ciclo de webminicursos da SBPC. A cada bimestre são relançados webminicursos de várias áreas do conhecimento e temas contemporâneos, ministrados por professores de diversas instituições do País. Matricule-se! cursos.sbpcnet.org.br
Mychael Lourenco (@mvlourenco) 's Twitter Profile Photo

Estanos buscando candidatos a bolsa técnica TCT FAPERJ 40h para trabalhar conosco na UFRJ. Por favor, divulguem a potenciais candidatos!

Estanos buscando candidatos a bolsa técnica TCT FAPERJ 40h para trabalhar conosco na <a href="/ufrj/">UFRJ</a>. Por favor, divulguem a potenciais candidatos!
Isis N O Souza (@isis_nos) 's Twitter Profile Photo

Dando o pontapé inicial no meu grupo de pesquisa independente! ❤️ Também estou buscando alunos de mestrado no mesmo tema, entrem em contato!

Dando o pontapé inicial no meu grupo de pesquisa independente! ❤️ Também estou buscando alunos de mestrado no mesmo tema, entrem em contato!
Isis N O Souza (@isis_nos) 's Twitter Profile Photo

Devido a procura ALTÍSSIMA, estou encerrando o processo seletivo! Queria poder chamar todo mundo, mas não tem como 🥺 Obrigada a todos que mandaram e-mail, fiquem ligados para a seleção do próximo semestre! ❤️

Isis N O Souza (@isis_nos) 's Twitter Profile Photo

Quer abrir uma empresa e não sabe onde começar? A Dra. Thalissa Pádua Gilaberte, da incubadora Inyaga de impactos socioambientais, ministrará uma palestra nesta quinta-feira, dia 4 de Abril, as 12h, no auditório do PCM. Aguardamos você!! 📊📈👩🏽‍🔬🧑🏻‍🔬 #inovaICB

Quer abrir uma empresa e não sabe onde começar? A Dra. Thalissa Pádua Gilaberte, da incubadora Inyaga de impactos socioambientais, ministrará uma palestra nesta quinta-feira, dia 4 de Abril, as 12h, no auditório do PCM. Aguardamos você!! 📊📈👩🏽‍🔬🧑🏻‍🔬 #inovaICB
Giuseppe Gangarossa 🧠🧑‍🔬🇪🇺🏳️‍🌈 (@peppeganga) 's Twitter Profile Photo

Happy to share this story, which sparked by reading the inspiring articles PMID: 29426666 (Olivia O'Leary, John F. Cryan) and PMID: 29872139 (Andrea N Suarez, Scott Kanoski, Guillaume de Lartigue). Congrats to Oriane and all the amazing co-authors 🥳 Université Paris Cité biorxiv.org/content/10.110…

Isis N O Souza (@isis_nos) 's Twitter Profile Photo

A Agência FAPESP é fundamental para a manutenção da excelência das instituições de pesquisa do Estado de São Paulo! As ameaças de corte orçamentário são uma afronta a toda a pesquisa científica brasileira.