 
                                Jairo Hidalgo Migueles
@jairohm8
Independent researcher and consultant
ID: 987455653
https://www.jhmigueles.com/ 03-12-2012 21:18:57
1,1K Tweet
649 Followers
483 Following
 
         
        🆕Coming Soon! Explore the raw data (acceleration signals and various sampling rates) comparability of popular research-grade accelerometers in this new study. Abstract available now, full text coming soon! #Accelerometry #Research #DataAnalysis Annelinde Lettink Teatske Altenburg Jeugd & Gezondheid
 
                        
                    
                    
                    
                 
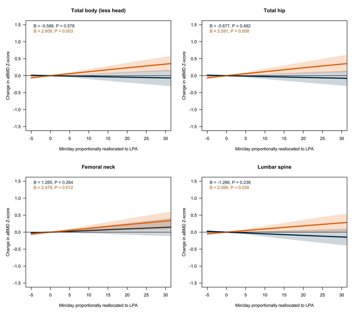
        🛎️ Check now the June Issue of Medicine & Science in Sports & Exercise highlighting that Every Move Counts to Improve Bone Health at Clinical Sites in Young Pediatric Cancer Survivors! journals.lww.com/acsm-msse/page… Jairo Hidalgo Migueles Francisco B. Ortega Jonatan R Ruiz Luis Gracia Marco PROFITH UGR Universidad Granada Ciencias Deporte UGR
 
                        
                    
                    
                    
                 
        📖 Actividades física y salud ósea en supervivientes de cáncer infantil. ➡️ Nuestro artículo en el TOP 3 de este mes de Med Sci Sport Exerc Link: journals.lww.com/acsm-msse/page… PROFITH UGR Ciencias Deporte UGR
 
                        
                    
                    
                    
                 
        We have #EarlyCareer invited speakers at #ICAMPAM2024 in Rennes 😀 Jairo Migueles Jairo Hidalgo Migueles will be talking about Developing Tools to Decipher Wearable Sensor Data. Don't forget to register for #ICAMPAM2024 at ismpb.org/registration/ Read more about Jairo jhmigueles.com
 
        Very happy to share our last work! Now in #ObesityJournal The Obesity Society 🚀 Physical activity during the evening (i.e., 18:00 to 00:00) appears to have a beneficial effect on glucose homeostasis in sedentary adults with overweight or obesity🚶🕤🌃 onlinelibrary.wiley.com/doi/full/10.10…
 
        Workshop 2 on ML-based algorithms in accelerometer-based #PhysicalActivity measurement with Matthew Ahmadi and Jairo Hidalgo Migueles #ICAMPAM2024
 
                        
                    
                    
                    
                 
         
         
         
         
         
         
        Can older people do the same amount of moderate-to-vigorous #physicalactivity than younger people? Jairo Hidalgo Migueles and colleagues bring this new approach that considers age-sex to establish intensity cut-points. sciencedirect.com/science/articl…
 
                        
                    
                    
                    
                 
         
         
        𝐂𝐚𝐧 𝐚 𝐬𝐢𝐧𝐠𝐥𝐞 𝟕-𝐝𝐚𝐲 𝐚𝐜𝐜𝐞𝐥𝐞𝐫𝐨𝐦𝐞𝐭𝐞𝐫 𝐦𝐞𝐚𝐬𝐮𝐫𝐞𝐦𝐞𝐧𝐭 𝐜𝐚𝐩𝐭𝐮𝐫𝐞 𝐡𝐚𝐛𝐢𝐭𝐮𝐚𝐥 𝐩𝐡𝐲𝐬𝐢𝐜𝐚𝐥 𝐚𝐜𝐭𝐢𝐯𝐢𝐭𝐲 𝐚𝐧𝐝 𝐬𝐥𝐞𝐞𝐩 𝐩𝐚𝐭𝐭𝐞𝐫𝐧𝐬? Preprint: medrxiv.org/content/10.110…  Great work by Charilaos Zisou. Feedback welcome! 1/2
 
         
         
                         
                         
                         
                         
                        