Equipo de Propulsión Espacial y Plasmas (@ep2lab) 's Twitter Profile
Equipo de Propulsión Espacial y Plasmas

@ep2lab

News from the space propulsion and plasmas research group (Equipo de Propulsión Espacial y Plasmas, EP2) at Universidad Carlos III de Madrid.

ID: 963409339292807168

linkhttp://ep2.uc3m.es calendar_today13-02-2018 13:47:40

313 Tweet

260 Followers

98 Following

UC3M - PhD Program in Aerospace Engineering (@phdaerouc3m) 's Twitter Profile Photo

🚀 Join us for our #PhD #OpenDay on April 17th! Information Link: uc3m-phd-aerospace.es/2024/04/09/phd… 🔎Discover our Aerospace Engineering UC3M PhD program, meet faculty, explore predoctoral positions, and learn from alumni experiences. Don't miss this chance to shape your future with us!

Equipo de Propulsión Espacial y Plasmas (@ep2lab) 's Twitter Profile Photo

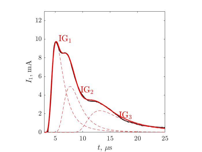
🎉#JustPublished "Pulsed plasma thruster exhaust reconstruction" 🖋️S.Barquero,Jaume Navarro,Mario Merino Intrducing an analysis technique w/ higher accuracy&insight than ToF analysis based on direct feature correlation. Funds: Comunidad de Madrid,Agencia Estatal de Investigación 👀t.ly/tFycE

🎉#JustPublished "Pulsed plasma thruster exhaust reconstruction"
🖋️S.Barquero,<a href="/jaumenc/">Jaume Navarro</a>,<a href="/mmerinomartinez/">Mario Merino</a>
Intrducing an analysis technique w/ higher accuracy&amp;insight than ToF analysis based on direct feature correlation.
Funds: <a href="/ComunidadMadrid/">Comunidad de Madrid</a>,<a href="/AgEInves/">Agencia Estatal de Investigación</a> 
👀t.ly/tFycE
Equipo de Propulsión Espacial y Plasmas (@ep2lab) 's Twitter Profile Photo

🚨Deadline extended until early May! 🚨 #JoinUs in analyzing instabilities and turbulence in plasma thrusters using machine learning tools. 👩‍💻 Send us you application as indicated👇 #AcademicPositions #PhDposition #ElectricPropulsion #MachineLearning

🚨Deadline extended until early May! 🚨 #JoinUs in analyzing instabilities and turbulence in plasma thrusters using machine learning tools.

👩‍💻 Send us you application as indicated👇 #AcademicPositions #PhDposition #ElectricPropulsion #MachineLearning
Equipo de Propulsión Espacial y Plasmas (@ep2lab) 's Twitter Profile Photo

Last week, our Eduardo Ahedo participated at the final dissemination and networking event of the project ASPIRE H2020 on a high-power Hall effect thruster. He summarized our team's achievements on an Alternative Qualification Strategy carried out in the framework of the project.

Equipo de Propulsión Espacial y Plasmas (@ep2lab) 's Twitter Profile Photo

We are honoured to attend the talk of Victor Désangles, our guest & researcher at ONERA - The French Aerospace Lab. His talk is being livestreamed 👉media.uc3m.es/live/event/621… #ECRT #ElectricPropulsion #PlasmaThrusters

We are honoured to attend the talk of Victor Désangles, our guest &amp; researcher at ONERA - The French Aerospace Lab. His talk is being livestreamed 👉media.uc3m.es/live/event/621…

#ECRT #ElectricPropulsion #PlasmaThrusters
ERC project ZARATHUSTRA (@erc_zarathustra) 's Twitter Profile Photo

Congratulations Dr Pedro Jiménez ! 🚀Pedro successfully defended his PhD thesis "Analysis of the wave-plasma interaction in electrodeless plasma thrusters", supervised by Mario Merino & E.Ahedo. #ElectricPropulsion #PhDone UC3M UC3M - PhD Program in Aerospace Engineering

Congratulations Dr <a href="/peter96j/">Pedro Jiménez</a> ! 🚀Pedro successfully defended his PhD thesis "Analysis of the wave-plasma interaction in electrodeless plasma thrusters", supervised by <a href="/mmerinomartinez/">Mario Merino</a> &amp; E.Ahedo.
#ElectricPropulsion #PhDone <a href="/uc3m/">UC3M</a> <a href="/PhDAeroUC3M/">UC3M - PhD Program in Aerospace Engineering</a>
ERC project ZARATHUSTRA (@erc_zarathustra) 's Twitter Profile Photo

🚀Célian Boyé, member of the ZARATHUSTRA team, is currently on a research stay at the ICARE Laboratory of CNRS 🌍. Find out more about his progress testing the 3rd prototype of the Magnetic Arch Thruster 👉 erc-zarathustra.uc3m.es/2024/04/16/tes… UC3M - PhD Program in Aerospace Engineering Equipo de Propulsión Espacial y Plasmas

UC3M - PhD Program in Aerospace Engineering (@phdaerouc3m) 's Twitter Profile Photo

The Doctoral Meetings 2024 are just around the corner! The perfect opportunity to find out what our doctoral students are working on. We look forward to seeing you at: ⬇ Salón de Grados (Leganés) 📅 20th, 22nd, 24th & 30th of May 2024 ⏰ 10:00 - 15:00 🔗uc3m-phd-aerospace.es/2024/05/08/doc…

ERC project ZARATHUSTRA (@erc_zarathustra) 's Twitter Profile Photo

Want to join us? Discover plasma space propulsion & contribute to the field!🚀We have 2 open PhD positions: one for a person with Scientific computing experience & another for an experimentalist. 🚨Apply by June 30th if you are interested or retweet! Info: t.ly/t2xOb

Want to join us? Discover plasma space propulsion &amp; contribute to the field!🚀We have 2 open PhD positions: one for a person with Scientific computing experience &amp; another for an experimentalist.
🚨Apply by June 30th if you are interested or retweet! Info: t.ly/t2xOb
Equipo de Propulsión Espacial y Plasmas (@ep2lab) 's Twitter Profile Photo

❗New pre-print alert❗ We revisit the classical ECDI and analyse its non-linear evolution using an in-house 2D PIC model, comparing periodic and injection/absorbing axial conditions. 🖋️E. Bello, A. Marín, E. Ahedo 📍Funded by Agencia Estatal de Investigación & European Research Council (ERC) 👀arxiv.org/abs/2405.08761

❗New pre-print alert❗ We revisit the classical ECDI and analyse its non-linear evolution using an in-house 2D PIC model, comparing periodic and injection/absorbing axial conditions.

🖋️E. Bello, A. Marín, E. Ahedo
📍Funded by <a href="/AgEInves/">Agencia Estatal de Investigación</a> &amp; <a href="/ERC_Research/">European Research Council (ERC)</a> 
👀arxiv.org/abs/2405.08761
Equipo de Propulsión Espacial y Plasmas (@ep2lab) 's Twitter Profile Photo

Our first-year PhD students participated at the UC3M - PhD Program in Aerospace Engineering #DoctoralMeetings2024 poster session🚀 Stay tuned for the presentations of the rest of our PhDs on May 24th & 30th! You can come in person at the UC3M Leganés campus or tune in by livestreaming t.ly/YntZd

Our first-year PhD students participated at the
<a href="/PhDAeroUC3M/">UC3M - PhD Program in Aerospace Engineering</a> #DoctoralMeetings2024 poster session🚀

Stay tuned for the presentations of the rest of our PhDs on May 24th &amp; 30th! You can come in person at the <a href="/uc3m/">UC3M</a> Leganés campus or tune in by livestreaming t.ly/YntZd
Mario Merino (@mmerinomartinez) 's Twitter Profile Photo

#CallForPapers!! the JEP special issue on "Alternative electric propulsion configurations" is up and ready to received your works. Justin Little (UW) and myself are guest editors. Learn more about the collection and how to contribute: bit.ly/4enhYad Springer

#CallForPapers!! the JEP special issue on
"Alternative electric propulsion configurations" is up and ready to received your works.
Justin Little (UW) and myself are guest editors.
Learn more about the collection and how to contribute:
bit.ly/4enhYad <a href="/springer1842/">Springer</a>
Equipo de Propulsión Espacial y Plasmas (@ep2lab) 's Twitter Profile Photo

🚀The #Ariane6 launch on July 9th inaugurated a new era of autonomous EU space transportation. Mario Merino talked about its importance on Radio 5's Europa Abierta program. We are grateful to Radio Nacional for the permission to share the clip on our Linked page t.ly/7cArE

Equipo de Propulsión Espacial y Plasmas (@ep2lab) 's Twitter Profile Photo

🚨New paper exploring plasma properties of a low-power CHT far-plume, using electrostatic diagnostics. ✒T.Perrotin, A. Vinci, S.Mazzoufre, P.Fajardo, E.Ahedo, Jaume Navarro Funded by Agencia Estatal de Investigación, collaboration UC3M & CNRS 🌍 💡Published in JAP by AIP Publishing t.ly/7s1Gb

Equipo de Propulsión Espacial y Plasmas (@ep2lab) 's Twitter Profile Photo

New paper published!🎉We introduce a novel 1D non-neutral time-dependent model to study the anode plasma sheath in a HET & analyse the regimes that cause the normal sheath to collapse. ✒ D.Poli, P. Fajardo, E.Ahedo 👉t.ly/qCsNL 📌funded by Agencia Estatal de Investigación & ERDF

New paper published!🎉We introduce a novel 1D non-neutral time-dependent model to study the anode plasma sheath in a HET &amp; analyse the regimes that cause the normal sheath to collapse.

✒ D.Poli, P. Fajardo, E.Ahedo
👉t.ly/qCsNL
📌funded by <a href="/AgEInves/">Agencia Estatal de Investigación</a> &amp; ERDF
Machine Learning: Science and Technology (@mlstjournal) 's Twitter Profile Photo

Great new work by Borja Bayón-Buján and Mario Merino uc3m aeroespacial UC3M - PhD Program in Aerospace Engineering UC3M ERC project ZARATHUSTRA -'#Datadriven sparse #modeling of oscillations in #plasma space #propulsion' - iopscience.iop.org/article/10.108… #machinelearning #plasmas #compphys #aerospace #engineering #AI #dynamics

Great new work by Borja Bayón-Buján and <a href="/mmerinomartinez/">Mario Merino</a> <a href="/uc3m_aero/">uc3m aeroespacial</a> <a href="/PhDAeroUC3M/">UC3M - PhD Program in Aerospace Engineering</a> <a href="/uc3m/">UC3M</a> <a href="/ERC_Zarathustra/">ERC project ZARATHUSTRA</a> -'#Datadriven sparse #modeling of oscillations in #plasma space #propulsion' - iopscience.iop.org/article/10.108… #machinelearning #plasmas #compphys #aerospace #engineering #AI #dynamics
Equipo de Propulsión Espacial y Plasmas (@ep2lab) 's Twitter Profile Photo

‼️ Save the date‼️ Our team member Alberto Marín will defend his PhD thesis "Two-dimensional model of wall interaction in Hall effect thruster discharges" on the 26th of September. Good luck Alberto🍀 You are welcome to attend the defense on the Leganés UC3M campus.

Equipo de Propulsión Espacial y Plasmas (@ep2lab) 's Twitter Profile Photo

New collab w/ Miguel P. Encinar transferring our original PICASO CPU code to GPU. The result? 📈17.5 times faster ✅10.5 hours instead of 7.5 days 🔻CO₂ footprint decreased 10 times The simulation is part of an international benchmark of PIC codes, under the LANDMARK project.

Equipo de Propulsión Espacial y Plasmas (@ep2lab) 's Twitter Profile Photo

🤩A warm #welcome to our new member Iñaki Fernandez Tena! | Iñaki 〉 will work under the supervision of Jiewei Zhou towards his PhD on Hall Effect Thrusters and hybrid PIC-fluid simulations.

🤩A warm #welcome to our new member Iñaki Fernandez Tena! <a href="/InakiPhy515/">| Iñaki 〉</a> will work under the supervision of Jiewei Zhou towards his PhD on Hall Effect Thrusters and hybrid PIC-fluid simulations.