Kosmonaut (@denbrodabro) 's Twitter Profile
Kosmonaut

@denbrodabro

Dark Lord of Mordor. Enthusiast of Orc culture. Beyond good and evil. ⚔️🔥👁️

ID: 894290358770835457

calendar_today06-08-2017 20:13:31

2,2K Tweet

73 Takipçi

86 Takip Edilen

Material Design (@materialdesign) 's Twitter Profile Photo

💻 Codelab: Build an interactive Reply Email client app using best practices for adaptable designs, Material navigation, and optimal screen space usage. Learn more → goo.gle/3GBkOYr

Material Design (@materialdesign) 's Twitter Profile Photo

✨ Building Shrine in Compose. Chris Sinco, an Interaction Designer on the Android Developer tools team, shares how designers can more easily prototype in Android with Jetpack Compose. Watch now ➡️ goo.gle/3tbynYQ

✨ Building Shrine in Compose.

<a href="/csinco/">Chris Sinco</a>, an Interaction Designer on the Android Developer tools team, shares how designers can more easily prototype in Android with Jetpack Compose.

Watch now ➡️ goo.gle/3tbynYQ
Android Developers (@androiddev) 's Twitter Profile Photo

What do you want to know about form factors? 🤔 Tweet us your questions using #AskAndroid 👇 Then, tune in to #AndroidDevSummit at 4:20 PM GMT to watch us answer questions live. → goo.gle/ADS-Live-FormF…

What do you want to know about form factors? 🤔 

Tweet us your questions using #AskAndroid 👇

Then, tune in to #AndroidDevSummit at 4:20 PM GMT to watch us answer questions live. → goo.gle/ADS-Live-FormF…
Android Developers (@androiddev) 's Twitter Profile Photo

Pixel 7 is the first Android phone configured as 64-bit-only, and we expect 64-bit-only to become the default option for Android devices in the future 😎 Make sure your app will work on the next generation of devices → goo.gle/3XFltR3 #AndroidDevSummit

Pixel 7 is the first Android phone configured as 64-bit-only, and we expect 64-bit-only to become the default option for Android devices in the future 😎

Make sure your app will work on the next generation of devices →
goo.gle/3XFltR3

#AndroidDevSummit
Android Developers (@androiddev) 's Twitter Profile Photo

Adding a domain layer can help your app to scale by separating business logic from UI code. Read how we did this in the #NowInAndroid app, making the code more readable, scalable, and testable! ↓ goo.gle/3W2SXr6

Fermat's Library (@fermatslibrary) 's Twitter Profile Photo

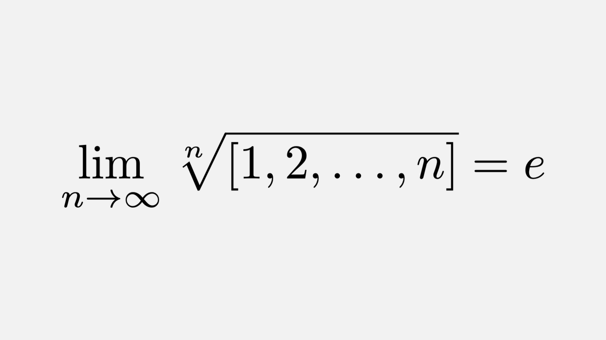
Bernhard Riemann died in 1866 at the age of 39. Here is a list of things named after him. Riemann bilinear relations Riemann conditions Riemann form Riemann function Riemann–Hurwitz formula Riemann matrix Riemann operator Riemann singularity theorem Riemann surface Compact

Bernhard Riemann died in 1866 at the age of 39. Here is a list of things named after him.

Riemann bilinear relations
Riemann conditions
Riemann form
Riemann function
Riemann–Hurwitz formula
Riemann matrix
Riemann operator
Riemann singularity theorem
Riemann surface
Compact
Android Developers (@androiddev) 's Twitter Profile Photo

Photo picker is now available for nearly all Android devices 🎉 With just few lines of code you can now provide a seamless privacy-preserving experience across Android versions → goo.gle/3n8K9Ui

Elon Musk (@elonmusk) 's Twitter Profile Photo

David Sacks That was a crazy and cruel thing for him to say. If those kids wanted to be at the front lines, they wouldn’t need to be conscripted.

Android Developers (@androiddev) 's Twitter Profile Photo

Order is important for chained modifiers in Compose! 🔗 Learn about modifier chaining, how it influences the sizes of our composables, and techniques for problem solving. → goo.gle/3Nyk6Py

Google for Developers (@googledevs) 's Twitter Profile Photo

🧐 #Computervision using MediaPipe helps you with common #ML tasks: 🔎 Object detection⁠ 👋 Gesture recognition⁠ 📷 Image classification⁠ … and more! Dive in to understand exactly what your code is doing in your Android apps → goo.gle/41PJ7vs

Android Developers (@androiddev) 's Twitter Profile Photo

You can also leverage the new project template for AI in Android Studio to get started with the Google AI SDK for Android. Check it out in the latest preview of Android Studio. Read more ↓ goo.gle/android-gemini…

Android Developers (@androiddev) 's Twitter Profile Photo

Want to improve your Android media editing skills? Watch our video on Jetpack Media3 Transformer and learn how to add filters, effects, and more! → goo.gle/3OO4lW1