Albert (@albert14031879) 's Twitter Profile
Albert

@albert14031879

Physiques, Astronomie, Mathématiques, Biologie, Philosophie, Psychologie, Histoire, Littérature et autres choses fascinantes.

ID: 1534273186422046725

calendar_today07-06-2022 20:37:00

62 Tweet

423 Followers

1,1K Following

Albert (@albert14031879) 's Twitter Profile Photo

La vue fascinante de l'intérieur du cratère Halema'uma'u, volcan Kilauea, Hawaï [time-lapse, en savoir plus : bit.ly/2u2k9JJ]

Albert (@albert14031879) 's Twitter Profile Photo

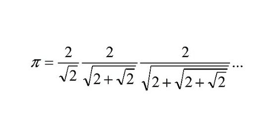
Cette surprenante égalité, connue sous le nom de formule de Viète, fut publiée par François Viète (1540-1603) en 1593 dans son ouvrage Variorum de rebus mathematicis responsorum. [En savoir plus : fr.m.wikipedia.org/wiki/Formule_d…]

Cette surprenante égalité, connue sous le nom de formule de Viète, fut publiée par François Viète (1540-1603) en 1593 dans son ouvrage Variorum de rebus mathematicis responsorum.
[En savoir plus : fr.m.wikipedia.org/wiki/Formule_d…]
Albert (@albert14031879) 's Twitter Profile Photo

Ce GIF permet de comprendre la fameuse force de Coriolis (qui n'en est d'ailleurs pas une). Ou pourquoi ce qui tends à aller tout droit semble tourner pour un observateur en rotation. fr.m.wikipedia.org/wiki/Force_de_…

Albert (@albert14031879) 's Twitter Profile Photo

Les hippopotames ne savent techniquement pas nager. La combinaison parfaite de flottabilité et de densité osseuse leur permet de "voler" dans l'eau à 8 km/h en se propulsant en utilisant un contact intermittent avec le sol. Comme les astronautes lors d'une marche sur la lune.

Albert (@albert14031879) 's Twitter Profile Photo

Les mainates huppés naissent nidicoles, ce qui signifie que les jeunes sont sous-développés au moment de la naissance, donc nourris par les parents. Quand ils grandissent, ils doivent apprendre que la nourriture ne leur saute pas simplement dans le bec ! [📽️ : Rebecca Gelernter]

Albert (@albert14031879) 's Twitter Profile Photo

Cette cascade est située à l'extérieur de la ville péruvienne du nord-ouest de Cajamarca et ressemble étonnement à une femme portant une robe de mariée : elle s'appelle La Cascada de la Novia [lire la suite : buff.ly/3xDcwex]

Albert (@albert14031879) 's Twitter Profile Photo

Voici Mei Mei, un petit éléphant d'Asie dans un sanctuaire en Chine,nous faisant une belle démonstration de sa coordination pied-trompe 🐘🥕[📽️ nwiqa9 de TikTok : buff.ly/3OkhhAz]

Albert (@albert14031879) 's Twitter Profile Photo

Lorsque l'hélice d'un hélicoptère est parfaitement synchronisée avec la fréquence d'images de la caméra, le résultat peut être stupéfiant ! 😮 [pourquoi cela arrive : buff.ly/34ZNsl5] [source du clip : buff.ly/3tad5Ki]

Albert (@albert14031879) 's Twitter Profile Photo

Nettoyage laser. Les liens moléculaires entre la couche de métal est la salissure/rouille sont brisés instantanément. Mauvaise idée pour le rasage.

Albert (@albert14031879) 's Twitter Profile Photo

"Calcul mental à l'école populaire de S. A. Rachinsky" par Nikolay Bogdanov-Belsky, 1895. Le problème au tableau est (10²+11²+12²+13²+14²)/365. Pouvez-vous le résoudre de tête ?

"Calcul mental à l'école populaire de S. A. Rachinsky" par Nikolay Bogdanov-Belsky, 1895.

 Le problème au tableau est (10²+11²+12²+13²+14²)/365. Pouvez-vous le résoudre de tête ?
Albert (@albert14031879) 's Twitter Profile Photo

"Le plus grand obstacle à la découverte n'est pas l'ignorance, c'est l'illusion de la connaissance" -- Daniel J. Boorstin [source : buff.ly/3QpRzwi]

Albert (@albert14031879) 's Twitter Profile Photo

Les chats ont des capacités d'évitement d'obstacles extraordinaires. D'autant plus remarquable si l'on considère la mémorisation nécessaires pour les pattes arrières.

Albert (@albert14031879) 's Twitter Profile Photo

Divisez 1 par 89, vous obtiendrez la fameuse suite de Fibonacci (c'est à dire que chaque terme est la somme des deux terme précédent). [voir la preuve -> bit.ly/2v6xl37]

Divisez 1 par 89, vous obtiendrez la fameuse suite de Fibonacci (c'est à dire que chaque terme est la somme des deux terme précédent).
 [voir la preuve -> bit.ly/2v6xl37]