Barnaby Bear (@cranksdo1) 's Twitter Profile
Barnaby Bear

@cranksdo1

ID: 1474044208600211465

calendar_today23-12-2021 15:49:17

44,44K Tweet

725 Followers

849 Following

Liberty (@libertyhq) 's Twitter Profile Photo

BREAKING Suella Braverman is set to sign off protest restrictions she has no power to create. Restrictions rejected by Parliament Undemocratic Unconstitutional Unacceptable LIBERTY'S LAWYERS HAVE STARTED LEGAL ACTION AGAINST THE HOME SECRETARY

BREAKING

Suella Braverman is set to sign off protest restrictions she has no power to create. Restrictions rejected by Parliament

Undemocratic
Unconstitutional
Unacceptable

LIBERTY'S LAWYERS HAVE STARTED LEGAL ACTION AGAINST THE HOME SECRETARY
Liberty (@libertyhq) 's Twitter Profile Photo

Politicians are trying to divide us We won't let them Either everyone has human rights or no one does Sign our pledge to protect UK membership of the European Convention on Human Rights action.libertyhumanrights.org.uk/page/133001/pe…

Ian Dunt (@iandunt) 's Twitter Profile Photo

Cash is being sunk down a bottomless black hole, simply so that Suella Braverman can show how much unnecessary suffering she can inflict on asylum seekers inews.co.uk/opinion/asylum…

Good Law Project (@goodlawproject) 's Twitter Profile Photo

Trudi Warner held up a placard reminding jurors of their right to reach an independent verdict. Yet holding this sign was enough to put Warner in front of a judge at the Old Bailey – a building with a plaque at the entrance declaring the same legal right. goodlaw.social/phy

The Secret Barrister 🦋 (@barristersecret) 's Twitter Profile Photo

Brendan Clarke-Smith For context, I am one of the thousands of public servants who spends every day sweating blood to keep alive a justice system which you have merrily desecrated; defunding and degrading at every turn, only ever speaking up to make false, ignorant attacks on lawyers and judges, and,

Christine Morgan #Socialist4Life✊😌 (@magmogz135) 's Twitter Profile Photo

Good Law Project This plaque?! Which is very large & placed right outside the door of the Old Bailey - Britain's most preeminent Court of Justice...🤦‍♀️ Who votes for these cruds?! 🙄 #ToryCriminalsUnfitToGovern

<a href="/GoodLawProject/">Good Law Project</a> This plaque?!
Which is very large &amp; placed right outside the door of the Old Bailey - Britain's most preeminent Court of Justice...🤦‍♀️
Who votes for these cruds?! 🙄 #ToryCriminalsUnfitToGovern
Adam Bienkov (@adambienkov) 's Twitter Profile Photo

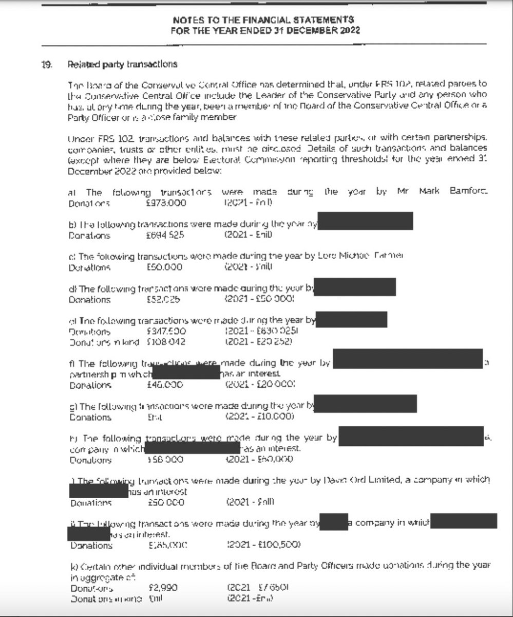
The Conservative Party's accounts for last year, just published by the Electoral Commission, contain loads of redactions for donations made by 'related parties'. Very unusual for so many of these to be hidden

The Conservative Party's accounts for last year, just published by the Electoral Commission, contain loads of redactions for donations made by 'related parties'. Very unusual for so many of these to be hidden
Liberty (@libertyhq) 's Twitter Profile Photo

Our human rights information line will be open this evening: 🕕 6-8pm 📞 0800 988 8177 3⃣ choose option 3 Phone lines are usually very busy straight away, so if you can't get through, please try again in the second hour. libertyhumanrights.org.uk/advice-and-inf…

Dr Dan Goyal (@danielgoyal) 's Twitter Profile Photo

When this govt are out of power we need to prosecute all the corrupt MPs. We also need to investigate all the regulators, police, media,.. that failed to do their job of protecting our democracy. Time to clean house!

Jim Pickard 🐋 (@pickardje) 's Twitter Profile Photo

remember when Boris Johnson’s distant cousin was offering to guarantee an £800,000 loan for him? and a few weeks later he popped up on an FCDO list of four suggested candidates to be chief executive of the British Council? and no one could explain how that happened?

Liberty (@libertyhq) 's Twitter Profile Photo

Despite what desperate politicians tell you 📢Your basic human rights are not controversial 📢The only people who benefit from taking rights away are those in power

nazir afzal (@nazirafzal) 's Twitter Profile Photo

Trump told court that he was 6ft 3 & 215 pounds Mohammed Ali was 6ft 3 and 215 pounds He just can’t stop lying #TrumpArraignment

Trump told court that he was 6ft 3 &amp; 215 pounds
Mohammed Ali was 6ft 3 and 215 pounds

He just can’t stop lying
#TrumpArraignment
38 Degrees (@38degrees) 's Twitter Profile Photo

📢 Mid Bedfordshire residents! Spot anything different about Bedford T&C yesterday? Yes, 826 members of the British public chipped in for ads demanding Nadine Dorries shapes up or ships out. Mid Bedfordshire deserves someone to represent them. Agree? ➡️ 38d.gs/Dorries_tw9

📢 Mid Bedfordshire residents! Spot anything different about <a href="/BedfordTC/">Bedford T&C</a> yesterday?

Yes, 826 members of the British public chipped in for ads demanding Nadine Dorries shapes up or ships out.

Mid Bedfordshire deserves someone to represent them. Agree? ➡️ 38d.gs/Dorries_tw9
Jack White 🔶 🇺🇦 #VoteLibDem #RejoinEU #SlavaUk (@writerjackwhite) 's Twitter Profile Photo

A crazed fanatic with a bunch of thugs is a terror threat to any state. A crazed fanatic with a bunch of thugs backed & enabled by billionaires is an existential threat. A crazed fanatic with a lunch of thugs, backed by billionaires who own social media platforms is where we are

Barnaby Bear (@cranksdo1) 's Twitter Profile Photo

Kensington & Chelsea residents not given £3,000 for weekend trip to avoid Notting Hill Carnival fullfact.org/news/notting-h… via Full Fact

Liberty (@libertyhq) 's Twitter Profile Photo

If you're protesting this weekend: KNOW YOUR RIGHTS KNOW THE RISKS KEEP EACH OTHER SAFE 📲SAVE these legal advice bustcards 📡SHARE with other protesters 🖊️WRITE phone numbers on your arm 🦺FIND Legal Observers for assistance 🤫"NO COMMENT" without lawyer

If you're protesting this weekend:

KNOW YOUR RIGHTS
KNOW THE RISKS
KEEP EACH OTHER SAFE

📲SAVE these legal advice bustcards

📡SHARE with other protesters

🖊️WRITE phone numbers on your arm

🦺FIND Legal Observers for assistance

🤫"NO COMMENT" without lawyer
Barnaby Bear (@cranksdo1) 's Twitter Profile Photo

The price cap might be going down but prices are still DOUBLE what they were before the crisis and households are drowning in MILLIONS of pounds of debt. We need a social energy tariff now! 38d.gs/2gsj