โ„‚๐•™๐•’๐•Ÿ๐•‚๐•ฆ๐•๐•’๐•ฅ๐•ฆ๐•Ÿ๐•˜๐•’ (@chankulatunga) 's Twitter Profile
โ„‚๐•™๐•’๐•Ÿ๐•‚๐•ฆ๐•๐•’๐•ฅ๐•ฆ๐•Ÿ๐•˜๐•’

@chankulatunga

Teaching, learning & assessment strategist. Cognitive science & research methods geek. Constant thinker. Currently working in adolescent mental health.

ID: 32745937

linkhttp://learning2pto.com/ calendar_today18-04-2009 02:45:27

7,7K Tweet

2,2K Takipรงi

670 Takip Edilen

Collin Rugg (@collinrugg) 's Twitter Profile Photo

NEW: Parents of a 16-year-old teen file lawsuit against OpenAI, say ChatGPT gave their now deceased son step by step instructions to take his own life. The parents of Adam Raine say they 100% believe their son would still be alive if it werenโ€™t for ChatGPT. They are accusing

โ„‚๐•™๐•’๐•Ÿ๐•‚๐•ฆ๐•๐•’๐•ฅ๐•ฆ๐•Ÿ๐•˜๐•’ (@chankulatunga) 's Twitter Profile Photo

Very helpful discussion regarding medical ethics in gender affirming in minors, particularly regarding decision-making - autonomy, non-maleficence and beneficence. bmcmedethics.biomedcentral.com/articles/10.11โ€ฆ

Awais Aftab (@awaisaftab) 's Twitter Profile Photo

On Aug 28, 2025, American Psychiatric Association issued a brief statement on X assuring the public of the efficacy and safety of psychiatric medications. What could a better statement have looked like? One that was trying to make some effort at repairing public trust? Hereโ€™s my attempt:

On Aug 28, 2025, <a href="/APApsychiatric/">American Psychiatric Association</a> issued a brief statement on X assuring the public of the efficacy and safety of psychiatric medications. What could a better statement have looked like? One that was trying to make some effort at repairing public trust?

Hereโ€™s my attempt:
โ„‚๐•™๐•’๐•Ÿ๐•‚๐•ฆ๐•๐•’๐•ฅ๐•ฆ๐•Ÿ๐•˜๐•’ (@chankulatunga) 's Twitter Profile Photo

Attitude networks as intergroup realities: Using networkโ€modelling to research attitudeโ€identity relationships in polarized political contexts - Lรผders - 2024 - British Journal of Social Psychology - Wiley Online Library bpspsychub.onlinelibrary.wiley.com/doi/10.1111/bjโ€ฆ

Brandon Luu, MD (@brandonluumd) 's Twitter Profile Photo

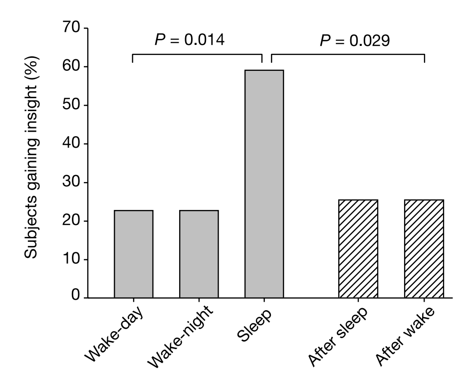
"Sleeping on it" is scientifically proven: People solving hidden-rule puzzles had 59% insight after sleep vs 23% staying awake the same duration. Sleep reorganizes information, revealing hidden patterns your waking brain missed.

"Sleeping on it" is scientifically proven:

People solving hidden-rule puzzles had 59% insight after sleep vs 23% staying awake the same duration.

Sleep reorganizes information, revealing hidden patterns your waking brain missed.
Nicholas Fabiano, MD (@ntfabiano) 's Twitter Profile Photo

In 1992 Peter Ratcliffe received this rejection letter from Nature. His findings were not "a sufficient advance in our understanding". 27 years later he won the Nobel Prize for the same discovery. Don't lose faith in the things you believe in.

In 1992 Peter Ratcliffe received this rejection letter from Nature.

His findings were not "a sufficient advance in our understanding".

27 years later he won the Nobel Prize for the same discovery. 

Don't lose faith in the things you believe in.
Julia Mason MS MD (@juliamasonmd1) 's Twitter Profile Photo

It's here! Free CME for pediatricians and more, with high quality information about pediatric gender medicine. segm.org/media/segm-lauโ€ฆ

Carole Hooven (@hoovlet) 's Twitter Profile Photo

The comments on yesterday's excellent NYT article on women who take high levels of T (link below) are fascinating and revealing. Here's part of one, reflecting a widespread misconception: "Hormones are pretty safe as far as drugs go: they aren't toxic, we have biological pathways

Richard Dawkins (@richarddawkins) 's Twitter Profile Photo

Nature used to be the worldโ€™s most prestigious science journal. Now itโ€™s one of many accused of favouring authors because of their identity group rather than the excellence and importance of their science. hxstem.substack.com/p/why-i-no-lonโ€ฆ

โ„‚๐•™๐•’๐•Ÿ๐•‚๐•ฆ๐•๐•’๐•ฅ๐•ฆ๐•Ÿ๐•˜๐•’ (@chankulatunga) 's Twitter Profile Photo

Excellent article outlining the suppression of evidence and debate and institutional capture in pediatric medicine. Hopefully the tides are turning. journalofcontroversialideas.org/article/5/2/298

Excellent article outlining the suppression of evidence and debate  and institutional capture in pediatric medicine.  Hopefully the tides are turning.
journalofcontroversialideas.org/article/5/2/298
Adam Grant (@adammgrant) 's Twitter Profile Photo

Bingeing TikTok reels may be hazardous to your well-being. 71 studies, >98k people: The more short-form videos teens and adults watched, the more they struggled with attention, self-control, and stress and anxiety. Read a book. Watch a movie. Long live longform.

Bingeing TikTok reels may be hazardous to your well-being.

71 studies, &gt;98k people: The more short-form videos teens and adults watched, the more they struggled with attention, self-control, and stress and anxiety. 

Read a book. Watch a movie. Long live longform.
โ„‚๐•™๐•’๐•Ÿ๐•‚๐•ฆ๐•๐•’๐•ฅ๐•ฆ๐•Ÿ๐•˜๐•’ (@chankulatunga) 's Twitter Profile Photo

Puberty triggers a complex cascade of events in the brain that are critical...particular to the development of executive function, social learning, memory, new learning, emotional regulation. So there is very good reason to be concerned about any treatment that might interrupt...

Ray - Build Back Trust in Public Health (@real_yuan24) 's Twitter Profile Photo

This is a textbook example of publication bias. cochrane.org/authors/handboโ€ฆ How could you trust the science if only one side of the evidence gets fast-tracked while the other is delayed or sidelined? When critical analyses face higher publication barriers than supportive ones, we

This is a textbook example of publication bias. 
cochrane.org/authors/handboโ€ฆ How could you trust the science if only one side of the evidence gets fast-tracked while the other is delayed or sidelined? When critical analyses face higher publication barriers than supportive ones, we